Для студентов МГУ им. Ломоносова по предмету Дипломы и ВКРЛиувиллева классификация интегрируемого случая Ковалевской-Яхьи задачи о движении твёрдого телаЛиувиллева классификация интегрируемого случая Ковалевской-Яхьи задачи о движении твёрдого тела
4,90547601
2021-09-112024-09-08СтудИзба
ВКР: Лиувиллева классификация интегрируемого случая Ковалевской-Яхьи задачи о движении твёрдого тела
-67%
Описание
Диломная работа
Лиувиллева классификация интегрируемого случая Ковалевской-Яхьи задачи о движении твердого тела
1 Введение
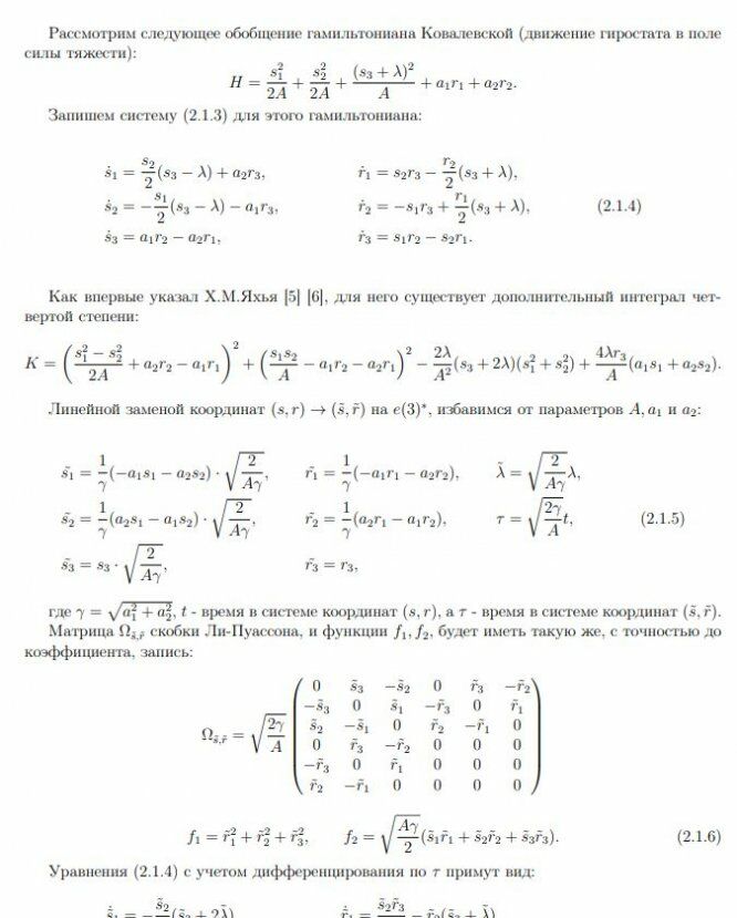
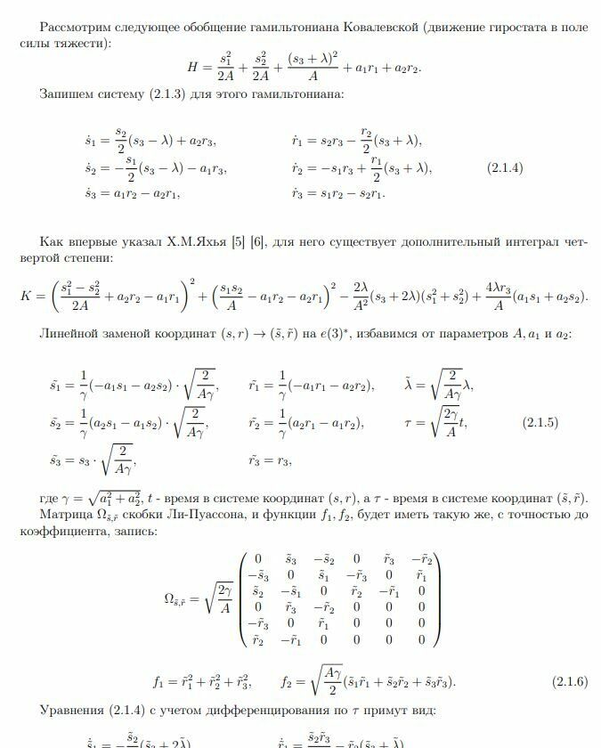
Мы будем рассматривать задачу о движении тяжёлого гиростата с постоянным гиростатическим моментом, в постановке которой важные результаты принадлежат Н.Е.Жуковскому, П.В.Харламову и другим классикам отечественной и мировой механики. В настоящее время по-прежнему не ослабевает интерес к этой проблеме. Прежде всего это связано с современными методами явного интегрирования уравнений, с качественными исследованиями динамических систем, с интегрируемостью по Лиувиллю. Гиростату С.В.Ковалевской посвящено не так много работ. П.В.Харламов предложил рассмотреть гиростат, распределение масс которого подчинено условиям С.В.Ковалевской, а гиростатический момент направлен по оси динамической симметрии. Им указано инвариантное соотношение, позволяющее в эллиптических функциях проинтегрировать этот частный случай. Как показал Х.М.Яхья, интеграл С.В.Ковалевской может быть обобщён на гиростат при условиях, указанных П.В.Харламовым. Мы имеем двухпараметрическое семейство интегрируемых по Лиувиллю систем, первые интегралы которых гладко зависят от параметров (g, λ), где g - постоянная площадей, а λ - гиростатический момент. Для произвольных значений параметров, П.Е.Рябовым в работе [2] было вычислено критическое множество отображения момента и получено дискриминантное множество D, в котором содержатся бифуркационные диаграммы. Также им было найдено множество Θ значений параметров (g, λ), при которых происходят бифуркации множества D. В случае g = 0 полный топологический анализ был проведен в работе [3] , а в случае λ = 0 в работе [4]. Для общего случая, однако, подобной работы проведено не было. В настоящей работе мы попытаемся, отталкиваясь от уже изученных частных случаев и некоторых численных исследований этой системы, получить ответ для общего случая. Идея заключается в том, что, если система удовлетворяет некоторым естественным требованиям: а) образ вырожденных точек ранга 1 содержится в особых точках бифуркационной диаграммы; б) образ точек ранга 0 содержится в особых точках бифуркационной диаграммы; в) образ вырожденных точек ранга 0 содержится в точках бифуркационной диаграммы, получившихся склейкой двух особых точек; то те части бифуркационных кривых, которые изменяются непрерывно при изменении этих параметров, сохраняют тип Лиувиллева слоения в своём прообразе. Для того чтобы использовать это свойство нам понадобится тщательное изучение множества Θ, аккуратное описание диаграмм D и их перестроек, и построение классификации камер, стенок и особых точек этих диаграмм. Результат - классификация семейств торов Лиувилля, перестроек, вырожденных замкнутых траекторий, невырожденных точек положения равновесия, а также полный список круговых молекул особых точек диаграмм. Автор выражают глубокую благодарность своим научным руководителям - академику А. Т. Фоменко, доценту А. А. Ошемкову, кандидату ф/м наук П. Е. Рябову, кандидату ф/м наук П. В. Морозову за постоянное внимание к работе, множество ценных замечаний и консультаций.
2 Постановка задачи
Ковалевской-Яхьи Случай интегрируемости Ковалевской-Яхьи является обобщением классического волчка Ковалевской на случай задачи о движении тяжелого гиростата. Приведем два способа получения уравнений движения этой системы и их первых интегралов. 2.1 Переменные (s, r) Рассмотрим алгебру Ли e(3) группы Ли E(3) движений трехмерного евклидова пространства. На линейном пространстве e(3)∗ определена скобка Ли-Пуассона двух произвольных гладких функций f и g:
![]()
Лиувиллева классификация интегрируемого случая Ковалевской-Яхьи задачи о движении твердого тела
1 Введение
Мы будем рассматривать задачу о движении тяжёлого гиростата с постоянным гиростатическим моментом, в постановке которой важные результаты принадлежат Н.Е.Жуковскому, П.В.Харламову и другим классикам отечественной и мировой механики. В настоящее время по-прежнему не ослабевает интерес к этой проблеме. Прежде всего это связано с современными методами явного интегрирования уравнений, с качественными исследованиями динамических систем, с интегрируемостью по Лиувиллю. Гиростату С.В.Ковалевской посвящено не так много работ. П.В.Харламов предложил рассмотреть гиростат, распределение масс которого подчинено условиям С.В.Ковалевской, а гиростатический момент направлен по оси динамической симметрии. Им указано инвариантное соотношение, позволяющее в эллиптических функциях проинтегрировать этот частный случай. Как показал Х.М.Яхья, интеграл С.В.Ковалевской может быть обобщён на гиростат при условиях, указанных П.В.Харламовым. Мы имеем двухпараметрическое семейство интегрируемых по Лиувиллю систем, первые интегралы которых гладко зависят от параметров (g, λ), где g - постоянная площадей, а λ - гиростатический момент. Для произвольных значений параметров, П.Е.Рябовым в работе [2] было вычислено критическое множество отображения момента и получено дискриминантное множество D, в котором содержатся бифуркационные диаграммы. Также им было найдено множество Θ значений параметров (g, λ), при которых происходят бифуркации множества D. В случае g = 0 полный топологический анализ был проведен в работе [3] , а в случае λ = 0 в работе [4]. Для общего случая, однако, подобной работы проведено не было. В настоящей работе мы попытаемся, отталкиваясь от уже изученных частных случаев и некоторых численных исследований этой системы, получить ответ для общего случая. Идея заключается в том, что, если система удовлетворяет некоторым естественным требованиям: а) образ вырожденных точек ранга 1 содержится в особых точках бифуркационной диаграммы; б) образ точек ранга 0 содержится в особых точках бифуркационной диаграммы; в) образ вырожденных точек ранга 0 содержится в точках бифуркационной диаграммы, получившихся склейкой двух особых точек; то те части бифуркационных кривых, которые изменяются непрерывно при изменении этих параметров, сохраняют тип Лиувиллева слоения в своём прообразе. Для того чтобы использовать это свойство нам понадобится тщательное изучение множества Θ, аккуратное описание диаграмм D и их перестроек, и построение классификации камер, стенок и особых точек этих диаграмм. Результат - классификация семейств торов Лиувилля, перестроек, вырожденных замкнутых траекторий, невырожденных точек положения равновесия, а также полный список круговых молекул особых точек диаграмм. Автор выражают глубокую благодарность своим научным руководителям - академику А. Т. Фоменко, доценту А. А. Ошемкову, кандидату ф/м наук П. Е. Рябову, кандидату ф/м наук П. В. Морозову за постоянное внимание к работе, множество ценных замечаний и консультаций.
2 Постановка задачи
Ковалевской-Яхьи Случай интегрируемости Ковалевской-Яхьи является обобщением классического волчка Ковалевской на случай задачи о движении тяжелого гиростата. Приведем два способа получения уравнений движения этой системы и их первых интегралов. 2.1 Переменные (s, r) Рассмотрим алгебру Ли e(3) группы Ли E(3) движений трехмерного евклидова пространства. На линейном пространстве e(3)∗ определена скобка Ли-Пуассона двух произвольных гладких функций f и g:



Файлы условия, демо
Характеристики ВКР
Предмет
Учебное заведение
Просмотров
2
Размер
484,77 Kb
Список файлов
Лиувиллева классификация интегрируемого случая Ковалевской-Яхьи задачи о движении твердого тела.pdf

Друзья, спасибо за доверие! Если вам понравилась работа – поставьте 5⭐ и напишите отзыв. Это поможет другим студентам, а мне даст силы делать ещё больше качественных материалов для вас 🔥