Для студентов ИГЭУ им. Ленина по предмету ФизикаЭлектромагнитная индукция. Система уравнений Максвелла.Электромагнитная индукция. Система уравнений Максвелла.
5,00574
2025-08-272025-08-27СтудИзба
Ответы к контрольной работе 4: Электромагнитная индукция. Система уравнений Максвелла.
Описание
Электромагнитная индукция. Система уравнений Максвелла.
- 4.1. На рисунке представлена зависимость магнитного потока, пронизывающего некоторый замкнутый контур, от времени. На каком интервале времени ЭДС индукции в контуре по модулю максимальна?

2) D
3) C
4) E
5) A
- 4.2. На рисунке представлена зависимость магнитного потока, пронизывающего некоторый замкнутый контур, от времени. На каком интервале времени ЭДС индукции в контуре отрицательна и по величине максимальна?
2) A
3) E
4) D
5) C
- 4.3. На рисунке показан длинный проводник с током и проводящая рамка. Определить направление индукционного тока при движении рамки к проводнику.
2) Индукционный ток не возникнет.
3) Индукционный ток течет в направлении 4-3-2-1.
- 4.4. На рисунке показан длинный проводник с током и проводящая рамка. Определить направление индукционного тока при движении рамки параллельно проводнику.
2) Индукционный ток не возникнет.
3) Индукционный ток течет в направлении 4-3-2-1.
- 4.5. На рисунке показан длинный проводник с током и небольшая проводящая рамка. Определить направление индукционного тока при выключении тока рамке.
2) Индукционный ток течет в направлении 4-3-2-1.
3) Индукционный ток не возникнет.
- 4.6. В магнитное поле, модуль вектора индукции которого изменяется по закону B = 0,1cos 4πt, помещена квадратная рамка со стороной a = 10 см. Нормаль к поверхности ограниченной рамкой совпадает с направлением приращения вектора B. По какому закону с течением времени изменяется ЭДС индукции?
2) Ei = -10-3sin4πt
3) Ei = 4π10-3sin4πt
4) Ei = -4π10-3sin4πt
- 4.7. В магнитное поле, модуль вектора индукции которого изменяется по закону B = 0,1cos 4πt, помещена квадратная рамка со стороной a = 10см. Нормаль к поверхности ограниченной рамкой совпадает с направлением приращения вектора B. Определить ЭДС индукции для t = 0,25c.
2) 12,6 * 10-2B
3) 0
4) 1,26*10-2B
- 4.8. Проводник в форме кольца помещен в однородное магнитное поле, модуль вектора индукции которого уменьшается с течением времени. Определить направление индукционного тока в контуре.
2) Для однозначного ответа недостаточно данных.
3) Индукционный ток в кольце не возникает.
4) Индукционный ток течет против часовой стрелки.
- 4.9. От каких физических характеристик контура зависит его индуктивность?
2) Индуктивность контура зависит от материала, из которого изготовлен контур.
3) Индуктивность контура зависит от формы и размеров контура, магнитной проницаемости среды заполняющей контур.
4) Индуктивность контура зависит от скорости изменения магнитного потока сквозь поверхность, ограниченную контуром.
- 4.10. Сила тока в замкнутом проводящем контуре изменяется с течением времени t по закону I = a - ct, где a = const, c = const. На каком рисунке изображена зависимость от времени ЭДС самоиндукции, возникающей в контуре?




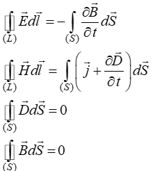
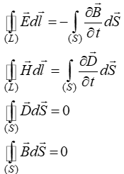
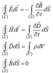
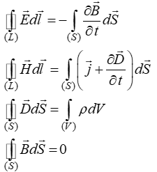
- 4.11. Какое электромагнитное поле описывает приведенная система уравнений Максвелла?
2) Система уравнений описывает переменное электромагнитное поле при наличии заряженных тел и токов проводимости.
3) Система уравнений описывает стационарные электрическое и магнитное поля.
4) Система уравнений описывает стационарное электромагнитное поле в отсутствие токов проводимости.
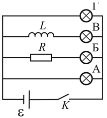
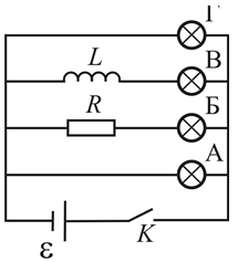
- 4.12. Какая лампочка цепи загорится позже других после замыкания ключа К?
2) В
3) Б
4) А
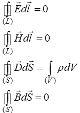
- 4.13. Система уравнений Максвелла для электромагнитного поля имеет вид:
1) Система описывает переменное электромагнитное поле при наличии заряженных тел и токов проводимости.
2) Система описывает переменное электромагнитное поле в отсутствие заряженных тел и токов проводимости.
3) Система описывает переменное электромагнитное поле в отсутствие заряженных тел.
4) Система описывает переменное электромагнитное поле в отсутствие токов проводимости.
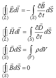
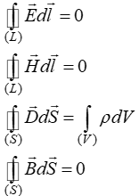
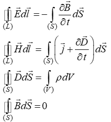
- 4.14. Какое электромагнитное поле описывает приведенная система уравнений Максвелла?
2) Система описывает переменное электромагнитное поле в отсутствие заряженных тел.
3) Система описывает переменное электромагнитное поле при наличии заряженных тел и токов проводимости.
4) Система описывает переменное электромагнитное поле в отсутствие заряженных тел и токов проводимости.
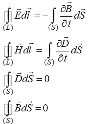
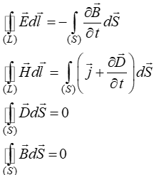
- 4.15. Какое электромагнитное поле описывает приведенная система уравнений Максвелла?
2) Система описывает переменное электромагнитное поле в отсутствие заряженных тел и токов проводимости.
3) Система описывает переменное электромагнитное поле при наличии заряженных тел и токов проводимости.
4) Система описывает переменное электромагнитное поле в отсутствие токов проводимости.
- 4.16. Какое электромагнитное поле описывает приведенная система уравнений Максвелла?
2) Система описывает переменное электромагнитное поле при наличии заряженных тел и токов проводимости.
3) Система описывает переменное электромагнитное поле в отсутствие заряженных тел.
4) Система описывает переменное электромагнитное поле в отсутствие токов проводимости.
- 4.17. Какое электромагнитное поле описывает приведенная система уравнений Максвелла?
2) Система описывает переменное электромагнитное поле при наличии заряженных тел и токов проводимости.
3) Система описывает переменное электромагнитное поле в отсутствии заряженных тел и токов проводимости.
4) Система описывает переменное электромагнитное поле в отсутствии заряженных тел.
- 4.18. Какое электромагнитное поле описывает приведенная система уравнений Максвелла?
2) Система описывает стационарное электромагнитное поле в отсутствие заряженных тел.
3) Система описывает стационарное магнитное поле в вакууме.
4) Система описывает стационарные электрическое и магнитное поля.
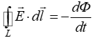
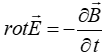
- 4.19. Какое уравнение Максвелла соответствует утверждению: «В любой точке пространства переменное магнитное поле возбуждает вихревое электрическое поле»?




- 4.20. Какие из приведенных утверждений справедливы для постоянного электрического поля?
2) Электростатическое поле действует как на неподвижные, так и на движущиеся заряды.
3) Поток вектора напряженности электростатического поля сквозь произвольную замкнутую поверхность всегда равен нулю.
- 4.21. Какие из приведенных утверждений верны для постоянного электрического поля?
2) Циркуляция вектора напряженности электростатического поля вдоль произвольного замкнутого контура равна нулю.
3) Силовые линии электростатического поля являются замкнутыми.
- 4.22. Какие из приведенных утверждений верны для постоянного магнитного поля?
2) Магнитное поле не совершает работы над движущимися электрическими зарядами.
3) Постоянное магнитное поле является потенциальным.
- 4.23. Какие из приведенных утверждений верны для постоянного магнитного поля?
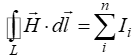
2) Циркуляция вектора напряженности магнитного поля вдоль произвольного замкнутого контура равна алгебраической сумме токов, охватываемых этим контуром.
3) Силовые линии магнитного поля разомкнуты.
- 4.24. Какие из приведенных утверждений верны для постоянного магнитного поля?
2) Магнитное поле является вихревым.
3) Поток вектора магнитной индукции сквозь произвольную замкнутую поверхность отличен от нуля.
- 4.25. В постоянном однородном магнитном поле, созданном электромагнитом с дискообразными полюсами, на некотором расстоянии от оси полюсов закреплена положительно заряженная частица. Частица выстреливается так, что вектор ее скорости перпендикулярен силовым линиям магнитного поля и направлен по касательной к окружности, плоскость которой перпендикулярна вектору B, а центр лежит на оси полюсов. Скорость частицы такова, что она движется именно по этой окружности. В некоторый момент ток в обмотках электромагнита начинает увеличиваться. На каком рисунке приведено правильное сочетание направлений векторов скорости и ускорения частицы?




- 4.26. Какое из уравнений Максвелла описывает отсутствие в природе магнитных зарядов?




- 4.27. Контур площадью S = 10-2 м2 расположен перпендикулярно к линиям магнитной индукции. Модуль магнитной индукции с течением времени B = (2 + 5t2)10-4. Какой из приведенных законов описывает ЭДС индукции, возникающей в контуре?
2) εi= 10-3t
3) εi= (2+5t2)10-4
- 4.28. Заряженная частица, вектор скорости которой перпендикулярен силовым линиям однородного магнитного поля, движется по установившейся траектории. В некоторый момент индукцию поля начинают увеличивать. Как с течением времени изменяется модуль скорости частицы?
2) Модуль скорости частицы уменьшается независимо от знака заряда.
3) Модуль скорости частицы увеличивается или уменьшается в зависимости от знака заряда.
4) Модуль скорости частицы остается неизменным независимо от знака заряда.
- 4.29. Сила тока, протекающего в соленоиде индуктивностью L=100 мГн, изменяется, с течением времени, по закону I - 5sin100t. Какая формула описывает изменения магнитного потока соленоида?
2) Ф = 50cos100t
3) Ф = 0,5sin100t
4) Ф = -0,5cos100t
Список вопросов
4.15. Какое электромагнитное поле описывает приведенная система уравнений Максвелла?
![]()

4.29. Сила тока, протекающего в соленоиде индуктивностью L=100 мГн, изменяется, с течением времени, по закону I - 5sin100t. Какая формула описывает изменения магнитного потока соленоида?
4.28. Заряженная частица, вектор скорости которой перпендикулярен силовым линиям однородного магнитного поля, движется по установившейся траектории. В некоторый момент индукцию поля начинают увеличивать. Как с течением времени изменяется модуль скорости частицы?
4.27. Контур площадью S = 10-2 м2 расположен перпендикулярно к линиям магнитной индукции. Модуль магнитной индукции с течением времени B = (2 + 5t2)10-4. Какой из приведенных законов описывает ЭДС индукции, возникающей в контуре?
4.26. Какое из уравнений Максвелла описывает отсутствие в природе магнитных зарядов?
4.25. В постоянном однородном магнитном поле, созданном электромагнитом с дискообразными полюсами, на некотором расстоянии от оси полюсов закреплена положительно заряженная частица. Частица выстреливается так, что вектор ее скорости перпендикулярен силовым линиям магнитного поля и направлен по касательной к окружности, плоскость которой перпендикулярна вектору B, а центр лежит на оси полюсов. Скорость частицы такова, что она движется именно по этой окружности. В некоторый момент ток в обмотках электромагнита начинает увеличиваться. На каком рисунке приведено правильное сочетание направлений векторов скорости и ускорения частицы?
![]()

4.24. Какие из приведенных утверждений верны для постоянного магнитного поля?
4.23. Какие из приведенных утверждений верны для постоянного магнитного поля?
4.22. Какие из приведенных утверждений верны для постоянного магнитного поля?
4.21. Какие из приведенных утверждений верны для постоянного электрического поля?
4.20. Какие из приведенных утверждений справедливы для постоянного электрического поля?
4.19. Какое уравнение Максвелла соответствует утверждению: «В любой точке пространства переменное магнитное поле возбуждает вихревое электрическое поле»?
4.18. Какое электромагнитное поле описывает приведенная система уравнений Максвелла?
![]()

4.17. Какое электромагнитное поле описывает приведенная система уравнений Максвелла?
![]()

4.16. Какое электромагнитное поле описывает приведенная система уравнений Максвелла?
![]()

4.1. На рисунке представлена зависимость магнитного потока, пронизывающего некоторый замкнутый контур, от времени. На каком интервале времени ЭДС индукции в контуре по модулю максимальна?
![]()

4.14. Какое электромагнитное поле описывает приведенная система уравнений Максвелла?
![]()

4.13. Система уравнений Максвелла для электромагнитного поля имеет вид:
Какое переменное электромагнитное поле описывает эта система?

Какое переменное электромагнитное поле описывает эта система?
4.12. Какая лампочка цепи загорится позже других после замыкания ключа К?
![]()

4.11. Какое электромагнитное поле описывает приведенная система уравнений Максвелла?
![]()

4.10. Сила тока в замкнутом проводящем контуре изменяется с течением времени t по закону I = a - ct, где a = const, c = const. На каком рисунке изображена зависимость от времени ЭДС самоиндукции, возникающей в контуре?
4.9. От каких физических характеристик контура зависит его индуктивность?
4.8. Проводник в форме кольца помещен в однородное магнитное поле, модуль вектора индукции которого уменьшается с течением времени. Определить направление индукционного тока в контуре.
![]()

4.7. В магнитное поле, модуль вектора индукции которого изменяется по закону B = 0,1cos 4πt, помещена квадратная рамка со стороной a = 10см. Нормаль к поверхности ограниченной рамкой совпадает с направлением приращения вектора B. Определить ЭДС индукции для t = 0,25c.
4.6. В магнитное поле, модуль вектора индукции которого изменяется по закону B = 0,1cos 4πt, помещена квадратная рамка со стороной a = 10 см. Нормаль к поверхности ограниченной рамкой совпадает с направлением приращения вектора B. По какому закону с течением времени изменяется ЭДС индукции?
4.5. На рисунке показан длинный проводник с током и небольшая проводящая рамка. Определить направление индукционного тока при выключении тока рамке.
![]()

4.4. На рисунке показан длинный проводник с током и проводящая рамка. Определить направление индукционного тока при движении рамки параллельно проводнику.
![]()

4.3. На рисунке показан длинный проводник с током и проводящая рамка. Определить направление индукционного тока при движении рамки к проводнику.
![]()

4.2. На рисунке представлена зависимость магнитного потока, пронизывающего некоторый замкнутый контур, от времени. На каком интервале времени ЭДС индукции в контуре отрицательна и по величине максимальна?
![]()

Характеристики ответов (шпаргалок) к КР
Тип
Коллекция: Ответы (шпаргалки) к контрольной работе
Предмет
Учебное заведение
Семестр
Номер задания
Просмотров
3
Качество
Идеальное компьютерное
Количество вопросов

🎓Помощь студентам Ивановских ВУЗов🎓 ❤️ Каждая приобретенная работа служит стимулом для добавления новых материалов и упрощает учебный процесс.