Для студентов МГТУ им. Н.Э.Баумана по предмету Линейная алгебра и аналитическая геометрияФункции нескольких переменныхФункции нескольких переменных
4,735111
2022-06-172025-05-22СтудИзба
Вариант 3 - ДЗ №2 "Функции нескольких переменных - 8 Задач
ДЗ 2: Функции нескольких переменных вариант 3
-43%
Описание
Второй типовой расчет по линейной алгебре, ФНП, 6 задач, зачтено на максимальный балл.
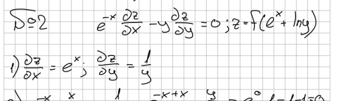
Задача 1:
Задача 2:
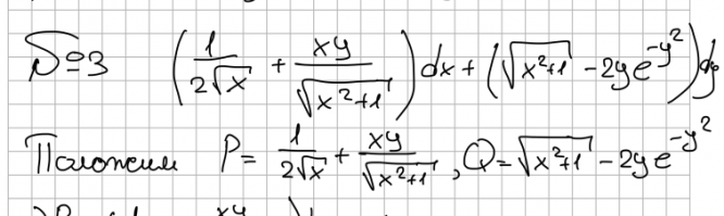
Задача 3:
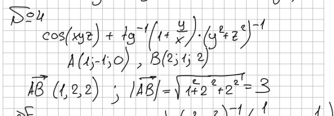
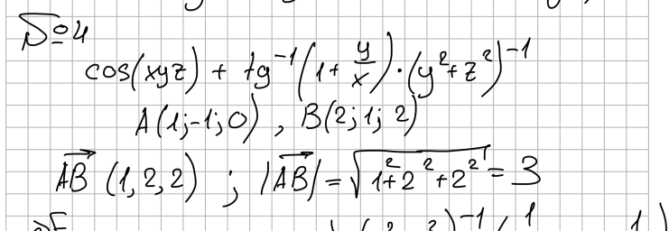
Задача 4:
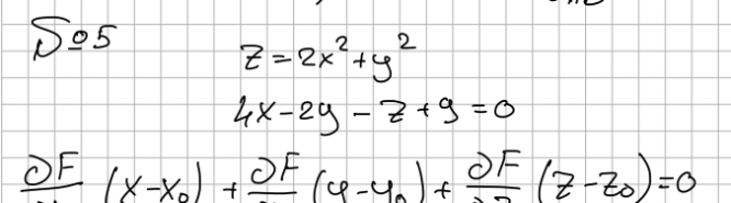
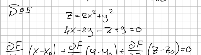
Задача 5:
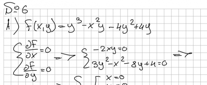
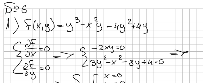
Задача 6:
Показать/скрыть дополнительное описание
Задача 1:

Задача 2:

Задача 3:

Задача 4:

Задача 5:

Задача 6:


Показать/скрыть дополнительное описание
Типовой расчет по линейной алгебре МГТУ.
Характеристики домашнего задания
Учебное заведение
Семестр
Номер задания
Вариант
Просмотров
131
Качество
Идеальное компьютерное
Размер
5,45 Mb
Список файлов
Вариант 3 ФНП 2 88.pdf

Спасибо за покупку! Я буду очень рад, если поставишь справедливую оценку купленному файлу :3 Ищи больше работ в моём профиле, там много нужного тебе!
Комментарии

Отзыв
В 6 задаче(в пункте б) ошибка. Неправильно перенесены числа в матрицу! А так супер