Для студентов МГТУ им. Н.Э.Баумана по предмету Интегралы и дифференциальные уравнения (ИиДУ)Определенный интегралОпределенный интеграл
5,0052
2022-04-232025-02-11СтудИзба
ДЗ 1: Определенный интеграл вариант 8
-43%
Описание
Типовой расчет №1 по математическому анализу, "Определенный интеграл", зачтено
Задача 1:
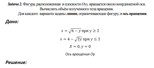
Задача 2:
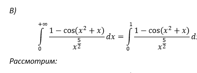
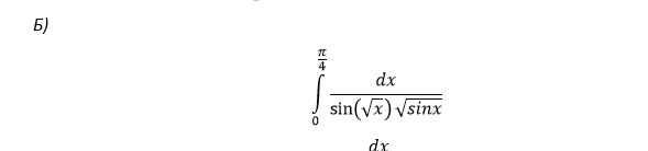
Задача 3:
Задача 4:
Задача 5:
Задача 6:
![]()
Задача 1:








Файлы условия, демо
Характеристики домашнего задания
Учебное заведение
Семестр
Номер задания
Вариант
Просмотров
64
Качество
Идеальное компьютерное
Размер
282,7 Kb
Список файлов
Вариант 8 Инты 1 91.docx

Спасибо за покупку! Я буду очень рад, если поставишь справедливую оценку купленному файлу :3 Ищи больше работ в моём профиле, там много нужного тебе!