Для студентов МГТУ им. Н.Э.Баумана по предмету ФизикаЭлектромагнитная индукция + Электромагнитные волныЭлектромагнитная индукция + Электромагнитные волны
5,00522
2021-05-212024-09-03СтудИзба
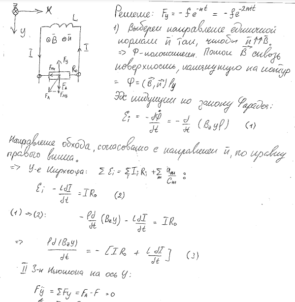
ДЗ 2: Электромагнитная индукция + Электромагнитные волны вариант 20
-70%
Описание
Вариант 20 - ДЗ №2 - Электромагнитная индукция + Электромагнитные волны
Зачтено на максимальный балл 💥 💥 💥
Спасибо за покупку 🥰🥰 🥰






Характеристики домашнего задания
Предмет
Учебное заведение
Семестр
Номер задания
Вариант
Просмотров
699
Размер
553,19 Kb
Список файлов
Типовой расчет №2 (Вариант 20).pdf

Друзья, спасибо за доверие! Если вам понравилась работа – поставьте 5⭐ и напишите отзыв. Это поможет другим студентам, а мне даст силы делать ещё больше качественных материалов для вас 🔥