Для студентов ТПУ по предмету МатематикаМатематикаМатематика
5,0054166
2026-02-19СтудИзба

Ответы к заданиям: Математика

Новинка

Описание

Ответы на тесты 1-13 Математика 3.6 / ДОФ (11.03.04, 13.03.02)

Список вопросов

Найдите решение задачи Коши x′′+4x′=3t, x(0)=6; x′(0)=7 операторным методом, в предположении, что x(t)≓X(p)
Перейдите к операторному уравнению и выразите
Разложите дробь на сумму простейших дробей
Восстановите оригинал

Найдите операторное уравнение задачи Коши
x′′+6x′=e12t,x(0)=7; x′(0)=2.
Изображения для левой части уравнения
Изображение для правой части уравнения
Запишите операторное уравнение, соответствующее задаче Коши
Найти изображение функции
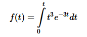
f(t)=∫0tt3e−3tdt
Найти изображение функции
f(t)=2sin2(4t)
Найти изображение функции
f(t)=6sin2(4t)
Укажите показатель роста функции
f(t)=2e9tsin18t
Найти изображение функции
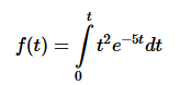
f(t)=∫0tt2e−5tdt
Найти изображение функции
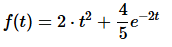
f(t)=2⋅t2+45e−2t
Укажите показатель роста функции
f(t)=4e20tsin5t
Укажите все слагаемые частного решения, построенного по специальной правой части для уравнения y''+2y'+y=1+ex
Укажите решение задачи Коши уравнения
4y′′y√=1,y(0)=1,y′(0)=−1
Общее решение уравнения y''+y=0 равно
Выберите подходящую подстановку для понижения порядка дифференциального уравнения
x3y′′−x4=1
Общее решение уравнения y''3y'+2y = xe2x имеет вид
Укажите решение задачи Коши уравнения
y′′=y′lny′,y(0)=0,y′(0)=1
Общее решение уравнения y''-2y'+y=0 равно
Выберите подходящую подстановку для понижения порядка дифференциального уравнения
y3y′′−y4=1.
Укажите общее решение уравнения
dydx−2xy=2x−4x3
Укажите значение константы C, при которой интегральная кривая уравнения
y′cosx−ysinx=2x
пройдет через точку с координатами (0; 0)
Укажите общий интеграл уравнения
4−x2−−−−−√y′+xy2+x=0
Укажите однородное уравнение
Выберите один ответ:
Вычислите интеграл, используя вычеты ∮|z+3|=1(z+6)dzz⋅arctg(z+3)=π⋅(
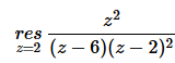
Найдите resz=1z2(z−7)(z−1)2=
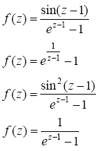
Указать, для каких функций точка z0 = 1 является устранимой:
Выберите один или несколько ответов:
Используя стандартные разложения, запишите ряд Тейлора в окрестности точки z = i функции f(z)=ez22iz.
Разложите функцию f(z)=5(z+1)(z−4) по степеням (z-1) в области III: |z-1|>3
Используя стандартные разложения, запишите ряд Тейлора в окрестности точки z = 2 функции
Вычислите интеграл, используя вычеты ∮|z+3|=1(z+7)dzz⋅arctg(z+3)=π⋅(
Найдите resz=∞z11⋅sin2z4
Разложите функцию f(z)=5(z+1)(z−4) по степеням (z-1) в области II: 2<|z-1|<3

Найдите область сходимости ряда
Используя стандартные разложения, запишите ряд Тейлора в окрестности точки z = 2 функции
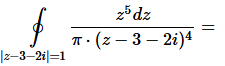
Вычислите интеграл, используя формулу Коши
Вычислите интеграл, используя формулу Коши
Вычислить интеграл, используя формулу Коши
Не вычисляя интегралы, выберите те, которые в соответствие с интегральной теоремой Коши, равны нулю
Вычислить интеграл ∫(L)Jmzdz по прямой линии (L), соединяющей точки z1=i и z2=1.
Ответ получить в виде комплексного числа x+iy
Дробные значения вводить в виде несократимой дроби 4/9,−7/2
Для функции f(z) = U(x;y) + iV(x;y) известна мнимая часть V(x;y) = ex siny + 6xy. Тогда действительная часть U(x;y) равна
Для функции f(z) = U(x;y) + iV(x;y) выберите пару функций U(x;y) и V(x;y), удовлетворяющих условиям Коши-Римана
Вычислите значение логарифмической функции w=ln(−5), представив результат в алгебраической форме. В качестве ответа введите вещественную и мнимую часть:
Вычислите значение экспоненциальной функции w=e5+i⋅(−π6), представив результат в алгебраической форме. В качестве ответа введите вещественную и мнимую часть:
Выделить вещественную и мнимую части функции
w = 3z* – 4z
На комплексной плоскости множество точек задано формулой
∣∣∣z+2z−3i∣∣∣=1.
Найдите и запишите уравнение линии, соответствующее заданному множеству
Запишите условия, определяющие множество точек отрезка прямой на комплексной плоскости (красная линия).
Установите соответствие геометрических образов и их математических выражений :
На комплексной плоскости множество точек задано формулой
Re(7z+2)=Im(z−5i).
Найдите и запишите уравнение линии, соответствующее заданному множеству
На комплексной плоскости множество точек задано формулой
∣∣∣z+4z−3i∣∣∣=1.
Найдите и запишите уравнение линии, соответствующее заданному множеству
Установите соответствие геометрических образов и их математических выражений :
На комплексной плоскости множество точек задано формулой
Re(−7z+2)=Im(z−3i).
Найдите и запишите уравнение линии, соответствующее заданному множеству
На комплексной плоскости множество точек задано формулой
∣∣∣z+6z−3i∣∣∣=1.
Найдите и запишите уравнение линии, соответствующее заданному множеству
Запишите условия, определяющие множество точек отрезка прямой на комплексной плоскости (красная линия).
Установите соответствие между аналитической и геометрической формой линии
Установите соответствие геометрических образов и их математических выражений :
Найдите корни 3-ей и 4-ой степени из комплексных чисел, значения корня введите в виде множества.
Даны комплексные числа z1 = 4-5i и z2 = -2+2i
Найти z1*z2
Даны комплексные числа z1 = 6+1i и z2 = 1+2i
Найти z1/z2=
Разложить в ряд Фурье на отрезке [−π;π] функцию

Укажите значение суммы этого ряда в точке x0=π
Разложить в ряд Фурье на отрезке [−π;π] функцию f(x)=π2−7⋅x2
Разложить в ряд Фурье на отрезке [−π;π] функцию f(x)=sinx6.
Дан ряд ∑k=1∞6k(x−6)kk8
Укажите интервал сходимости этого ряда (x1;x2)
Используйте обыкновенные дроби, а не десятичные!
Исследуйте сходимость на концах интервала:
- в точке x1 ряд
- в точке x2ряд
Для функционального ряда ∑n=0∞1+(−1)n−12n+1x2n+3 среди точек
x1=6,x2=16,x3=1,x4=−1
выберите те, в которых ряд сходится. Если точек несколько, запишите их через запятую.
Разложите функцию f(x)=1x−9 в ряд Тейлора по степеням (x−3). Укажите интервал сходимости этого ряда.
Интервал сходимости:|x−3|<
Введите коэффициент разложения.
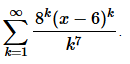
Дан ряд ∑k=1∞8k(x−6)kk7
Укажите интервал сходимости этого ряда (x1;x2)
Используйте обыкновенные дроби, а не десятичные!
Исследуйте сходимость на концах интервала:
- в точке x1ряд
- в точке x2ряд
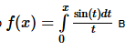
Разложить неэлементарную функцию f(x)=∫0xsin(t)dtt в ряд Маклорена.
(Так как функция - нечетная, то разложение будет содержать только нечетные степени x).
Разложите функцию f(x)=1x−13 в ряд Тейлора по степеням (x−4). Укажите интервал сходимости этого ряда.
Интервал сходимости:|x−4|<

Введите коэффициент разложения.
Дан ряд ∑k=1∞5k(x−2)kk7
Укажите интервал сходимости этого ряда (x1;x2)
Используйте обыкновенные дроби, а не десятичные!
Исследуйте сходимость на концах интервала:
- в точке x1 ряд
- в точке x2 ряд
В точке x = 0 ряд
Дан обобщенный гармонический ряд ∑n=1∞1np. Составьте верные утверждения.
Дан ряд геометрической прогрессии ∑n=1∞qn. Составьте верные утверждения.
Для знакоположительного числового ряда ∑n=1∞an имеет место равенство limn→∞an+1an=p . Составьте верные утверждения.

Для знакоположительного числового ряда ∑n=1∞an имеет место равенство limn→∞an−−√n=p . Составьте верные утверждения.
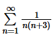
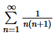
Дан ряд ∑n=1∞1n(n+3)

Запишите его 80-ю частичную сумму
Найдите сумму ряда
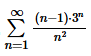
Дан ряд ∑n=1∞(n−1)⋅3nn2
Запишите его 2-й член
и вычислите 2-ю частичную сумму
Для знакоположительного числового ряда ∑n=1∞an имеет место равенство limn→∞an+1an=p . Составьте верные утверждения.
Для знакоположительного числового ряда ∑n=1∞an имеет место равенство limn→∞an−−√n=p
. Составьте верные утверждения.
Для ряда ∑n=1∞arctan(1π⋅n5)n2 укажите эквивалентный ряд (введите общий член эквивалентного ряда).
Сделайте вывод о сходимости или расходимости исходного ряда.
Ряд сходится
Для знакоположительного ряда ∑n=1∞an имеет место равенство limn→∞an=l . Составьте верные утверждения:
Исследуйте сходимость числового ряда ∑n=1∞1lnn с помощью признака сравнения. Выберите подходящее неравенство для оценки общего члена
Дан ряд ∑n=1∞1n(n+1)

Запишите его 100-ю частичную сумму
Найдите сумму ряда
Дан ряд ∑n=1∞(3⋅n+1)⋅2nn3
Запишите его 4-й член
и вычислите 4-ю частичную сумму

Характеристики ответов (шпаргалок) к заданиям

Тип
Предмет
Учебное заведение
Семестр
Просмотров
1
Качество
Идеальное компьютерное
Количество вопросов
Картинка-подпись
Если нужен другой вариант работы или отдельная задача из любой работы, пишите в комментарии

Комментарии

Нет комментариев
Стань первым, кто что-нибудь напишет!
Поделитесь ссылкой:
Цена: 240 руб.
Расширенная гарантия +3 недели гарантии, +10% цены
Рейтинг автора
5 из 5
Поделитесь ссылкой:
Сопутствующие материалы

Подобрали для Вас услуги

-17%
Вы можете использовать полученные ответы для подготовки к экзамену в учебном заведении и других целях, не нарушающих законодательство РФ и устав Вашего учебного заведения.
Свежие статьи
Популярно сейчас
Как Вы думаете, сколько людей до Вас делали точно такое же задание? 99% студентов выполняют точно такие же задания, как и их предшественники год назад. Найдите нужный учебный материал на СтудИзбе!
Ответы на популярные вопросы
Да! Наши авторы собирают и выкладывают те работы, которые сдаются в Вашем учебном заведении ежегодно и уже проверены преподавателями.
Да! У нас любой человек может выложить любую учебную работу и зарабатывать на её продажах! Но каждый учебный материал публикуется только после тщательной проверки администрацией.
Вернём деньги! А если быть более точными, то автору даётся немного времени на исправление, а если не исправит или выйдет время, то вернём деньги в полном объёме!
Да! На равне с готовыми студенческими работами у нас продаются услуги. Цены на услуги видны сразу, то есть Вам нужно только указать параметры и сразу можно оплачивать.
Отзывы студентов
Ставлю 10/10
Все нравится, очень удобный сайт, помогает в учебе. Кроме этого, можно заработать самому, выставляя готовые учебные материалы на продажу здесь. Рейтинги и отзывы на преподавателей очень помогают сориентироваться в начале нового семестра. Спасибо за такую функцию. Ставлю максимальную оценку.
Лучшая платформа для успешной сдачи сессии
Познакомился со СтудИзбой благодаря своему другу, очень нравится интерфейс, количество доступных файлов, цена, в общем, все прекрасно. Даже сам продаю какие-то свои работы.
Студизба ван лав ❤
Очень офигенный сайт для студентов. Много полезных учебных материалов. Пользуюсь студизбой с октября 2021 года. Серьёзных нареканий нет. Хотелось бы, что бы ввели подписочную модель и сделали материалы дешевле 300 рублей в рамках подписки бесплатными.
Отличный сайт
Лично меня всё устраивает - и покупка, и продажа; и цены, и возможность предпросмотра куска файла, и обилие бесплатных файлов (в подборках по авторам, читай, ВУЗам и факультетам). Есть определённые баги, но всё решаемо, да и администраторы реагируют в течение суток.
Маленький отзыв о большом помощнике!
Студизба спасает в те моменты, когда сроки горят, а работ накопилось достаточно. Довольно удобный сайт с простой навигацией и огромным количеством материалов.
Студ. Изба как крупнейший сборник работ для студентов
Тут дофига бывает всего полезного. Печально, что бывают предметы по которым даже одного бесплатного решения нет, но это скорее вопрос к студентам. В остальном всё здорово.
Спасательный островок
Если уже не успеваешь разобраться или застрял на каком-то задание поможет тебе быстро и недорого решить твою проблему.
Всё и так отлично
Всё очень удобно. Особенно круто, что есть система бонусов и можно выводить остатки денег. Очень много качественных бесплатных файлов.
Отзыв о системе "Студизба"
Отличная платформа для распространения работ, востребованных студентами. Хорошо налаженная и качественная работа сайта, огромная база заданий и аудитория.
Отличный помощник
Отличный сайт с кучей полезных файлов, позволяющий найти много методичек / учебников / отзывов о вузах и преподователях.
Отлично помогает студентам в любой момент для решения трудных и незамедлительных задач
Хотелось бы больше конкретной информации о преподавателях. А так в принципе хороший сайт, всегда им пользуюсь и ни разу не было желания прекратить. Хороший сайт для помощи студентам, удобный и приятный интерфейс. Из недостатков можно выделить только отсутствия небольшого количества файлов.
Спасибо за шикарный сайт
Великолепный сайт на котором студент за не большие деньги может найти помощь с дз, проектами курсовыми, лабораторными, а также узнать отзывы на преподавателей и бесплатно скачать пособия.
Популярные преподаватели
Добавляйте материалы
и зарабатывайте!
Продажи идут автоматически
7049
Авторов
на СтудИзбе
259
Средний доход
с одного платного файла
Обучение Подробнее