Для студентов МГТУ им. Н.Э.Баумана по предмету Интегралы и дифференциальные уравнения (ИиДУ)Техника интегрированияТехника интегрирования
5,0052
2023-02-232024-08-31СтудИзба
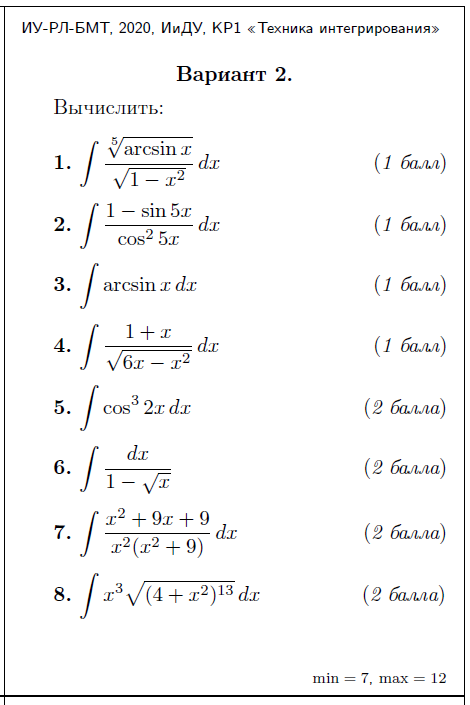
Ответы к контрольной работе 1: Техника интегрирования вариант 2
-60%
Описание

Характеристики ответов (шпаргалок) к КР
Учебное заведение
Семестр
Номер задания
Вариант
Просмотров
35
Качество
Фото рукописных листов
Размер
754,76 Kb
Список файлов
4fBA6lJezPQ.jpg
PXskLv5KbIM.jpg
QtcSXxrJH-Q.jpg
TAGGempQd2o.jpg
TU-ap-90_A0.jpg

Вам все понравилось? Получите кэшбэк - 40 рублей на Ваш счёт при покупке. Поставьте оценку и напишите положительный комментарий к купленному файлу. После Вы получите деньги на ваш счет.