Для студентов МГТУ им. Н.Э.Баумана по предмету Линейная алгебра и аналитическая геометрияКривые и поверхности второго порядкаКривые и поверхности второго порядка
5,0053
2022-08-162025-05-22СтудИзба
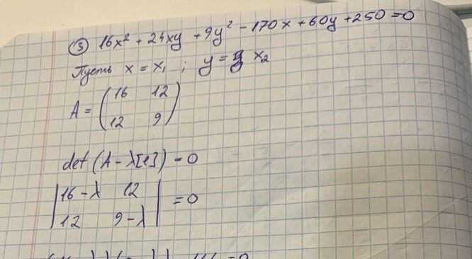
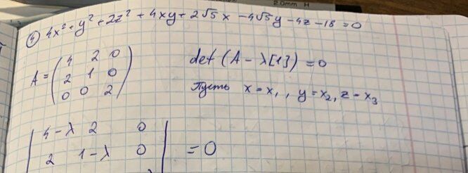
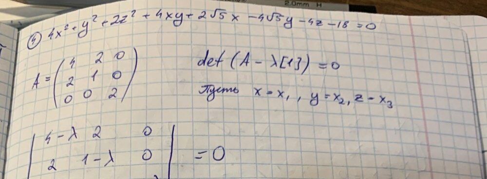
ДЗ 1.2: Кривые и поверхности второго порядка вариант 12
-66%
Описание
Вариант 12 - ДЗ №1 - Кривые и поверхности второго порядка - СМ
Зачтено на максимальный балл 💥 💥 💥
Спасибо за покупку 🥰🥰🥰 ![]()




Характеристики домашнего задания
Учебное заведение
Семестр
Номер задания
Вариант
Просмотров
60
Размер
3,7 Mb
Список файлов
Вариант 12 - ДЗ №1 - Кривые и поверхности второго порядка - СМ+.pdf
Вариант 12 - ДЗ №1 - Кривые и поверхности второго порядка - СМ++.pdf

Друзья, спасибо за доверие! Если вам понравилась работа – поставьте 5⭐ и напишите отзыв. Это поможет другим студентам, а мне даст силы делать ещё больше качественных материалов для вас 🔥