Для студентов ИДДО НИУ «МЭИ» по предмету Математический анализТест 3. Исследование функций (ПЯ)Тест 3. Исследование функций (ПЯ)
5,00510
2020-03-232020-03-23СтудИзба
Ответы к контрольной работе: Тест 3. Исследование функций (ПЯ)
Описание
Список вопросов
Максимальное значение функции f (x) = ln/x на множестве [3; +∞) равно
Максималбное значение функции f (x) = lnx/x на отрезке [1; 3] равно:
Точка x=2 для функции f (x) =x3 - 6x2 + 12x + 7 является:
Верно ли, что функция f (x) = ex +2x строго монотонно возрастает на (4;7)
Точка x=0 для функции f(x) = ex - 1 - x является:
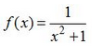
Точка x=0 для функции является:
![]()

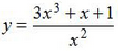
Наклонной асимптотой графика функции является прямая: ![]()

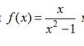
Верно ли, что функция:
монотонно убывает на (1;+∞ )

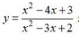
Вертикальной асимптотой графика функции является: ![]()

Эти вопросы в других коллекциях
Характеристики ответов (шпаргалок) к КР
Тип
Коллекция: Ответы (шпаргалки) к контрольной работе
Предмет
Учебное заведение
Семестр
Просмотров
261
Количество вопросов

Зарабатывай на студизбе! Просто выкладывай то, что так и так делаешь для своей учёбы: ДЗ, шпаргалки, решённые задачи и всё, что тебе пригодилось.
Начать зарабатывать
Начать зарабатывать