Ответ на вопрос по физике №948928: 3.4. Пучок однократно ионизированных изотопов магния 24Mg и 25Mg, имеющих одинаковую кинетическую энергию, влетает в однородное магнитное поле перпендикулярно линиям магнитной индукции. Вычислить отношение радиусов окружностей, по которым движутся ионы. 1) 2) 3) 4) 3.4. Пучок однократно ионизированных изотопов магния 24Mg - Ответ на вопрос по физике №9489283.4. Пучок однократно ионизированных изотопов магния 24Mg - Ответ на вопрос по физике №948928
2025-08-262025-08-26СтудИзба
3.4. Пучок однократно ионизированных изотопов магния 24Mg - Ответ на вопрос по физике №948928
Вопрос
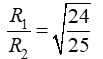
3.4. Пучок однократно ионизированных изотопов магния 24Mg и 25Mg, имеющих одинаковую кинетическую энергию, влетает в однородное магнитное поле перпендикулярно линиям магнитной индукции. Вычислить отношение радиусов окружностей, по которым движутся ионы.- 1)
![]()
- 2)
![]()
- 3)
![]()
- 4)
![]()
Ответ
Этот вопрос в коллекциях
Коллекция: Магнитостатика
240 руб.

🎓Помощь студентам Ивановских ВУЗов🎓 ❤️ Каждая приобретенная работа служит стимулом для добавления новых материалов и упрощает учебный процесс.






















