Для студентов ТПУ по предмету МатематикаМатематика 4.1Математика 4.1
5,0054114
2026-02-10СтудИзба

Ответы к заданиям: Математика 4.1

Новинка

Описание

Ответы на курс Математика 4.1 / ДОФ (бак. 13.03.01, 13.03.02)

Список вопросов

По выборке, имеющей объём 23, получено значение выборочной дисперсии, равное 5.3. Найдите несмещённую оценку дисперсии.
По группированной выборке
Найдите несмещённую оценку математического ожидания
Средняя заработная плата на предприятии равна 171 у.е. У сотрудника Иванова И.И. заработная плата 175 у.е. Укажите верное утверждение
Выберите один ответ:
Закон распределения двумерной дискретной случайной величины (ξ, η) задан таблицей
Дисперсия случайной величины равна 5. Оцените сверху вероятность того, что случайная величина отклонится от своего математического ожидания не меньше, чем на 5.
Ведётся стрельба из орудия вдоль прямой. Предполагается, что дальность полёта распределена нормально с математическим ожиданием 1000 м и средним квадратическим отклонением 4 м. Определите (в процентах), сколько снарядов упадёт с перелётом от 5 м до 75 м.
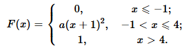
Случайная величина задана интегральной функцией распределения
Найдите:
(в качестве десятичного разделителя используйте точку)
математическое ожидание
дисперсию
Определить наивероятнейшее число пораженных самолетов в группе из 13 бомбардировщиков, если самолеты поражаются независимо друг от друга и вероятность поражения одного самолета равна 4/7.
Если ответов окажется 2 - введите их в виде последовательности двух чисел, разделенных точкой с запятой. Например n;m
Прибор состоит из двух элементов. Работа каждого элемента необходима для работы прибора в целом. Надёжность (вероятность безотказной работы в течение суток) первого узла равна 0.7; второго 0.45. Прибор испытывался в течение суток, в результате чего обнаружено, что он вышел из строя (отказал). Найдите вероятность того, что отказал только второй элемент, а первый исправен.
На отрезке [0; 1] наудачу ставятся две точки. Пусть x и y – координаты этих точек.
Установите соответствие между событиями и их вероятностями.
Найдите вероятность одновременного появления событий A и B, если P(A) = 0.78, P(B) = 0.72, P(B|A) = 0.52.
Если появление одного события не изменяет вероятности события другого, то эти события называются
Выберите один или несколько ответов:
Используя критерий Пирсона, примите статистическое решение, если наблюдаемое значение критерия равно 8,2 и критическая точка равна 12,6.
Выбор критической области зависит от
Выберите один ответ:
Используя критерий Пирсона, примите статистическое решение, если наблюдаемое значение критерия равно 6,7 и критическая точка равна 11,1.
Используя критерий Пирсона, примите статистическое решение, если наблюдаемое значение критерия равно 6,7 и критическая точка равна 11,1.
По выборке, имеющей объём 38, получено значение выборочной дисперсии, равное 1.3. Найдите несмещённую оценку дисперсии.
По группированной выборке
Найдите несмещённую оценку математического ожидания
Оценка θ* называется эффективной оценкой параметра θ, если
Выберите один ответ:
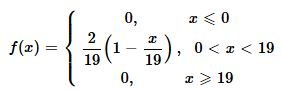
Запишите вариационный ряд для группированной выборки
Дан полигон частот.
Определите объём выборки
Вариационный ряд выборки это
Выберите один ответ:
Совместное распределение случайных величин ξ и η задано плотностью распределения вероятностей
Найдите C.
Случайные величины ξ и η связаны соотношением η = 3 – 2ξ. Найдите M[η], D[η], cov(ξ, η), rξη, если известно M[ξ] = 17, D[ξ] = 3.
Все возможные значения нормальной случайной величины с вероятностью 0,9973 принадлежат интервалу (–7; 5).
Найдите параметры этой случайной величины
Случайная величина ξ имеет нормальное распределение с математическим ожиданием M[ξ] = 5 и дисперсией D[ξ] = 2. Φ(x)=12π√∫0xe−t2dt- функция Лапласа. Вероятность того, что ξ примет значение из интервала [–1; 3] равна
Выберите один ответ:
Случайная величина ξ подчинена нормальному закону. Зная её математическое ожидание M[ξ] = -16 и дисперсию D[ξ] = 4.41, найдите максимум функции плотности распределения ξ.
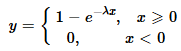
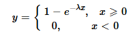
Непрерывная случайная величина ξ задана функцией
Найдите λ, если математическое ожидание этой случайной величины известно M[ξ] = 33.
Математическое ожидание случайной величины является
Выберите один ответ:
Дана плотность распределения некоторой случайной величины
Найдите медиану этой случайной величины.
Дана плотность распределения некоторой случайной величины
Найдите числовые характеристики этой случайной величины.
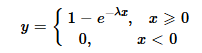
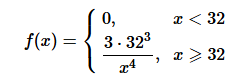
Непрерывная случайная величина ξ задана функцией
Найдите λ, если математическое ожидание этой случайной величины известно M[ξ] = 99.
Дисперсия случайной величины является
Выберите один ответ:
Непрерывная случайная величина ξ задана функцией
Найдите λ, если математическое ожидание этой случайной величины известно M[ξ] = 52.
Укажите характеристики положения случайной величины
Выберите один или несколько ответов:
Дана плотность распределения некоторой случайной величины
Найдите значение константы С
Непрерывная случайная величина задана функцией распределения
Найдите значение a.
Выберите один ответ:
Дана функция распределения дискретной случайной величины:
Вероятность того, что случайная величина примет значение 3, равна
Выберите один ответ:
Вероятность появления события в каждом опыте одинакова и равна 0,2. Тогда вероятность того, что событие произойдёт ровно два раза в серии из трёх опытов, равна
Вероятность появления события в каждом опыте одинакова и равна 0,2. Тогда вероятность того, что событие произойдёт ровно один раз в серии из трёх опытов, равна
Среди семян пшеницы имеется 0,2% семян сорняков. Какова вероятность при случайном отборе 1000 семян обнаружить 5 семян сорняков?
Ответ запишите с точностью до 4-х знаков после запятой.
Вероятность появления события в каждом опыте одинакова и равна 0,3. Тогда вероятность того, что событие произойдёт ровно два раза в серии из трёх опытов, равна
Прибор состоит из двух элементов. Работа каждого элемента необходима для работы прибора в целом. Надёжность (вероятность безотказной работы в течение суток) первого узла равна 0.7; второго – 0.5. Прибор испытывался в течение суток, в результате чего обнаружено, что он вышел из строя (отказал). Найдите вероятность того, что отказал только первый элемент, а второй исправен.
В группе спортсменов 6 лыжников и 4 велосипедиста. Вероятность выполнить квалификационную норму для лыжника равна 0,9, а для велосипедиста 0,7. Найдите вероятность того, что случайно взятые два спортсмена выполнят норму.
Для одной торпеды вероятность потопить корабль равна 0.6.
Найдите вероятность того, что 3 торпед(ы) потопят корабль, если для потопления корабля достаточно одного попадания торпеды в цель?
Из цифр 2, 3, 4, 5, 6 сначала выбирается одна, а затем из оставшихся четырёх – другая. Предполагается, что все возможные исходы равновероятны. Найдите вероятность того, что будет выбрана чётная цифра:
а) в первый раз
б) во второй раз
Из цифр 5, 4, 7, 6, 9 сначала выбирается одна, а затем из оставшихся четырёх – другая. Предполагается, что все возможные исходы равновероятны. Найдите вероятность того, что будет выбрана нечётная цифра:
а) в первый раз
б) во второй раз
Шестеро студентов из 50 не подписали контрольные работы и сдали на проверку преподавателю. Найдите вероятность того, что:
каждый из шести студентов получит свою работу, если преподаватель случайным образом раздаст их
каждый из шести студентов получит свою работу, если преподаватель запомнил почерк двоих из студентов
Фирма нуждается в организации 4 новых складов. Её сотрудники подобрали 10 подходящих помещений (среди 10 помещений 6 находятся в многоэтажных зданиях). Найдите вероятность того, что:
в число отобранных попадут два помещения, расположенные в многоэтажных зданиях
в число отобранных попадут не более двух помещений, расположенных в многоэтажных зданиях
Участок между 87-м и 187-м километрами трассы подвергся обстрелу авиации. Найдите вероятность того, что бомба была сброшена между 112-м и 132-м километрами?
Бросаются две игральные кости. Вероятность того, что сумма числа очков будет от 2 до 5, равна
Сколько различных вариантов хоккейной команды можно составить из 9 нападающих, 5 защитников и 3 вратарей, если в состав команды должны войти 3 нападающих, 2 защитника и 1 вратарь?
От гостиницы до музея можно добраться, воспользовавшись одним из 13 маршрутов городского транспорта.
Сколькими способами турист может добраться до музея и вернуться в гостиницу?
Сколькими способами турист может добраться до музея и вернуться в гостиницу, если пути туда и обратно различны?
На автоматической камере хранения установлен секретный замок, который открывается только при наборе секретного слова. Это слово набирают с помощью нескольких дисков, на которые нанесены 10 букв.
Сколько неудачных попыток может быть сделано человеком, не знающим секретное слово, если оно состоит из 4 букв? Ответ
В любом билете «Русского лото» — два игровых поля, в каждом — по 15 чисел в диапазоне от 1 до 90. Комбинации чисел в билетах уже сформированы.
Сколько билетов можно составить?
(Обозначения: Ckn – сочетания из n по k, C~kn – сочетания с повторениями из n по k, Akn – размещения из n по k, A~kn – размещения с повторениями из n по k)
На благотворительном фестивале выступят 8 известных музыкантов.
Сколькими способами организаторы фестиваля могут составить программу?
Сколькими способами можно составить программу, если один из 8-ти музыкантов – хэдлайнер фестиваля и выступает последним?

Характеристики ответов (шпаргалок) к заданиям

Тип
Предмет
Учебное заведение
Просмотров
1
Качество
Идеальное компьютерное
Количество вопросов
Картинка-подпись
Если нужен другой вариант работы или отдельная задача из любой работы, пишите в комментарии

Комментарии

Нет комментариев
Стань первым, кто что-нибудь напишет!
Поделитесь ссылкой:
Цена: 240 руб.
Расширенная гарантия +3 недели гарантии, +10% цены
Рейтинг автора
5 из 5
Поделитесь ссылкой:
Сопутствующие материалы

Подобрали для Вас услуги

-17%
Вы можете использовать полученные ответы для подготовки к экзамену в учебном заведении и других целях, не нарушающих законодательство РФ и устав Вашего учебного заведения.
Свежие статьи
Популярно сейчас
Зачем заказывать выполнение своего задания, если оно уже было выполнено много много раз? Его можно просто купить или даже скачать бесплатно на СтудИзбе. Найдите нужный учебный материал у нас!
Ответы на популярные вопросы
Да! Наши авторы собирают и выкладывают те работы, которые сдаются в Вашем учебном заведении ежегодно и уже проверены преподавателями.
Да! У нас любой человек может выложить любую учебную работу и зарабатывать на её продажах! Но каждый учебный материал публикуется только после тщательной проверки администрацией.
Вернём деньги! А если быть более точными, то автору даётся немного времени на исправление, а если не исправит или выйдет время, то вернём деньги в полном объёме!
Да! На равне с готовыми студенческими работами у нас продаются услуги. Цены на услуги видны сразу, то есть Вам нужно только указать параметры и сразу можно оплачивать.
Отзывы студентов
Ставлю 10/10
Все нравится, очень удобный сайт, помогает в учебе. Кроме этого, можно заработать самому, выставляя готовые учебные материалы на продажу здесь. Рейтинги и отзывы на преподавателей очень помогают сориентироваться в начале нового семестра. Спасибо за такую функцию. Ставлю максимальную оценку.
Лучшая платформа для успешной сдачи сессии
Познакомился со СтудИзбой благодаря своему другу, очень нравится интерфейс, количество доступных файлов, цена, в общем, все прекрасно. Даже сам продаю какие-то свои работы.
Студизба ван лав ❤
Очень офигенный сайт для студентов. Много полезных учебных материалов. Пользуюсь студизбой с октября 2021 года. Серьёзных нареканий нет. Хотелось бы, что бы ввели подписочную модель и сделали материалы дешевле 300 рублей в рамках подписки бесплатными.
Отличный сайт
Лично меня всё устраивает - и покупка, и продажа; и цены, и возможность предпросмотра куска файла, и обилие бесплатных файлов (в подборках по авторам, читай, ВУЗам и факультетам). Есть определённые баги, но всё решаемо, да и администраторы реагируют в течение суток.
Маленький отзыв о большом помощнике!
Студизба спасает в те моменты, когда сроки горят, а работ накопилось достаточно. Довольно удобный сайт с простой навигацией и огромным количеством материалов.
Студ. Изба как крупнейший сборник работ для студентов
Тут дофига бывает всего полезного. Печально, что бывают предметы по которым даже одного бесплатного решения нет, но это скорее вопрос к студентам. В остальном всё здорово.
Спасательный островок
Если уже не успеваешь разобраться или застрял на каком-то задание поможет тебе быстро и недорого решить твою проблему.
Всё и так отлично
Всё очень удобно. Особенно круто, что есть система бонусов и можно выводить остатки денег. Очень много качественных бесплатных файлов.
Отзыв о системе "Студизба"
Отличная платформа для распространения работ, востребованных студентами. Хорошо налаженная и качественная работа сайта, огромная база заданий и аудитория.
Отличный помощник
Отличный сайт с кучей полезных файлов, позволяющий найти много методичек / учебников / отзывов о вузах и преподователях.
Отлично помогает студентам в любой момент для решения трудных и незамедлительных задач
Хотелось бы больше конкретной информации о преподавателях. А так в принципе хороший сайт, всегда им пользуюсь и ни разу не было желания прекратить. Хороший сайт для помощи студентам, удобный и приятный интерфейс. Из недостатков можно выделить только отсутствия небольшого количества файлов.
Спасибо за шикарный сайт
Великолепный сайт на котором студент за не большие деньги может найти помощь с дз, проектами курсовыми, лабораторными, а также узнать отзывы на преподавателей и бесплатно скачать пособия.
Популярные преподаватели
Добавляйте материалы
и зарабатывайте!
Продажи идут автоматически
7031
Авторов
на СтудИзбе
260
Средний доход
с одного платного файла
Обучение Подробнее