Для студентов ТПУ по предмету МатематикаМатематикаМатематика
5,0054166
2026-02-19СтудИзба

Ответы к заданиям: Математика

Новинка

Описание

Ответы на тесты 1-16 по курсу Математика 1.6 / ДО ТПУ

Список вопросов

Найти абсциссы точек перегиба графика полинома: x4−19⋅x3+72⋅x2+40⋅x+7.
Найдите экстремум функции y=(x−1)(x+6).
Напишите формулу Лагранжа для функции f(x)=sin(x) на отрезке [1;8] ∀t∈[1,8].
Найдите наименьшее и наибольшее значение функции f(x)=5⋅x−20⋅x−−√,x∈[0;5].
Найти абсциссы точек перегиба графика полинома:
x4−18⋅x3+84⋅x2+25⋅x+12
.
Найдите экстремум функции y=(x−4)(x+1).
Напишите формулу Лагранжа для функции f(x)=ln(x) на отрезке [1;7] ∀t∈[1,7].
К графику функции, заданной параметрически {y=tx=t3−3⋅t запишите уравнение касательной в точке M(2;2):
и уравнение нормали:


Найдите наименьшее и наибольшее значение функции f(x)=2⋅x−8⋅x−−√,x∈[0;5].
Пользуясь правилом Лопиталя, найти
limx→−2x3+7⋅x2+16⋅x+12x3+13⋅x2+40⋅x+36.
Пользуясь правилом Лопиталя, найти
limx→−3(x+3)sin(x+3).
Пользуясь правилом Лопиталя, найти
limx→0x2⋅e1x2
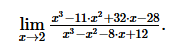
Пользуясь правилом Лопиталя, найти
limx→2x3−11⋅x2+32⋅x−28x3−x2−8⋅x+12.
Пользуясь правилом Лопиталя, найти
limx→0(x)sin(x).
Пользуясь правилом Лопиталя, найти
limx→0x2⋅e1x2
Пользуясь правилом Лопиталя, найти
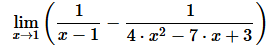
limx→1(xx−1−11⋅ln(x))
Пользуясь правилом Лопиталя, найти
limx→4+0ln(x−4)lnsin(x−4).
Пользуясь правилом Лопиталя, найти
limx→−4x3+17⋅x2+88⋅x+144x3+10⋅x2+32⋅x+32.
Пользуясь правилом Лопиталя, найти
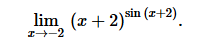
limx→−2(x+2)sin(x+2).
Пользуясь правилом Лопиталя, найти
limx→0x2⋅e1x2
Пользуясь правилом Лопиталя, найти
limx→1(5⋅xx−1−115⋅ln(x))
Пользуясь правилом Лопиталя, найти
limx→9+0ln(x−9)lnsin(x−9).
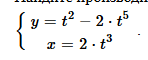
Найдите производные 2-го и 3-го пордяков функции {y=t2−2⋅t5x=2⋅t3 .
Запишите вторую производную:
Запишите третью производную:
Запишите значение второй и третьей производной для параметра t0=−1:
Найдите производную y''xx функции {y=cos(2⋅t+4)x=2⋅t−3 в точке t0=1.
Запишите первую производную:
Запишите вторую производную:
Запишите значение второй производной для параметра
Найдите производную второго и третьего порядка функции f(t)=2⋅t+44⋅t−2 в точке t0=1
Найдите производную первого и второго порядка функции f(z)=2z2⋅z−4 в точке z0=0
Найдите производную второго порядка функции f(t)=ln(4⋅t)−4⋅t√+1ln(11).
Найти производную от функции f(x)=(x−8)sin(x).
Найдите производную сложной функции f(y)=arcctg2(3⋅y−7).
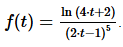
Найти производную от функции f(t)=ln(4⋅t+2)(2⋅t−1)5.
Найти производную от функции f(y)=4⋅8sin(y).
Найти производную от функции f(y)=5⋅cos(8⋅y+9).
Найти производную от функции f(z)=8⋅arctan(z)+9−7⋅arcsin(z)−7.
Найти производную от функции f(z)=1−z2+4⋅z+8.
Найти производную от функции f(y)=(9⋅y2−8)⋅cot(y).
Найти производную от функции f(x)=ch(6⋅x+4)+2⋅x7+6x+4.
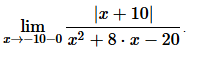
Найти односторонний предел limx→−10−0|x+10|x2+8⋅x−20.
Найдите односторонние пределы функции
Охарактеризуйте точку x = 2, если f(2 − 0) = 5, f(2 + 0) = −3, f(2) = 5.
Выберите один ответ:
Укажите график, соответствующий условиям
f(–∞) = 0; f(2–0) = +∞; f(2+0) = 1; f(+∞) = 0
Определите при x→∞ порядок k бесконечно малой функции α(x)=e1x−1x относительно бесконечно малой 1x.
Определите при x→0 порядок k бесконечно малой функции (2⋅x+1−−−−−−−√8−1)9⋅cos(−8⋅x) относительно бесконечно малой x.
Укажите поведение аргумента x , при котором функции будут бесконечно малыми
Укажите поведение аргумента x , при котором функции будут бесконечно малыми
Определите при x→∞ порядок k бесконечно малой функции α(x)=e1x4−1x2 относительно бесконечно малой 1x.
Укажите порядок бесконечно малой функции
Определите при x→0 порядок k бесконечно малой функции (2⋅x+1−−−−−−−√8−1)5⋅cos(−5⋅x) относительно бесконечно малой x.
Укажите поведение аргумента x , при котором функции будут бесконечно малыми
Определите при x→∞ порядок k бесконечно малой функции α(x)=e1x−1x2 относительно бесконечно малой 1x.
Определите порядок малости бесконечно малой функции α(x)=2⋅x10−3⋅x5+x2 относительно x при x → 0
Определите при x→0 порядок k бесконечно малой функции (x+1−−−−−√7−1)8⋅cos(−4⋅x) относительно бесконечно малой x.
Найти
limx→−22−x√−x+6√x2−4
Найти
limx→1(1x−1−14⋅x2−7⋅x+3)
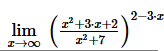
Найти limx→∞(x2+3⋅x+2x2+7)2−3⋅x=
Найти
limx→2x3+2⋅x2−29⋅x+42x3+2⋅x2−29⋅x+42
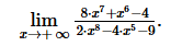
Найти
limx→+∞8⋅x7+x6−42⋅x8−4⋅x5−9.
Найти
limn→∞1+8+15+22+⋯+(7⋅(n−1)+1)n3+62⋅n−22√=
Найдите предел limn→∞(ln(n+9)+1(n+2)!)=
Найти
limn→∞(2⋅n+21−−−−−−−−√−2⋅n−58−−−−−−−−√)=
Найти
limn→∞2n−896n−55=
Найти
limn→∞1+16+162+⋯+16n1−15+152−⋯+(−1)n5n=
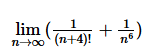
Найдите предел limn→∞(1(n+4)!+1n6)
Найдите предел limn→∞((−1)n+1)=
Найти
limn→∞(5⋅n−40−−−−−−−−√−5⋅n+19−−−−−−−−√)=
Найти
limn→∞7n−17n+79
Найти
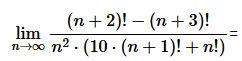
limn→∞(n+2)!−(n+3)!n2⋅(10⋅(n+1)!+n!)=
Установите соответствие между параболой и ее фокальным параметром.
Составить каноническое уравнение гиперболы, фокусы которой лежат на оси ординат симметрично относительно начала координат, зная, кроме того, что её действительная полуось равна 3, а мнимая полуось равна 10.
Центр окружности O:(x−a)2+(y−b)2=R2 находится в точке C(−91,66), и её радиус равен 1.
Найдите a,b, и R.
В линейном пространстве V2 фиксирована правая декартова система координат. Прямая L {xy==−4+l∗t9+m∗t,t∈R, параллельна прямой L1:x+3⋅y−5=0 .
Найдите l и m.
В линейном пространстве V2 фиксирована правая декартова система координат .
Найти координаты точки пересечения двух прямых L1:x−11=y−1−1 и L2:x+4−1=y−72.
В линейном пространстве V2 фиксирована правая декартова система координат.
Найдите расстояние между двумя параллельными прямыми L1:−3⋅x+4⋅y+3=0 и L2:6⋅x−8⋅y+0=0.
В линейном пространстве V2 фиксирована правая декартова система координат.
Прямая L проходит через точку M0(−3;−6) и ортогональна вектору n =(−9;5).
Запишите уравнение этой прямой.
Найдите тангенс угла наклона этой прямой с осью ОХ
В линейном пространстве V2 фиксирована правая декартова система координат
Точка M0(x0,−2) лежит на прямой L:−x+5⋅y+13=0.
Найдите координаты точки M0.
В линейном пространстве фиксирована правая декартова система координат
Дана прямая
Определите координаты какого-нибудь направляющего вектора прямой.
В пространстве V3 фиксирована правая декартова система координат. Вычислить объём V тетраэдра, вершины которого находятся в точках A(4;1;2),B(10;3;3),C(8;1;1) и D(4;2;3).
Геометрический вектор c перпендикулярен к геометрическим векторам a и b, а угол между геометрическими векторами a и b равен π3.
Зная, что |a |=3, b=1,c=3 вычислить
В пространстве V3 фиксирован декартов базис и заданы два геометрических вектора a ={−3;5;−2} и b ={5;2;2}.
Найдите координаты какого-либо вектора, перпендикулярного векторам a и одновременно.
В пространстве V3 фиксирована декартова система координат и три
точки A(−2;5;−1),B(1;7;0) и C(−4;10;1).
Вычислить S△ABC -- площадь треугольника ABC.
Геометрические векторы a и b перпендикулярные. Зная, что |a |=5,b=3, вычислить
В пространстве V3 фиксирована декартова система координат . Вектор c, перпендикулярный вектору a ={3;3;−4} и оси Ox, образует с осью Oy острый угол.
Найти координаты вектора c , зная, что |c |2=25.
Даны три вектора a ={−5;3;4} , b ={−2;−3;−5}, c ={4;5;1}. Найдите скалярное произведение двух векторов d =3a +(−5)b +(−2)c и h=−1a +(−4)b +(4)c.
Геометрические векторы a и b перпендикулярные; геометрический вектор c образует с ними углы равные 3⋅π4.
Зная, что, вычислить.
Даны три геометрических вектора
Найдите вектор
направляющие косинусы
и орт вектора d
Дан геометрический вектор a ={−1;8;−9}.
Укажите координаты какого-нибудь ненулевого геометрического вектора b, перпендикулярного геометрическому вектору a .
В линейном пространстве V3 фиксирована декартова система координат. Вектор c, перпендикулярный вектору a ={4;0;−3} и оси Oy, образует с осью Oz острый угол. Найти координаты вектора c , зная, что |c |2=100.
Геометрические векторы a и b перпендикулярные; геометрический вектор c образует с ними углы равные π3.
Зная, что вычислить
Даны три геометрических вектора
Найдите вектор
и его модуль
направляющие косинусы
и орт вектора d
Дан геометрический вектор a ={−8;−3;1}.
Укажите координаты какого-нибудь ненулевого геометрического вектора b ,перпендикулярного геометрическому вектору a .
Вектор c, перпендикулярный вектору a ={5;−3;4} и оси Oz, образует с осью Ox острый угол.
Найти координаты вектора c , зная, что |c |2=34.
Даны три вектора a = {−3;5;5}, b = {5;4;4}, c = {−4;2;1}. Найдите скалярное произведение двух векторов d = 5a + (−2)b + (4)c и h= −1a + (−3)b + (4)c.
В пространстве V3 фиксирован декартов базис и заданы два геометрических вектора a ={−4;−8;4} и b ={−8;2;3}.
Найти проекции вектора c =5a −5b на оси определяемые векторами декартова базиса.
В пространстве V3 фиксирована правая декартова система координат (O,ı , ,k ).
Даны две вершины куба ABCDA1B1C1D1: C(2;0;2), C1(4;−2;1). Найдите объем куба ABCDA1B1C1D1.
В пространстве V3 фиксирован базис (e1→,e2→,e3→).
Определите, при каких значениях p и q геометрические векторы a ={−2;3;p} и b ={−6;q;−3} являются коллинеарными.
Точка С делит отрезок АВ во внутреннем отношении. Определить координаты точки С(xc;yc;zc), если
A(−1;−4;4), B(5;0;−6), |AB|:|CB|=5:2,
В пространстве V3 фиксирован декартов базис и заданы два геометрических вектора a ={5;4;−6} и b ={4;−9;−8}.
Найти проекции вектора c =a −2b на оси определяемые векторами декартова базиса.
Даны три последовательные вершины параллелограмма ABCD: A(1;2;−3), B(2;4;−2), C(5;7;1).
Найти координаты четвертой вершины.
Координаты точки D:
В пространстве V3 фиксирован декартов базис (ı , ,k) и заданы два геометрических вектора a ={−4;−2;−9} и b ={5;9;−4}.
Найти проекции вектора c =3a−3b на оси определяемые векторами декартова базиса.

В пространстве V3 фиксирован декартов базис (ı , ,k) и заданы два геометрических вектора a ={−4;−2;−9} и b ={5;9;−4}.
Найти проекции вектора c =3a−3b на оси определяемые векторами декартова базиса.

В пространстве V3 фиксирован базис (e1→,e2→,e3→).
Определите, при каких значениях p и q геометрические векторы a ={−3;−3;p} и b ={q;−3;−2} являются коллинеарными.

Характеристики ответов (шпаргалок) к заданиям

Тип
Предмет
Учебное заведение
Семестр
Просмотров
2
Качество
Идеальное компьютерное
Количество вопросов
Картинка-подпись
Если нужен другой вариант работы или отдельная задача из любой работы, пишите в комментарии

Комментарии

Нет комментариев
Стань первым, кто что-нибудь напишет!
Поделитесь ссылкой:
Цена: 240 руб.
Расширенная гарантия +3 недели гарантии, +10% цены
Рейтинг автора
5 из 5
Поделитесь ссылкой:
Сопутствующие материалы

Подобрали для Вас услуги

-17%
Вы можете использовать полученные ответы для подготовки к экзамену в учебном заведении и других целях, не нарушающих законодательство РФ и устав Вашего учебного заведения.
Свежие статьи
Популярно сейчас
А знаете ли Вы, что из года в год задания практически не меняются? Математика, преподаваемая в учебных заведениях, никак не менялась минимум 30 лет. Найдите нужный учебный материал на СтудИзбе!
Ответы на популярные вопросы
Да! Наши авторы собирают и выкладывают те работы, которые сдаются в Вашем учебном заведении ежегодно и уже проверены преподавателями.
Да! У нас любой человек может выложить любую учебную работу и зарабатывать на её продажах! Но каждый учебный материал публикуется только после тщательной проверки администрацией.
Вернём деньги! А если быть более точными, то автору даётся немного времени на исправление, а если не исправит или выйдет время, то вернём деньги в полном объёме!
Да! На равне с готовыми студенческими работами у нас продаются услуги. Цены на услуги видны сразу, то есть Вам нужно только указать параметры и сразу можно оплачивать.
Отзывы студентов
Ставлю 10/10
Все нравится, очень удобный сайт, помогает в учебе. Кроме этого, можно заработать самому, выставляя готовые учебные материалы на продажу здесь. Рейтинги и отзывы на преподавателей очень помогают сориентироваться в начале нового семестра. Спасибо за такую функцию. Ставлю максимальную оценку.
Лучшая платформа для успешной сдачи сессии
Познакомился со СтудИзбой благодаря своему другу, очень нравится интерфейс, количество доступных файлов, цена, в общем, все прекрасно. Даже сам продаю какие-то свои работы.
Студизба ван лав ❤
Очень офигенный сайт для студентов. Много полезных учебных материалов. Пользуюсь студизбой с октября 2021 года. Серьёзных нареканий нет. Хотелось бы, что бы ввели подписочную модель и сделали материалы дешевле 300 рублей в рамках подписки бесплатными.
Отличный сайт
Лично меня всё устраивает - и покупка, и продажа; и цены, и возможность предпросмотра куска файла, и обилие бесплатных файлов (в подборках по авторам, читай, ВУЗам и факультетам). Есть определённые баги, но всё решаемо, да и администраторы реагируют в течение суток.
Маленький отзыв о большом помощнике!
Студизба спасает в те моменты, когда сроки горят, а работ накопилось достаточно. Довольно удобный сайт с простой навигацией и огромным количеством материалов.
Студ. Изба как крупнейший сборник работ для студентов
Тут дофига бывает всего полезного. Печально, что бывают предметы по которым даже одного бесплатного решения нет, но это скорее вопрос к студентам. В остальном всё здорово.
Спасательный островок
Если уже не успеваешь разобраться или застрял на каком-то задание поможет тебе быстро и недорого решить твою проблему.
Всё и так отлично
Всё очень удобно. Особенно круто, что есть система бонусов и можно выводить остатки денег. Очень много качественных бесплатных файлов.
Отзыв о системе "Студизба"
Отличная платформа для распространения работ, востребованных студентами. Хорошо налаженная и качественная работа сайта, огромная база заданий и аудитория.
Отличный помощник
Отличный сайт с кучей полезных файлов, позволяющий найти много методичек / учебников / отзывов о вузах и преподователях.
Отлично помогает студентам в любой момент для решения трудных и незамедлительных задач
Хотелось бы больше конкретной информации о преподавателях. А так в принципе хороший сайт, всегда им пользуюсь и ни разу не было желания прекратить. Хороший сайт для помощи студентам, удобный и приятный интерфейс. Из недостатков можно выделить только отсутствия небольшого количества файлов.
Спасибо за шикарный сайт
Великолепный сайт на котором студент за не большие деньги может найти помощь с дз, проектами курсовыми, лабораторными, а также узнать отзывы на преподавателей и бесплатно скачать пособия.
Популярные преподаватели
Добавляйте материалы
и зарабатывайте!
Продажи идут автоматически
7049
Авторов
на СтудИзбе
259
Средний доход
с одного платного файла
Обучение Подробнее