Для студентов МГТУ им. Н.Э.Баумана по предмету Математический анализЭлементарные функции и их графикиЭлементарные функции и их графики
4,90547063
2023-03-022025-04-10СтудИзба
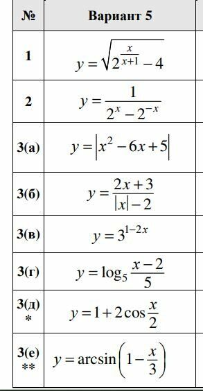
ДЗ 1.1: Элементарные функции и их графики вариант 5
-66%
Описание
Вариант 5 - ДЗ №1 - Элементарные функции и их графики - МТ,РК,ИБМ,Э5,ФН1
Зачтено на максимальный балл 💥 💥 💥
Спасибо за покупку 🥰🥰🥰

Пример решения:



Характеристики домашнего задания
Предмет
Учебное заведение
Семестр
Номер задания
Вариант
Теги
Просмотров
129
Размер
942,54 Kb
Список файлов
работа над ошибками ДЗ 1.docx
Вариант 5 - ДЗ №1 - Элементарные функции и их графики - ФН1.docx

Друзья, спасибо за доверие! Если вам понравилась работа – поставьте 5⭐ и напишите отзыв. Это поможет другим студентам, а мне даст силы делать ещё больше качественных материалов для вас 🔥