Для студентов МГТУ им. Н.Э.Баумана по предмету Интегралы и дифференциальные уравнения (ИиДУ)Техника интегрированияТехника интегрирования
5,0053
2023-02-262024-08-31СтудИзба
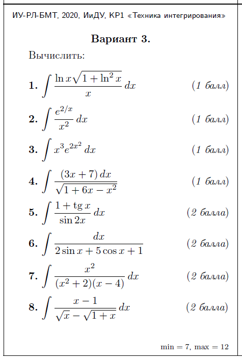
Ответы к контрольной работе 1: Техника интегрирования вариант 3
-60%
Описание

Характеристики ответов (шпаргалок) к КР
Учебное заведение
Семестр
Номер задания
Вариант
Просмотров
59
Качество
Фото рукописных листов
Размер
1,05 Mb
Список файлов
afL5QLmYkV0.jpg
bFSHLnE5iSc.jpg
glb5Z4GuQis.jpg
iv4exBi8zu8.jpg
kyDC-ADalmc.jpg
UHyZEcLBOAc.jpg

Вам все понравилось? Получите кэшбэк - 40 рублей на Ваш счёт при покупке. Поставьте оценку и напишите положительный комментарий к купленному файлу. После Вы получите деньги на ваш счет.