Для студентов ИГЭУ им. Ленина по предмету ФизикаМагнитостатикаМагнитостатика
5,00572
2025-08-262025-08-26СтудИзба
Ответы к контрольной работе 3: Магнитостатика
Описание
Магнитостатика
- 3.1. Отрицательно заряженная частица движется перпендикулярно силовым линиям магнитного поля. Определить направление силы F действующей на частицу.
2) Вектор F направлен вправо.
3) Вектор F направлен к нам.
4) Вектор F направлен вниз.
5) Вектор F направлен вверх.
6) Вектор F направлен влево.
- 3.2. В однородном магнитном поле электрон движется по окружности, которая расположена в плоскости рисунка. Определить направление вектора магнитной индукции магнитного поля B.
2) Вектор B направлен от нас.
3) Вектор B направлен влево.
4) Вектор B направлен вправо.
- 3.3. Отрицательно заряженная частица движется так, как показано на рисунке. Определить направление вектора индукции магнитного поля B в точке С.
2) Вектор B направлен на нас.
3) Вектор B направлен снизу вверх.
4) Вектор B направлен слева направо.
5) Вектор B направлен от нас.
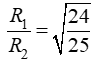
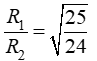
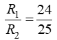
- 3.4. Пучок однократно ионизированных изотопов магния 24Mg и 25Mg, имеющих одинаковую кинетическую энергию, влетает в однородное магнитное поле перпендикулярно линиям магнитной индукции. Вычислить отношение радиусов окружностей, по которым движутся ионы.




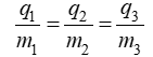
- 3.5. Два точечных заряда q1 и q2 движутся навстречу друг другу. Определить направление вектора магнитной составляющей силы F, действующей на второй заряд со стороны первого заряда.
2) 2
3) 4
4) 3
5) 1
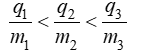
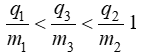
- 3.6. Два точечных заряда q1 и q2 движутся параллельно друг другу на расстоянии r. Определить направление вектора магнитной составляющей силы F, действующей на второй заряд со стороны первого заряда.
2) 3
3) 4
4) F = 0
5) 1
- 3.7. Определить направление силы, действующей на проводник с током в магнитном поле постоянного магнита.
2) г
3) б
4) а
- 3.8. На рисунке изображены сечения трех проводников и указаны направления текущих по ним одинаковых по величине токов. Проводники А и В закреплены, проводник С может перемещаться. Указать направление возможного движения проводника С.
2) 3
3) 1
4) 6
5) 8
6) 7
7) 4
8) 5
- 3.9. На рисунке изображены сечения двух параллельных прямолинейных длинных проводников с противоположно направленными токами, J1 = 3J2. На каком участке прямой, проходящей через проводники, индукция результирующего магнитного поля равна нулю?
2) a
3) b
4) c
- 3.10. На рисунке изображены сечения двух параллельных прямолинейных длинных проводников с одинаково направленными токами, J1 = 2J2. На каком участке прямой, проходящей через проводники, индукция магнитного поля равна нулю?
2) a
3) b
4) d
- 3.11. На рисунке изображены сечения двух параллельных прямолинейных длинных проводников с одинаково направленными токами, J1 = 2J2. На каком участке прямой, проходящей через проводники, индукция магнитного поля равна нулю?
2) a
3) b
4) d
- 3.12. На рисунке изображены сечения двух параллельных прямолинейных длинных проводников с противоположно направленными токами, J2 = 3J2. На каком участке прямой, проходящей через проводники, индукция магнитного поля равна нулю?
2) b
3) c
4) d
- 3.13. На рисунке изображены сечения двух параллельных прямолинейных длинных проводников с одинаково направленными токами, J2 = 2J1. На каком участке прямой, проходящей через проводники, индукция магнитного поля равна нулю?
2) a
3) c
4) d
- 3.14. На рисунке изображены сечения двух параллельных прямолинейных длинных проводников с противоположно направленными токами J2 = 3J1. На каком участке прямой, проходящей через проводники, индукция магнитного поля равна нулю?
2) d
3) b
4) c
- 3.15. Проводник массой m, по которому течет электрический ток, расположен в однородном магнитном поле. При какой комбинации направления вектора магнитной индукции и направления тока в проводнике, сила натяжения нитей равна нулю?
2) Ток течет в направлении M–L; вектор B направлен к нам.
3) Ток течет в направлении L–М; вектор B направлен вниз.
4) Ток течет в направлении L–М; вектор B направлен от нас.
- 3.16. Рамка с током находится в однородном магнитном поле. Магнитный момент рамки Pm направлен так, как показано на рисунке. Определить направление вектора момента сил M, действующего на рамку с током.
2) Вектор M совпадает по направлению с вектором магнитной индукции.
3) Вектор M направлен к нам.
4) Вектор M направлен от нас
- 3.17. Два точечных заряда q1 и q2 движутся параллельно друг другу на расстоянии r. Определить направление вектора магнитной составляющей силы, действующей на второй заряд со стороны первого заряда.
2) 3
3) 4
4) F = 0
5) 1
- 3.18. Магнитное поле создано двумя параллельными длинными проводниками с токами J1 = 2J2, расположенными перпендикулярно плоскости рисунка. Определить направление вектора индукции магнитного поля B в точке А.
2) Вектор направлен влево.
3) Вектор направлен вниз.
4) Вектор направлен вправо.
- 3.19. Ионы, имеющие одинаковые скорости, но разные удельные заряды, влетают в однородное магнитное поле. Их траектории приведены на рисунке. Какой траектории движения соответствует наименьший удельный заряд частицы?
2) 2
3) 3
4) 1
- 3.20. Магнитное поле создано двумя параллельными длинными проводниками с токами J1 = 2J2, расположенными перпендикулярно плоскости рисунка. Определить направление вектора индукции B магнитного поля в точке А.
2) Вектор направлен влево.
3) Вектор направлен вниз.
4) Вектор направлен вправо.
- 3.21. Ионы, имеющие одинаковые скорости, но разные удельные заряды, влетают в однородное магнитное поле. Их траектории приведены на рисунке. Какой траектории движения ионов соответствует наибольший удельный заряд?
2) 2
3) 3
4) 1
- 3.22. Магнитное поле создано двумя параллельными длинными проводниками с токами J1 = 2J2, расположенными перпендикулярно плоскости рисунка. Определить направление вектора индукции магнитного поля B в точке А.
2) Вектор направлен влево.
3) Вектор направлен вниз.
4) Вектор направлен вправо.
- 3.23. Ионы, имеющие одинаковые скорости, но разные удельные заряды, влетают в однородное магнитное поле. Их траектории приведены на рисунке. Сравнить удельные заряды частиц.




- 3.24. Рамка с током находится в однородном магнитном поле. Магнитный момент рамки Pm направлен так, как показано на рисунке. Определить направление вектора момента сил M, действующего на рамку с током.
2) Вектор M совпадает по направлению с вектором магнитной индукции.
3) Вектор M направлен к нам.
4) Вектор M направлен от нас.
- 3.25. Рамка с током находится в однородном магнитном поле. Магнитный момент рамки Pm направлен так, как показано на рисунке. Определить направление вектора момента сил M, действующего на рамку с током.
2) Вектор M совпадает по направлению с вектором магнитной индукции.
3) Вектор M направлен к нам.
4) Вектор M направлен от нас.
- 3.26. Магнитный момент контура с током Pm во внешнем магнитном поле направлен так, как показано на рисунках. На каком из рисунков положение контура устойчиво, момент сил равен нулю?




- 3.27. В однородном магнитном поле заряженные частицы, имеющие одинаковые скорости, движутся так, как показано на рисунке. Вдоль какой траектории движется частица с q<0?
2) 2
3) 3 и 4
- 3.28. На рисунке изображены сечения четырех параллельных прямолинейных длинных проводников, расположенных в вершинах квадрата. По проводникам протекают одинаковые по величине токи. Определить направление вектора индукции магнитного поля в точке А.
2) 3
3) 2
4) 1
- 3.29. Проводник с током, помещенный в однородное магнитное поле, вектор индукции B которого перпендикулярен плоскости чертежа от нас. Укажите правильную комбинацию направления тока в проводнике и вектора силы Ампера.
2) Ток течет в направлении L – M, сила Ампера направлена к нам.
3) Ток течет в направлении L – M, сила Ампера направлена вверх.
4) Ток течет в направлении M – L, сила Ампера направлена от нас.
- 3.30. По проводнику, изображенному на рисунке течет ток силой I. Определить направление вектора магнитной индукции B в точке О.
2) Вектор B перпендикулярен плоскости рисунка и направлен к нам.
3) Вектор B расположен в плоскости рисунка и направлен вправо от проводника.
4) Вектор B перпендикулярен плоскости рисунка и направлен от нас.
- 3.31. Отрицательно заряженная частица движется со скоростью V. Определить направление вектора индукции магнитного поля B в точке С.
2) Вектор B в плоскости рисунка и направлен вниз.
3) Вектор B расположен в плоскости рисунка и направлен вверх.
4) Вектор B перпендикулярен плоскости рисунка и направлен на нас.
- 3.32. По проводнику, изображенному на рисунке, течет ток силой I. Определить направление вектора магнитной индукции B в точке О.
2) Вектор B перпендикулярен плоскости рисунка и направлен к нам.
3) Вектор B расположен в плоскости рисунка и направлен вправо от проводника.
4) Вектор B перпендикулярен плоскости рисунка и направлен от нас.
- 3.33. Позитрон движется со скоростью V направленной так, как показано на рисунке. Определить направление вектора индукции магнитного поля B в точке С.
2) Вектор в плоскости рисунка и направлен вниз.
3) Вектор расположен в плоскости рисунка и направлен вверх.
4) Вектор перпендикулярен плоскости рисунка и направлен на нас.
Список вопросов
3.26. Магнитный момент контура с током Pm во внешнем магнитном поле направлен так, как показано на рисунках. На каком из рисунков положение контура устойчиво, момент сил равен нулю?
3.18. Магнитное поле создано двумя параллельными длинными проводниками с токами J1 = 2J2, расположенными перпендикулярно плоскости рисунка. Определить направление вектора индукции магнитного поля B в точке А.
![]()

3.19. Ионы, имеющие одинаковые скорости, но разные удельные заряды, влетают в однородное магнитное поле. Их траектории приведены на рисунке. Какой траектории движения соответствует наименьший удельный заряд частицы?
![]()

3.20. Магнитное поле создано двумя параллельными длинными проводниками с токами J1 = 2J2, расположенными перпендикулярно плоскости рисунка. Определить направление вектора индукции B магнитного поля в точке А.
![]()

3.21. Ионы, имеющие одинаковые скорости, но разные удельные заряды, влетают в однородное магнитное поле. Их траектории приведены на рисунке. Какой траектории движения ионов соответствует наибольший удельный заряд?
![]()

3.22. Магнитное поле создано двумя параллельными длинными проводниками с токами J1 = 2J2, расположенными перпендикулярно плоскости рисунка. Определить направление вектора индукции магнитного поля B в точке А.
![]()

3.23. Ионы, имеющие одинаковые скорости, но разные удельные заряды, влетают в однородное магнитное поле. Их траектории приведены на рисунке. Сравнить удельные заряды частиц.
![]()

3.24. Рамка с током находится в однородном магнитном поле. Магнитный момент рамки Pm направлен так, как показано на рисунке. Определить направление вектора момента сил M, действующего на рамку с током.
![]()

3.25. Рамка с током находится в однородном магнитном поле. Магнитный момент рамки Pm направлен так, как показано на рисунке. Определить направление вектора момента сил M, действующего на рамку с током.
![]()

3.17. Два точечных заряда q1 и q2 движутся параллельно друг другу на расстоянии r. Определить направление вектора магнитной составляющей силы, действующей на второй заряд со стороны первого заряда.
![]()

3.27. В однородном магнитном поле заряженные частицы, имеющие одинаковые скорости, движутся так, как показано на рисунке. Вдоль какой траектории движется частица с q<0?
![]()

3.28. На рисунке изображены сечения четырех параллельных прямолинейных длинных проводников, расположенных в вершинах квадрата. По проводникам протекают одинаковые по величине токи. Определить направление вектора индукции магнитного поля в точке А.
![]()

3.29. Проводник с током, помещенный в однородное магнитное поле, вектор индукции B которого перпендикулярен плоскости чертежа от нас. Укажите правильную комбинацию направления тока в проводнике и вектора силы Ампера.
![]()

3.30. По проводнику, изображенному на рисунке течет ток силой I. Определить направление вектора магнитной индукции B в точке О.
![]()

3.31. Отрицательно заряженная частица движется со скоростью V. Определить направление вектора индукции магнитного поля B в точке С. ![]()

3.32. По проводнику, изображенному на рисунке, течет ток силой I. Определить направление вектора магнитной индукции B в точке О.
![]()

3.33. Позитрон движется со скоростью V направленной так, как показано на рисунке. Определить направление вектора индукции магнитного поля B в точке С.
![]()

3.1. Отрицательно заряженная частица движется перпендикулярно силовым линиям магнитного поля. Определить направление силы F действующей на частицу.
![]()

3.16. Рамка с током находится в однородном магнитном поле. Магнитный момент рамки Pm направлен так, как показано на рисунке. Определить направление вектора момента сил M, действующего на рамку с током.
![]()

3.15. Проводник массой m, по которому течет электрический ток, расположен в однородном магнитном поле. При какой комбинации направления вектора магнитной индукции и направления тока в проводнике, сила натяжения нитей равна нулю?
![]()

3.14. На рисунке изображены сечения двух параллельных прямолинейных длинных проводников с противоположно направленными токами J2 = 3J1. На каком участке прямой, проходящей через проводники, индукция магнитного поля равна нулю?
![]()

3.13. На рисунке изображены сечения двух параллельных прямолинейных длинных проводников с одинаково направленными токами, J2 = 2J1. На каком участке прямой, проходящей через проводники, индукция магнитного поля равна нулю?
![]()

3.12. На рисунке изображены сечения двух параллельных прямолинейных длинных проводников с противоположно направленными токами, J2 = 3J2. На каком участке прямой, проходящей через проводники, индукция магнитного поля равна нулю?
![]()

3.11. На рисунке изображены сечения двух параллельных прямолинейных длинных проводников с одинаково направленными токами, J1 = 2J2. На каком участке прямой, проходящей через проводники, индукция магнитного поля равна нулю?
![]()

3.10. На рисунке изображены сечения двух параллельных прямолинейных длинных проводников с одинаково направленными токами, J1 = 2J2. На каком участке прямой, проходящей через проводники, индукция магнитного поля равна нулю?
![]()

3.9. На рисунке изображены сечения двух параллельных прямолинейных длинных проводников с противоположно направленными токами, J1 = 3J2. На каком участке прямой, проходящей через проводники, индукция результирующего магнитного поля равна нулю?
![]()

3.8. На рисунке изображены сечения трех проводников и указаны направления текущих по ним одинаковых по величине токов. Проводники А и В закреплены, проводник С может перемещаться. Указать направление возможного движения проводника С.
![]()

3.7. Определить направление силы, действующей на проводник с током в магнитном поле постоянного магнита.
![]()

3.6. Два точечных заряда q1 и q2 движутся параллельно друг другу на расстоянии r. Определить направление вектора магнитной составляющей силы F, действующей на второй заряд со стороны первого заряда.
![]()

3.5. Два точечных заряда q1 и q2 движутся навстречу друг другу. Определить направление вектора магнитной составляющей силы F, действующей на второй заряд со стороны первого заряда.
![]()

3.4. Пучок однократно ионизированных изотопов магния 24Mg и 25Mg, имеющих одинаковую кинетическую энергию, влетает в однородное магнитное поле перпендикулярно линиям магнитной индукции. Вычислить отношение радиусов окружностей, по которым движутся ионы.
3.3. Отрицательно заряженная частица движется так, как показано на рисунке. Определить направление вектора индукции магнитного поля B в точке С.
![]()

3.2. В однородном магнитном поле электрон движется по окружности, которая расположена в плоскости рисунка. Определить направление вектора магнитной индукции магнитного поля B.
![]()

Характеристики ответов (шпаргалок) к КР
Тип
Коллекция: Ответы (шпаргалки) к контрольной работе
Предмет
Учебное заведение
Семестр
Номер задания
Просмотров
3
Качество
Идеальное компьютерное
Количество вопросов

🎓Помощь студентам Ивановских ВУЗов🎓 ❤️ Каждая приобретенная работа служит стимулом для добавления новых материалов и упрощает учебный процесс.