Для студентов МГТУ им. Н.Э.Баумана по предмету Интегралы и дифференциальные уравнения (ИиДУ)Определенный интегралОпределенный интеграл
5,0058
2023-04-132024-09-03СтудИзба
ДЗ 1: Определенный интеграл вариант 8
-66%
Описание
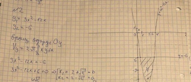
Вариант 8 - ДЗ №1 - Определённый интеграл - ИУ, РЛ, БМТ, ФН12
Зачтено на максимальный балл 💥 💥 💥
Спасибо за покупку 🥰🥰🥰
Интегралы и дифференциальные уравнения (2-й семестр)






Файлы условия, демо
Характеристики домашнего задания
Учебное заведение
Семестр
Номер задания
Вариант
Просмотров
200
Размер
1,5 Mb
Список файлов
Вариант 8 - ДЗ №1 - Определение интеграл - ИУ.pdf

Друзья, спасибо за доверие! Если вам понравилась работа – поставьте 5⭐ и напишите отзыв. Это поможет другим студентам, а мне даст силы делать ещё больше качественных материалов для вас 🔥