Для студентов МГТУ им. Н.Э.Баумана по предмету Интегралы и дифференциальные уравнения (ИиДУ)Техника интегрированияТехника интегрирования
5,0051
2023-02-262024-08-31СтудИзба
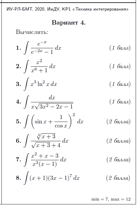
Ответы к контрольной работе 1: Техника интегрирования вариант 4
-60%
Описание

Характеристики ответов (шпаргалок) к КР
Учебное заведение
Семестр
Номер задания
Вариант
Просмотров
11
Качество
Фото рукописных листов
Размер
1,22 Mb
Список файлов
_nYae1LS_sk.jpg
6gNCMMIhfjg.jpg
azgd3OLdDAU.jpg
cpkAJIX-xUw.jpg
fIYodGTqZQ4.jpg
jd6b255t-Eo.jpg
l-0dSmR1ejQ.jpg
v9T-lJebFrs.jpg

Вам все понравилось? Получите кэшбэк - 40 рублей на Ваш счёт при покупке. Поставьте оценку и напишите положительный комментарий к купленному файлу. После Вы получите деньги на ваш счет.