5 (990092)
Текст из файла
| Лабораторная работа №2. По Теории Игр и Исследованию Операций. Преподаватель: ЕРЕМЕЕВ А.П. Выполнил: Ким Н.А. МЭИ (ТУ) |
1. Составить зависимости метода Лагранжа, для матрицы размерности (3,3) .
| В1 | В2 | В3 | |
| А1 |
|
|
|
| А2 |
|
|
|
| А3 |
|
|
|
Нужно найти:
Решение:
Составляем уравнение:
I.
теперь для упрощения записи введем следующие обозначения:
Получаем:
І І.
Аналогично, сокращая подобные слагаемые и введя следующие обозначения, получаем:
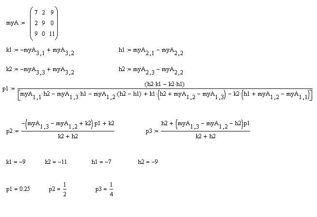
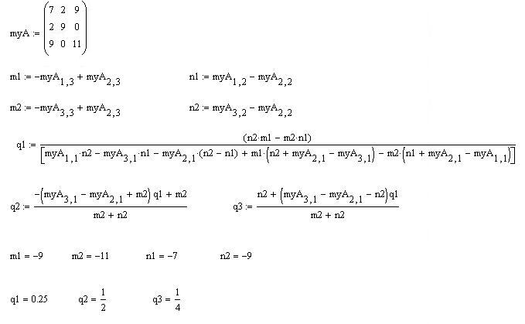
2A. Найти решение задачи с помощью формул метода Лагранжа.
| 7 | 2 | 9 |
| 2 | 9 | 0 |
| 9 | 0 | 11 |
Расчеты проводились в среде MathCAD.
SA = (0.245; 0.501; 0.255)
SB = (0.245; 0.500; 0.255)
V = 5
2Б. Найти решение задачи с помощью компьютера.
3
. Задача о двух КБ.
Вариант 18 => a=18*b
Решить задачу:
- точным
- итерационным
Так как матрица не приводится к квадратному виду, то точный метод решения – Симплекс метод.
Так как для корректной работы процедуры нужно было, чтобы все элементы матрицы были положительными, то из полученной цены игры V, нужно вычесть 8,5.
SA= (0,0000000; 0,0000000; 0,0000000; 0,4848486; 0,5151516)
SB= (0,0000000; 0,0000000; 0,5151515; 0,4848485)
V =4.6212118
SA=(0,0000000; 0,0000000; 0,0010000; 0,4810000;0,5180000)
SB=(0,0000000; 0,0000000; 0,5160000;0,4840000)
V= V=4,6080000
Характеристики
Тип файла документ
Документы такого типа открываются такими программами, как Microsoft Office Word на компьютерах Windows, Apple Pages на компьютерах Mac, Open Office - бесплатная альтернатива на различных платформах, в том числе Linux. Наиболее простым и современным решением будут Google документы, так как открываются онлайн без скачивания прямо в браузере на любой платформе. Существуют российские качественные аналоги, например от Яндекса.
Будьте внимательны на мобильных устройствах, так как там используются упрощённый функционал даже в официальном приложении от Microsoft, поэтому для просмотра скачивайте PDF-версию. А если нужно редактировать файл, то используйте оригинальный файл.
Файлы такого типа обычно разбиты на страницы, а текст может быть форматированным (жирный, курсив, выбор шрифта, таблицы и т.п.), а также в него можно добавлять изображения. Формат идеально подходит для рефератов, докладов и РПЗ курсовых проектов, которые необходимо распечатать. Кстати перед печатью также сохраняйте файл в PDF, так как принтер может начудить со шрифтами.
















