☀️Математика СОО (ДО, СпДО, ПНК, КП, ПДО, ДОУА, 2 часть) Практическое занятие 6 | НСПК ☀️
Описание
Решение примеров подробно прописывается в тетради, заверяется подписью обучающегося. Для проверки в СДО прикрепляется или скан решений, или фото решений (размещенные либо в архиве, либо в текстовом документе, в порядке следования заданий).
Задание 1
Решите уравнения:
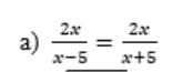
- 2x/x-5=2x/x+5
- √ x+3=2
Решите неравенства методом интервалов:
- 2-x-3x2<0
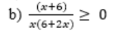
- (x+6)/x(6+2x)≥ 0
Найдите значение выражений:
- (-2)8*53/54*210*10
- log216+log1/24-log√ 1515
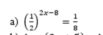
Решите уравнения:
- (1/2)2x-8=1/8

- log2(3x+5)-log2(2-x)=1
Решите неравенства
- 3x≥ 7x
- 6log22x+log2x-1≤ 0
Решите тригонометрическое уравнение и неравенство:
- cos2x+2sinx=2
- cos(x-π/4)<0
Вычислите производные функций:
- y=4/x5-sinx/x+7x3
- y=log3(sinx+5)+33√ x2
Вычислить неопределенные интегралы:
- ∫(sinx+24√ x3+lnx-3)dx
- ∫8x(2+5*2-3x)dx
Вычислить площадь фигуры, ограниченной графиками функций f(x) и g(x):
f(x)=x+3, g(x)=x2+1
Задание 10
Решите задачу:
Основанием прямой треугольной призмы служит прямоугольный треугольник с катетами 6 и 8, боковое ребро равно половине гипотенузы основания. Найдите объем призмы.
Задание 11
При измерении получены данные (показатели некоторого параметра): 1,1,2,2,3,4,2,5,2,5.
Выполните задания с учетом исходных данных:
- Составить вариационный ряд.
- Получить статистическое распределение выборки.
- Составить распределение относительных частот выборки.
- Построить полигон относительных частот.
- Вычислить выборочную среднюю.
- Построить выборочную функцию распределения
Цель занятия: закрепление навыков решения квадратных, дробно-рациональных и иррациональных уравнений и неравенств; закрепление навыков нахождения значений показательных и логарифмических выражений; закрепление навыков решения тригонометрических уравнений и неравенств; закрепление навыков решения задач дифференциального исчисления; закрепление навыков решения задач интегрального исчисления; закрепление навыков нахождения площади поверхности и объема многогранника; овладение навыками решения простейших задач математической статистики. Решение примеров подробно прописывается в тетради, заверяется подписью обучающегося. Для проверки в СДО прикрепляется или скан решений, или фото решений (размещенные либо в архиве, либо в текстовом документе, в порядке следования заданий).
Задание 1 Решите уравнения: 2x/x-5=2x/x+5 √ x+3=2 Задание 2 Решите неравенства методом интервалов: 2-x-3x2<0 (x+6)/x(6+2x)≥ 0 Задание 3 Найдите значение выражений: (-2)8*53/54*210*10 log216+log1/24-log√ 1515 Задание 4 Решите уравнения: (1/2)2x-8=1/8 log2(3x+5)-log2(2-x)=1 Задание 5 Решите неравенства 3x≥ 7x 6log22x+log2x-1≤ 0 Задание 6 Решите тригонометрическое уравнение и неравенство: cos2x+2sinx=2 cos(x-π/4)<0 Задание 7 Вычислите производные функций: y=4/x5-sinx/x+7x3 y=log3(sinx+5)+33√ x2 Задание 8 Вычислить неопределенные интегралы: ∫(sinx+24√ x3+lnx-3)dx ∫8x(2+5*2-3x)dx Задание 9 Вычислить площадь фигуры, ограниченной графиками функций f(x) и g(x): f(x)=x+3, g(x)=x2+1 Задание 10 Решите задачу: Основанием прямой треугольной призмы служит прямоугольный треугольник с катетами 6 и 8, боковое ребро равно половине гипотенузы основания.
Найдите объем призмы. Задание 11 При измерении получены данные (показатели некоторого параметра): 1,1,2,2,3,4,2,5,2,5. Выполните задания с учетом исходных данных: Составить вариационный ряд. Получить статистическое распределение выборки. Составить распределение относительных частот выборки. Построить полигон относительных частот. Вычислить выборочную среднюю. Построить выборочную функцию распределения.
Характеристики домашнего задания
Список файлов
