Для студентов МГТУ им. Н.Э.Баумана по предмету Математический анализЭлементарные функции и их графикиЭлементарные функции и их графики
4,92523445
2016-06-222025-04-15СтудИзба
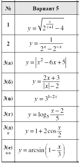
ДЗ 1.1: Элементарные функции и их графики вариант 5
-51%
Описание

Характеристики домашнего задания
Предмет
Учебное заведение
Семестр
Номер задания
Вариант
Теги
Просмотров
767
Качество
Скан рукописных листов
Размер
9,53 Mb
Список файлов
Элементарные функции и их графики - 1.pdf
Элементарные функции и их графики - 2.pdf

Вам все понравилось? Получите кэшбэк - 40 рублей на Ваш счёт при покупке. Поставьте оценку и напишите положительный комментарий к купленному файлу. После Вы получите деньги на ваш счет.