Для студентов МГТУ им. Н.Э.Баумана по предмету Математический анализПределы и непрерывность функцийПределы и непрерывность функций
4,92522997
2016-01-302025-04-12СтудИзба
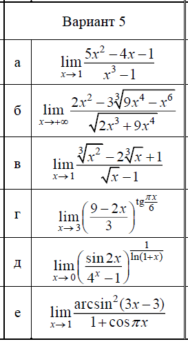
ДЗ 1.2: Пределы и непрерывность функций вариант 5
-51%
Описание
Характеристики домашнего задания
Предмет
Учебное заведение
Семестр
Номер задания
Вариант
Просмотров
2776
Качество
Фото рукописных листов
Размер
6,16 Mb
Список файлов
Пределы и непрерывность функции.pdf

Вам все понравилось? Получите кэшбэк - 40 рублей на Ваш счёт при покупке. Поставьте оценку и напишите положительный комментарий к купленному файлу. После Вы получите деньги на ваш счет.