Для студентов ИДДО НИУ «МЭИ» по предмету Математический анализЭкзамен (Пределы, Производные, Исследование функций, Интегралы ) (ПЯ)Экзамен (Пределы, Производные, Исследование функций, Интегралы ) (ПЯ)
5,00541
2020-03-232020-03-23СтудИзба
Ответы к экзамену: Экзамен (Пределы, Производные, Исследование функций, Интегралы ) (ПЯ)
Бестселлер
Описание
Список вопросов
Верно ли сформулировано определение: "Функция дифференцируема в точке, если в этой точке у неё существует производная"
Верно ли, что если функция интегрируема на отрезке, то она ограничена?
Может ли у функции быть два предела в точке?
Может ли у функции быть ровно две различных первообразных?
Верно ли сформирована теорема Ролля: "если функция непрерывна на отрезке и дифференцируема на интервале, то внутри отрезка найдется точка, в которой производная этой функции равна нулю"
Верно ли. что из теоремы Коши следует теорема Лагранжа?
Верно ли, что интеграл от произведения двух функций всегда равен произведению интегралов от этих функций?
Существует ли функция, которая имеет экстремум в каждой точке?
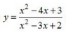
Вертикальной асимптотой графика функции
является:

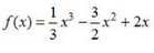
Областью монотонного убывания функции
является:

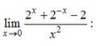
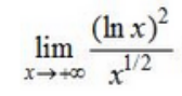
Чему равен предел
![]()

Если f(x) = sin2, то f`(x) равна:
Уравнение касательной к графику функции у - (х - 1)3 + 2 в точке х = 1 есть:
Если f(x ) = cos(x2), то f`(х ) равна:
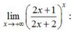
Чему равен предел
![]()

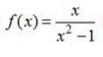
Верно ли, что функция
монотонно убывает на (1; +∞)

Чему равен предел
![]()

Укажите, чему равен:
![]()

Если f(х)= log3 (sin22 + 5), то f`(х) равна:

Укажите чему равен:
![]()

Эти вопросы в других коллекциях
Коллекция: Тест 1. Пределы (ПЯ)
349 руб.
Коллекция: Тест 4. Интегралы (ПЯ)
349 руб.
Характеристики ответов (шпаргалок) к экзамену
Тип
Коллекция: Ответы (шпаргалки) к экзамену
Предмет
Учебное заведение
Семестр
Просмотров
582
Качество
Скан печатных листов
Количество вопросов

Зарабатывай на студизбе! Просто выкладывай то, что так и так делаешь для своей учёбы: ДЗ, шпаргалки, решённые задачи и всё, что тебе пригодилось.
Начать зарабатывать
Начать зарабатывать