Для студентов МГТУ им. Н.Э.Баумана по предмету Линейная алгебра и аналитическая геометрияКривые второго порядкаКривые второго порядка
5,00511
2022-11-052025-05-10СтудИзба
ДЗ 2.1: Кривые второго порядка вариант 16
-43%
Описание
Зачтенный типовой расчет по аналитической геометрии №2 "Кривые второго порядка"
Задача 1:
Задача 2:
Задача 3:
Задача 4:
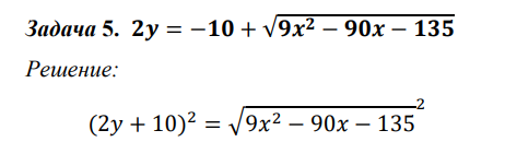
Задача 5:
Задача 6:
![]()
Задача 1:






Характеристики домашнего задания
Учебное заведение
Семестр
Номер задания
Вариант
Просмотров
125
Качество
Идеальное компьютерное
Размер
1,16 Mb
Список файлов
Вариант 16 Ангем Дз-2.pdf

Спасибо за покупку! Я буду очень рад, если поставишь справедливую оценку купленному файлу :3 Ищи больше работ в моём профиле, там много нужного тебе!