Для студентов МГТУ им. Н.Э.Баумана по предмету Интегралы и дифференциальные уравнения (ИиДУ)Техника интегрированияТехника интегрирования
5,0052
2023-02-262024-08-31СтудИзба
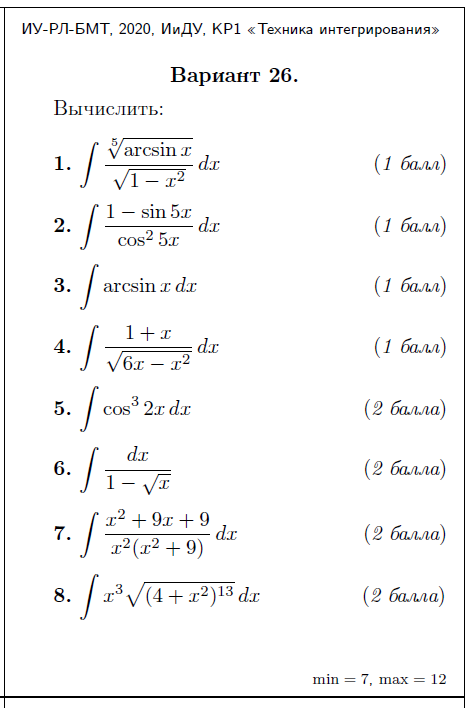
Ответы к контрольной работе 1: Техника интегрирования вариант 26
-60%
Описание

Характеристики ответов (шпаргалок) к КР
Учебное заведение
Семестр
Номер задания
Вариант
Просмотров
36
Качество
Фото рукописных листов
Размер
290,92 Kb
Список файлов
3ec43f9b25b28b311bc56d8984b4d848.jpg.jpg
9bde2fdac917918b8022ea83b70d36a8.jpg.jpg
66f64ea5be8851176277acbb8016a1d1.jpg.jpg
197b6771d1044c51e42c46ffaeda5fe9.jpg.jpg
a5b4ae888b57f98e8b1dbff22c469231.jpg.jpg

Вам все понравилось? Получите кэшбэк - 40 рублей на Ваш счёт при покупке. Поставьте оценку и напишите положительный комментарий к купленному файлу. После Вы получите деньги на ваш счет.