Для студентов ИДДО НИУ «МЭИ» по предмету Математический анализТест 1. Пределы (ПЯ)Тест 1. Пределы (ПЯ)
4,70516
2020-03-232020-03-23СтудИзба
Ответы к контрольной работе: Тест 1. Пределы (ПЯ)
Описание
ИДДО, сдан на 100%
![]()







Список вопросов
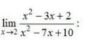
Чему равен предел
![]()

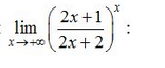
Чему равен предел:
![]()

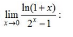
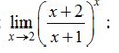
Чему равен предел:
![]()

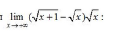
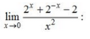
Чему равен предел: ![]()

Чему равен предел:
![]()

Чему равен предел:
![]()

Чему равен предел:
![]()

Эти вопросы в других коллекциях
Характеристики ответов (шпаргалок) к КР
Тип
Коллекция: Ответы (шпаргалки) к контрольной работе
Предмет
Учебное заведение
Семестр
Просмотров
302
Количество вопросов

Зарабатывай на студизбе! Просто выкладывай то, что так и так делаешь для своей учёбы: ДЗ, шпаргалки, решённые задачи и всё, что тебе пригодилось.
Начать зарабатывать
Начать зарабатывать