Для студентов МГТУ им. Н.Э.Баумана по предмету Интегралы и дифференциальные уравнения (ИиДУ)Определенный интегралОпределенный интеграл
5,00526
2022-03-232024-09-03СтудИзба
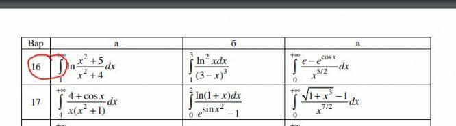
ДЗ 1: Определенный интеграл вариант 16
-66%
Описание
2022г Вариант 16 - ДЗ №1 - Определённый интеграл
![]()
Интегралы и дифференциальные уравнения (2-й семестр)
Защищено на 10 из 10 возможных баллов.







Файлы условия, демо
Характеристики домашнего задания
Учебное заведение
Семестр
Номер задания
Вариант
Программы
Просмотров
682
Качество
Идеальное компьютерное
Размер
384,66 Kb
Список файлов
Вариант 16 - ДЗ №1 - Определённый интеграл.docx

Друзья, спасибо за доверие! Если вам понравилась работа – поставьте 5⭐ и напишите отзыв. Это поможет другим студентам, а мне даст силы делать ещё больше качественных материалов для вас 🔥