РПЗ Агаян (954314), страница 5
Текст из файла (страница 5)
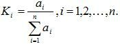
- компоненты собственного вектора матрицы
- нормализованные оценки вектора локальных приоритетов
Проверка ограниченности оценок приоритетов необходима, так как не всегда можно исходить из ограниченности всех оценок. Индекс согласованности в каждой матрице и для всей иерархии может быть получен приближенно. Сначала суммируется каждый столбец суждений, затем сумма первого столбца умножается на величину первой компоненты нормализованного вектора приоритетов, сумма второго столбца – на вторую компоненты и т.д. Затем полученные числа суммируются. Таким образом, можно получить величину, характеризующую наибольшее собственное значение матрицы суждений и обозначаемую λmax:
λmax= 2,96*0,32+10,23*0,38+5,11*0,205+…+13,5*0,066=8,555
Индекс согласованности (ИС) определяем по формуле:
Где n– число сравниваемых элементов.
Индекс согласованности сравнивается со случайным индексом (СИ), сгенерированным случайным образом по шкале от 1 до 9 обратно симметричной матрицы с соответствующими обратными величинами элементов.
Среднее значение индекса согласованности (однородности) случайным образом составленной матрицы попарных сравнений, порядок которой равен восьми, составляет 1,40
Отношение ИС к среднему СИ для матриц того же порядка называют отношением согласованности (ОС). Значение ОС ≤ 0,1 считается приемлемым. При этом матрицы сравнения пар с ОС ≤ 0,1 рассматриваются в качестве достаточно ограниченных, а для матриц с ОС > 0,1 следует проводить проверку и пересмотр оценок сравнения пар.
Отношение согласованности суждений равняется:
ОС = 0.077 / 1,40 = 0,057 (5.7%),
который соответствует рекомендуемому требованию, согласно которому данный показатель не должен превышать 10%, то есть суждения являются однородными и логичными.
Далее представим нормализованные оценки вектора приоритета серверов по указанным выше критериям. Расчет осуществляется таким же образом.
| Тактовая частота ЦП | Fujitsu Primergy RX300 S6 | HP ProLiant DL380 G7 | Dell PowerEdge R710 | ai | Н.В. |
| Fujitsu Primergy RX300 S6 | 1 | 0,5 | 0,5 | 0,63 | 0,200 |
| HP ProLiant DL380 G7 | 2 | 1 | 1 | 1,26 | 0,400 |
| Dell PowerEdge R710 | 2 | 1 | 1 | 1,26 | 0,400 |
| ∑ | 5,00 | 2,50 | 2,50 | 3,15 | 1 |
| λmax= | 3,00 | ||||
| ИС= | 0,00 | ||||
| ОС= | 0,00 |
| Объем рабочей ОП и КЭШ -2 | Fujitsu Primergy RX300 S6 | HP ProLiant DL380 G7 | Dell PowerEdge R710 | ai | Н.В. | ||||||||||
| Fujitsu Primergy RX300 S6 | 1 | 1 | 0,5 | 0,79 | 0,260 | ||||||||||
| HP ProLiant DL380 G7 | 1 | 1 | 1 | 1 | 0,327 | ||||||||||
| Dell PowerEdge R710 | 2 | 1 | 1 | 1,26 | 0,413 | ||||||||||
| ∑ | 4,00 | 3,00 | 2,50 | 3,05 | 1 | ||||||||||
| λmax= | 3,05 | ИС=0 | ОС= | 0,00 | |||||||||||
| Объем поддерживаемой ОП | Fujitsu Primergy RX300 S6 | HP ProLiant DL380 G7 | Dell PowerEdge R710 | ai | Н.В. |
| Fujitsu Primergy RX300 S6 | 1 | 1 | 1 | 1 | 0,333 |
| HP ProLiant DL380 G7 | 1 | 1 | 1 | 1 | 0,333 |
| Dell PowerEdge R710 | 1 | 1 | 1 | 1 | 0,333 |
| ∑ | 3,00 | 3,00 | 3,00 | 3 | 1 |
| λmax= | 3,00 | ИС= | 0,00 | ОС= | 0,00 |
| Количество портов PCI | Fujitsu Primergy RX300 S6 | HP ProLiant DL380 G7 | Dell PowerEdge R710 | ai | Н.В. | ||||||
| Fujitsu Primergy RX300 S6 | 1 | 0,5 | 2 | 1 | 0,256 | ||||||
| HP ProLiant DL380 G7 | 2 | 1 | 4 | 2 | 0,512 | ||||||
| Dell PowerEdge R710 | 1 | 0,75 | 1 | 0,91 | 0,232 | ||||||
| ∑ | 4,00 | 2,25 | 7,00 | 3,91 | 1 | ||||||
| λmax= | 3,80 | ИС= | 0,00 | ОС= | 0,00 | ||||||
| Емкость диска | Fujitsu Primergy RX300 S6 | HP ProLiant DL380 G7 | Dell PowerEdge R710 | ai | Н.В. | ||||||
| Fujitsu Primergy RX300 S6 | 1 | 1 | 1 | 1 | 0,333 | ||||||
| HP ProLiant DL380 G7 | 1 | 1 | 1 | 1 | 0,333 | ||||||
| Dell PowerEdge R710 | 1 | 1 | 1 | 1 | 0,333 | ||||||
| ∑ | 3,00 | 3,00 | 3,00 | 3 | 1 | ||||||
| λmax= | 3,00 | ИС= | 0,00 | ОС= | 0,00 | ||||||
| Электропитание | Fujitsu Primergy RX300 S6 | HP ProLiant DL380 G7 | Dell PowerEdge R710 | ai | Н.В. | ||||||
| Fujitsu Primergy RX300 S6 | 1 | 2 | 3 | 1,82 | 0,552 | ||||||
| HP ProLiant DL380 G7 | 0,5 | 1 | 2 | 1 | 0,304 | ||||||
| Dell PowerEdge R710 | 0,33 | 0,33 | 1 | 0,48 | 0,145 | ||||||
| ∑ | 1,83 | 3,33 | 6,00 | 3,29 | 1 | ||||||
| λmax= | 2,89 | ИС= | 0,00 | ОС= | 0,00 | ||||||
| Гарантия | Fujitsu Primergy RX300 S6 | HP ProLiant DL380 G7 | Dell PowerEdge R710 | ai | Н.В. | ||||||
| Fujitsu Primergy RX300 S6 | 1 | 1 | 1 | 1 | 0,333 | ||||||
| HP ProLiant DL380 G7 | 1 | 1 | 1 | 1 | 0,333 | ||||||
| Dell PowerEdge R710 | 1 | 1 | 1 | 1 | 0,333 | ||||||
| ∑ | 3,00 | 3,00 | 3,00 | 3 | 1 | ||||||
| λmax= | 3,00 | ИС= | 0,00 | ОС= | 0,00 | ||||||
| Стоимость | Fujitsu Primergy RX300 S6 | HP ProLiant DL380 G7 | Dell PowerEdge R710 | ai | Н.В. | ||||||
| Fujitsu Primergy RX300 S6 | 1 | 0,5 | 0,33 | 0,55 | 0,124 | ||||||
| HP ProLiant DL380 G7 | 2 | 1 | 2 | 1,59 | 0,359 | ||||||
| Dell PowerEdge R710 | 3 | 4 | 1 | 2,29 | 0,517 | ||||||
| ∑ | 6,00 | 5,50 | 3,33 | 4,43 | 1 | ||||||
| λmax= | 4,44 | ИС= | 0,00 | ОС= | 0,00 | ||||||
Окончательный выбор сервера осуществляется на основе результатов аддитивной свертки критериев по каждому из серверов и выбора наибольшего значения
|
| 1 | 2 | 3 | 4 | 5 | 6 | 7 | 8 | Рез |
| Н.В. | 0,320 | 0,138 | 0,205 | 0,035 | 0,089 | 0,102 | 0,046 | 0,066 |
|
| Fujitsu Primergy RX300 S6 | 0,2 | 0,26 | 0,333 | 0,256 | 0,333 | 0,552 | 0,333 | 0,124 | 0,287 |
| HP ProLiant DL380 G7 | 0,4 | 0,327 | 0,333 | 0,512 | 0,333 | 0,304 | 0,333 | 0,359 | 0,359 |
| Dell PowerEdge R710 | 0,4 | 0,413 | 0,333 | 0,232 | 0,333 | 0,145 | 0,333 | 0,517 | 0,355 |
По итогам аддитивной свертки критериев выбираем сервер HP ProLiant DL380 G7
-
Выбор коммутатора
Сравнение будем производить из следующих моделей:
-
Коммутатор 3C16487-ME (фирма 3Com)
-
Коммутатор DES-2108/E (фирма DLink)
-
Коммутатор ES3526YA (фирма Edge-Core )
Таблица 16. Характеристики сравниваемых коммутаторов
| Параметры сравнения | Коммутатор 3C16487-ME | Коммутатор DES-2108/E | Коммутатор ES3526YA |
| Производительность (Гбит/с) | 32 | 1,6 | 12,8 |
| Кол-во поддерживаемых стандартов (шт.) | 7 | 6 | 3 |
| Кол-во портов10BASE-T/100BASE-TX (шт.) | 24 | 8 | 24 |
| Доп. Порты (шт.) | 4 | 1 | 6 |
| Управляемость | хорошо | отлично | оч. хорошо |
| Кол-во MAC адресов (тыс. шт.) | 8 | 4 | 8 |
| Макс. потребляемая мощность (Вт) | 60 | 9 | 10 |
| Вес (кг) | 1,96 | 1,85 | 2 |
| Стоимость (рубли) | 11000 | 2100 | 9000 |
Таблица 17. Шкала перевода качественных характеристик в количественные
| Качественная оценка | Отлично | Очень хорошо | Хорошо | Удовлетворительно |
| Количественная оценка | 1 | 0,9 | 0,8 | 0,6 |
Таблица 18 Нормированные характеристики сравниваемых коммутаторов
| Параметры сравнения | Весовой коэфф | Коммутатор 3C16487-ME | Коммутатор DES-2108/E | Коммутатор ES3526YA |
| Производительность | 0,2 | 1 | 0,05 | 0,4 |
| Кол-во поддерживаемых стандартов | 0,15 | 1 | 0,85 | 0,4 |
| Порты | 0,15 | 0,9 | 0,3 | 1 |
| Управляемость | 0,1 | 0,8 | 1 | 0,9 |
| Кол-во MAC адресов | 0,1 | 1 | 0,5 | 1 |
| Макс. потребляемая мощность | 0,1 | 0,15 | 1 | 0,9 |
| Вес | 0,1 | 0,9 | 1 | 0,9 |
| Стоимость | 0,1 | 0,2 | 1 | 0,2 |
| Итоговый результат | 0,79 | 0,63 | 0,68 |
Следовательно, выбираем коммутатор 3C16487-ME
-
Сравнительный анализ SCSI-дисков.
Анализируя продукцию современных фирм-производителей, были выбраны несколько SCSI-дисков: фирмы Fujitsu Siemens , фирмы IBM, фирмы Seagate (Емкостью 36 Гб, интерфейс Ultra Wide SCSI-3).
















