Ответ на вопрос по физике №950263: 4.19. Какое уравнение Максвелла соответствует утверждению: «В любой точке пространства переменное магнитное поле возбуждает вихревое электрическое поле»? 1) 2) 3) 4) 4.19. Какое уравнение Максвелла соответствует утверждению: - Ответ на вопрос по физике №9502634.19. Какое уравнение Максвелла соответствует утверждению: - Ответ на вопрос по физике №950263
2025-08-272025-08-27СтудИзба
4.19. Какое уравнение Максвелла соответствует утверждению: - Ответ на вопрос по физике №950263
Вопрос
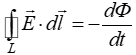
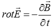
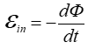
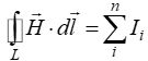
4.19. Какое уравнение Максвелла соответствует утверждению: «В любой точке пространства переменное магнитное поле возбуждает вихревое электрическое поле»?- 1)
![]()
- 2)
![]()
- 3)
![]()
- 4)
![]()
Ответ
Этот вопрос в коллекциях

🎓Помощь студентам Ивановских ВУЗов🎓 ❤️ Каждая приобретенная работа служит стимулом для добавления новых материалов и упрощает учебный процесс.






















