Для студентов ИГЭУ им. Ленина по предмету ФизикаЭлектростатикаЭлектростатика
5,00575
2025-08-262025-08-26СтудИзба
Ответы к контрольной работе 1: Электростатика
Описание
Электростатика
- 1.1. Как изменится напряженность электрического поля точечного заряда при увеличении расстояния от заряда до точки поля в 4 раза?
2) Уменьшится в 2 раза
3) Уменьшится в 4 раза
4) Уменьшится в 16 раз
5) Увеличится в 16 раз
- 1.2. В вершинах равностороннего треугольника находятся равные по модулю точечные заряды. Определить направление вектора напряженности электростатического поля в центре треугольника.
2) в
3) а
4) б
- 1.3. В вершинах равностороннего треугольника находятся равные по модулю точечные заряды. Определить направление векторов силы, действующей на верхний заряд, и напряженности поля в месте нахождения этого заряда.
2) Сила – вектор 3, напряженность 1
3) Сила – вектор 1, напряженность 3
4) Сила – вектор 4, напряженность 2
5) Сила – вектор 3, напряженность 3
- 1.4. На рисунке показано направление вектора напряженности электрического поля точечных зарядов q1 и q2 в точке A. Определить знак зарядов q1 и q2.
2) q1 < 0, q2 < 0
3) q1 < 0, q2 > 0
4) q1 > 0, q2 > 0
- 1.5. В электрическом поле плоского конденсатора перемещается точечный заряд – q в направлении, указанном стрелкой. Какую работу совершают силы электрического поля при перемещении заряда?
2) A > 0
3) A = 0
- 1.6. Заряженную частицу перемещают в электростатическом поле точечного заряда q из точки M в точку B или C. Сравнить работу сил электрического поля на участках МВ и МС.
2) AMB = AMC = 0
3) AMB < AMC
4) AMB > AMC
- 1.7. В электрическом поле плоского конденсатора перемещается точечный заряд +q в направлении, указанном стрелкой. Какую работу совершают силы поля при перемещении заряда?
2) A < 0
3) A > 0
- 1.8. Электрическое поле создано точечным зарядом +q. Укажите направление вектора градиента потенциала поля в точке A.
2) A - 2
3) A - 3
4) A - 1
- 1.9. Электрическое поле создано отрицательным точечным зарядом. Укажите направление вектора градиента потенциала поля в точке A.
2) A - 3
3) A - 1
4) A - 4
- 1.10. Электрическое поле создано бесконечной равномерно заряженной плоскостью. Укажите направление вектора градиента потенциала поля в точке A.
2) A - 3
3) A - 2
4) A - 4
- 1.11. Электрическое поле создано бесконечной равномерно заряженной плоскостью. Укажите направление вектора градиента потенциала поля в точке A.
2) A - 1
3) A - 4
4) A - 3
- 1.12. Электрическое поле создано двумя бесконечными параллельными заряженными плоскостями. На рисунке показана качественная зависимость проекции напряженности поля Ex от координаты x вне пластин и между пластинами. Какой рисунок правильно отражает характер изменения потенциала φ этого поля?




- 1.13. Электрическое поле создано равномерно заряженной сферой. Укажите направление вектора градиента потенциала поля в точке A.
2) A - 2
3) A - 3
4) A - 1
- 1.14. Электрическое поле создано равномерно заряженной сферой. Укажите направление вектора градиента потенциала поля в точке A.
2) A - 3
3) A - 1
4) A - 4
- 1.15. Электрическое поле создано двумя бесконечными параллельными заряженными плоскостями. На рисунке дана зависимость изменения потенциала φ этого поля от координаты x вне пластин и между пластинами. Какой рисунок правильно отражает зависимость проекции напряженности поля Ex?



- 1.16. На рисунке показаны эквипотенциальные линии электрического поля системы зарядов и значения потенциала на них. Определить направление вектора напряженности электрического поля в точке А.
2) 2
3) 3
4) 4
- 1.17. Какое утверждение не выполняется при равновесии зарядов в проводнике?
2) Модуль напряженности электрического поля внутри проводника равен нулю
3) Все избыточные заряды расположены по поверхности проводника, внутри проводника избыточных зарядов нет.
4) Объем проводника является эквипотенциальным
5) Вектор напряженности поля у поверхности проводника направлена перпендикулярно поверхности.
- 1.18. Конденсатор с диэлектриком (ε=4) заряжен и отключен от источника. Энергия электрического поля конденсатора равна w. Определить энергию электрического поля конденсатора после удаления диэлектрика.
2) w/4
3) 2w
4) w
5) w/2
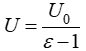
- 1.19. Конденсатор с диэлектриком зарядили до разности потенциалов U0 и отсоединили от источника тока. Определить разность потенциалов между обкладками конденсатора после удаления диэлектрика.




- 1.20. Точечный заряд q+ находится в центре сферы. Как изменится поток вектора напряженности электростатического поля NE через поверхность сферы, если добавить заряд +q за пределами сферы?
2) ΔNE < 0
3) ΔNE > 0
4) Нет верного ответа.
- 1.21. Точечный заряд +q находится в центре сферы. Как изменится поток вектора напряженности электростатического поля NE через поверхность сферы, если добавить заряд -q внутрь сферы?
2) ΔNE > 0
3) ΔNE = 0
- 1.22. Какие процессы происходят в металлическом проводнике при внесении его в электрическое поле?
2) Возникнет пьезоэлектрический эффект.
3) Возникнут индуцированные заряды, которые распределятся по внешней поверхности проводника, а напряженность электрического поля внутри проводника E=0.
4) У молекул вещества возникнут индуцированные дипольные моменты, ориентированные вдоль силовых линий электрического поля.
5) Диполи молекул вещества будут ориентироваться в направлении силовых линий электрического поля.
- 1.23. Точечный заряд +q находится в центре сферы. Как изменится поток вектора напряженности электростатического поля NE через поверхность сферы, если заряд сместить из центра сферы?
2) ΔNE > 0
3) ΔNE < 0
- 1.24. Точечный заряд +q находится в центре сферы. Как изменится поток вектора напряженности электростатического поля NE через поверхность сферы, если внутрь сферы добавить заряд +q?
2) ΔNE < 0
3) ΔNE = 0
- 1.25. Точечный заряд +q находится в центре сферы. Как изменится поток вектора напряженности электростатического поля NE через поверхность сферы, если увеличить радиус сферы?
2) ΔNE > 0
3) ΔNE < 0
- 1.26. Точечный заряд +q находится в центре сферы. Как изменится поток вектора напряженности электростатического поля NE через поверхность сферы, если уменьшить радиус сферы?
2) ΔNE > 0
3) ΔNE < 0
- 1.27. Дана система точечных зарядов и замкнутые поверхности S1, S2, S3. Через какие поверхности поток вектора напряженности электрического поля не равен нулю?
2) S3
3) S1
- 1.28. На протон, который находится на расстоянии r от положительно заряженной нити, действует сила F. Определить силу, с которой поле нити действует на частицу, если расстояние уменьшить в два раза.
2) 4 F
3) 2 F
4) 0,25 F
5) F
- 1.29. Электрическое поле создано отрицательно заряженной непроводящей плоскостью. Какой вектор совпадает по направлению с вектором напряженности электрического поля?
2) 3
3) 4
4) 5 (параллельно плоскости)
5) 1
- 1.30. Сила взаимодействия двух отрицательных точечных зарядов, находящихся на расстоянии R друг от друга, равна F. Заряд одной из частиц уменьшили в 2 раза. Как надо изменить расстояние между зарядами, чтобы модуль сил взаимодействия зарядов не изменился?
2) Уменьшить в √2
3) Увеличить в 2 раза
4) Уменьшить в 2 раза
5) Увеличить в √2
- 1.31. В электрическом поле плоского конденсатора перемещается точечный заряд +q в направлении, указанном стрелкой. Какую работу совершает электрическое поле при перемещении частицы?
2) A < 0
3) A > 0
- 1.32. Какие из приведенных утверждений верны для постоянного электрического поля?
2) Электрическое поле является вихревым
3) Силовые линии поля разомкнуты
- 1.33. Электрическое поле создано двумя бесконечными параллельными заряженными плоскостями. На каком рисунке показана зависимость проекции напряженности поля Ex от координаты x вне пластин и между пластинами?




- 1.34. Электростатическое поле на плоскости изображено системой эквипотенциальных линий. Какой из векторов, построенных в точке А, совпадает по направлению с вектором напряженности электрического поля?
2) 1
3) 2
4) 4
- 1.35. Расстояние между заряженными частицами уменьшили в два раза. Как необходимо изменить заряды частиц чтобы сила их взаимодействия не изменилась?
2) Один из зарядов увеличить по модулю в два раза
3) Каждый заряд увеличить по модулю в два раза
4) Каждый заряд уменьшить по модулю в два раза
- 1.36. Два точечных заряда q и 2q на расстоянии r друг от друга взаимодействуют с силой F. С какой силой будут взаимодействовать эти заряды на расстоянии 2r?
2) F/2
3) 2F
4) 4F
5) F/8
- 1.37. Электрическое поле создано двумя одинаковыми по величине и противоположными по знаку точечными зарядами. Расстояние между зарядами и от заряда q1 до точки С равны. Какой из векторов, построенных в точке С, совпадает по направлению с вектором напряженности электрического поля?
2) 1
3) 2
4) 3
- 1.38. На каком участке оси ОХ проходящей через точечные заряды +q и –2q находится точка, в которой напряженность электрического поля равна нулю?
2) 4
3) 3
4) 2
- 1.39. На каком рисунке верно изображена зависимость модуля вектора напряженности электрического поля равномерно заряженной сферы радиуса R, от расстояния от ее центра до заданной точки поля?




- 1.40. В вершинах А и С квадрата находятся равные по величине, но разные по знаку точечные заряды. Какой из векторов, построенных в вершине D, совпадает по направлению с вектором напряженности электрического поля?
2) 4
3) 1
4) 3
Список вопросов
1.31. В электрическом поле плоского конденсатора перемещается точечный заряд +q в направлении, указанном стрелкой. Какую работу совершает электрическое поле при перемещении частицы?
![]()

1.22. Какие процессы происходят в металлическом проводнике при внесении его в электрическое поле?
1.23. Точечный заряд +q находится в центре сферы. Как изменится поток вектора напряженности электростатического поля NE через поверхность сферы, если заряд сместить из центра сферы?
1.24. Точечный заряд +q находится в центре сферы. Как изменится поток вектора напряженности электростатического поля NE через поверхность сферы, если внутрь сферы добавить заряд +q?
1.25. Точечный заряд +q находится в центре сферы. Как изменится поток вектора напряженности электростатического поля NE через поверхность сферы, если увеличить радиус сферы?
1.26. Точечный заряд +q находится в центре сферы. Как изменится поток вектора напряженности электростатического поля NE через поверхность сферы, если уменьшить радиус сферы?
1.27. Дана система точечных зарядов и замкнутые поверхности S1, S2, S3. Через какие поверхности поток вектора напряженности электрического поля не равен нулю?
![]()

1.28. На протон, который находится на расстоянии r от положительно заряженной нити, действует сила F. Определить силу, с которой поле нити действует на частицу, если расстояние уменьшить в два раза.
1.29. Электрическое поле создано отрицательно заряженной непроводящей плоскостью. Какой вектор совпадает по направлению с вектором напряженности электрического поля?
![]()

1.30. Сила взаимодействия двух отрицательных точечных зарядов, находящихся на расстоянии R друг от друга, равна F. Заряд одной из частиц уменьшили в 2 раза. Как надо изменить расстояние между зарядами, чтобы модуль сил взаимодействия зарядов не изменился?
1.21. Точечный заряд +q находится в центре сферы. Как изменится поток вектора напряженности электростатического поля NE через поверхность сферы, если добавить заряд -q внутрь сферы?
1.32. Какие из приведенных утверждений верны для постоянного электрического поля?
1.33. Электрическое поле создано двумя бесконечными параллельными заряженными плоскостями. На каком рисунке показана зависимость проекции напряженности поля Ex от координаты x вне пластин и между пластинами?
![]()

1.34. Электростатическое поле на плоскости изображено системой эквипотенциальных линий. Какой из векторов, построенных в точке А, совпадает по направлению с вектором напряженности электрического поля?
![]()

1.35. Расстояние между заряженными частицами уменьшили в два раза. Как необходимо изменить заряды частиц чтобы сила их взаимодействия не изменилась?
1.36. Два точечных заряда q и 2q на расстоянии r друг от друга взаимодействуют с силой F. С какой силой будут взаимодействовать эти заряды на расстоянии 2r?
1.37. Электрическое поле создано двумя одинаковыми по величине и противоположными по знаку точечными зарядами. Расстояние между зарядами и от заряда q1 до точки С равны. Какой из векторов, построенных в точке С, совпадает по направлению с вектором напряженности электрического поля?
1.38. На каком участке оси ОХ проходящей через точечные заряды +q и –2q находится точка, в которой напряженность электрического поля равна нулю?
![]()

1.39. На каком рисунке верно изображена зависимость модуля вектора напряженности электрического поля равномерно заряженной сферы радиуса R, от расстояния от ее центра до заданной точки поля?
1.40. В вершинах А и С квадрата находятся равные по величине, но разные по знаку точечные заряды. Какой из векторов, построенных в вершине D, совпадает по направлению с вектором напряженности электрического поля?
![]()

1.11. Электрическое поле создано бесконечной равномерно заряженной плоскостью. Укажите направление вектора градиента потенциала поля в точке A.
![]()

1.2. В вершинах равностороннего треугольника находятся равные по модулю точечные заряды. Определить направление вектора напряженности электростатического поля в центре треугольника.
![]()

1.3. В вершинах равностороннего треугольника находятся равные по модулю точечные заряды. Определить направление векторов силы, действующей на верхний заряд, и напряженности поля в месте нахождения этого заряда.
![]()

1.4. На рисунке показано направление вектора напряженности электрического поля точечных зарядов q1 и q2 в точке A. Определить знак зарядов q1 и q2.
![]()

1.5. В электрическом поле плоского конденсатора перемещается точечный заряд – q в направлении, указанном стрелкой. Какую работу совершают силы электрического поля при перемещении заряда?
![]()

1.6. Заряженную частицу перемещают в электростатическом поле точечного заряда q из точки M в точку B или C. Сравнить работу сил электрического поля на участках МВ и МС.
![]()

1.7. В электрическом поле плоского конденсатора перемещается точечный заряд +q в направлении, указанном стрелкой. Какую работу совершают силы поля при перемещении заряда?
![]()

1.8. Электрическое поле создано точечным зарядом +q. Укажите направление вектора градиента потенциала поля в точке A.
![]()

1.9. Электрическое поле создано отрицательным точечным зарядом. Укажите направление вектора градиента потенциала поля в точке A. ![]()

1.10. Электрическое поле создано бесконечной равномерно заряженной плоскостью. Укажите направление вектора градиента потенциала поля в точке A.
![]()

1.1. Как изменится напряженность электрического поля точечного заряда при увеличении расстояния от заряда до точки поля в 4 раза?
1.12. Электрическое поле создано двумя бесконечными параллельными заряженными плоскостями. На рисунке показана качественная зависимость проекции напряженности поля Ex от координаты x вне пластин и между пластинами. Какой рисунок правильно отражает характер изменения потенциала φ этого поля?
![]()

1.13. Электрическое поле создано равномерно заряженной сферой. Укажите направление вектора градиента потенциала поля в точке A. ![]()

1.14. Электрическое поле создано равномерно заряженной сферой. Укажите направление вектора градиента потенциала поля в точке A. ![]()

1.15. Электрическое поле создано двумя бесконечными параллельными заряженными плоскостями. На рисунке дана зависимость изменения потенциала φ этого поля от координаты x вне пластин и между пластинами. Какой рисунок правильно отражает зависимость проекции напряженности поля Ex?
![]()

1.16. На рисунке показаны эквипотенциальные линии электрического поля системы зарядов и значения потенциала на них. Определить направление вектора напряженности электрического поля в точке А.
![]()

1.17. Какое утверждение не выполняется при равновесии зарядов в проводнике?
1.18. Конденсатор с диэлектриком (ε=4) заряжен и отключен от источника. Энергия электрического поля конденсатора равна w. Определить энергию электрического поля конденсатора после удаления диэлектрика.
1.19. Конденсатор с диэлектриком зарядили до разности потенциалов U0 и отсоединили от источника тока. Определить разность потенциалов между обкладками конденсатора после удаления диэлектрика.
1.20. Точечный заряд q+ находится в центре сферы. Как изменится поток вектора напряженности электростатического поля NE через поверхность сферы, если добавить заряд +q за пределами сферы?
Характеристики ответов (шпаргалок) к КР
Тип
Коллекция: Ответы (шпаргалки) к контрольной работе
Предмет
Учебное заведение
Семестр
Номер задания
Просмотров
2
Качество
Идеальное компьютерное
Количество вопросов

🎓Помощь студентам Ивановских ВУЗов🎓 ❤️ Каждая приобретенная работа служит стимулом для добавления новых материалов и упрощает учебный процесс.