Для студентов МГТУ им. Н.Э.Баумана по предмету Интегралы и дифференциальные уравнения (ИиДУ)Техника интегрированияТехника интегрирования
5,0052
2023-02-262024-08-31СтудИзба
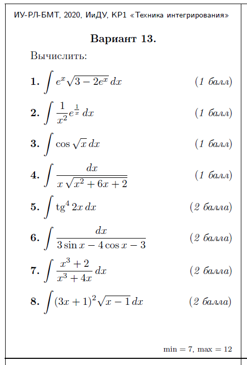
Ответы к контрольной работе 1: Техника интегрирования вариант 13
-60%
Описание

Характеристики ответов (шпаргалок) к КР
Учебное заведение
Семестр
Номер задания
Вариант
Просмотров
33
Качество
Фото рукописных листов
Размер
1019,6 Kb
Список файлов
-2GWDDFwoMY.jpg
6kGCcZFFHUQ.jpg
26ia_d3wS64.jpg
O53G6KW8D1U.jpg
X0UnfQu1YQk.jpg

Вам все понравилось? Получите кэшбэк - 40 рублей на Ваш счёт при покупке. Поставьте оценку и напишите положительный комментарий к купленному файлу. После Вы получите деньги на ваш счет.