Для студентов ИДДО НИУ «МЭИ» по предмету Математический анализТест 2. Производные. Правило Лопиталя. Формула Тейлора (ПЯ)Тест 2. Производные. Правило Лопиталя. Формула Тейлора (ПЯ)
5,00518
2020-03-232020-03-23СтудИзба
Ответы к контрольной работе: Тест 2. Производные. Правило Лопиталя. Формула Тейлора (ПЯ)
Описание
Список вопросов
Уравнение нормали к графику функции y=ex в точке x=0 есть:
Если f(x)= log3 (sin2 2+5), то f'(x) равна
![]()

Найти (x sinx)(2)
Уравнение касательной к графику функции у - (х - 1)3 + 2 в точке х = 1 есть:
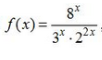
Если f (x)=x3x , то f' (x) равна
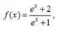
Если
то f'(x) равна:
![]()


Укажите чему равен:
![]()

Укажите чему равен:
![]()

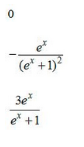
Если
то f'(x) равна:

то f'(x) равна:
Эти вопросы в других коллекциях
Характеристики ответов (шпаргалок) к КР
Тип
Коллекция: Ответы (шпаргалки) к контрольной работе
Предмет
Учебное заведение
Семестр
Просмотров
356
Количество вопросов

Зарабатывай на студизбе! Просто выкладывай то, что так и так делаешь для своей учёбы: ДЗ, шпаргалки, решённые задачи и всё, что тебе пригодилось.
Начать зарабатывать
Начать зарабатывать