Для студентов ИДДО НИУ «МЭИ» по предмету Математический анализТест 4. Интегралы (ПЯ)Тест 4. Интегралы (ПЯ)
5,005251
2020-03-232020-03-23СтудИзба
Ответы к контрольной работе: Тест 4. Интегралы (ПЯ)
Описание
Список вопросов
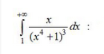
Укажите:
![]()

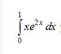
Укажите чему равен:
![]()

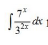
Укажите чему равен:
![]()


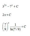
Укажите чему равен: ![]()

Укажите чему равен:
![]()

Укажите чему равен:
![]()

Укажите чему равен: ![]()

Укажите чему равен:
![]()

Эти вопросы в других коллекциях
Характеристики ответов (шпаргалок) к КР
Тип
Коллекция: Ответы (шпаргалки) к контрольной работе
Предмет
Учебное заведение
Семестр
Просмотров
351
Количество вопросов

Зарабатывай на студизбе! Просто выкладывай то, что так и так делаешь для своей учёбы: ДЗ, шпаргалки, решённые задачи и всё, что тебе пригодилось.
Начать зарабатывать
Начать зарабатывать
Комментарии

Отзыв
Всё верно