РПЗ Агаян (954314), страница 4
Текст из файла (страница 4)
Таблица 10. Значения сравниваемых величин
| Параметр сравнения | D-link DSL-2540U | Zyxel P-660RU EE | ASUS AM604 |
| Стоимость | 1277 | 1860 | 1520 |
| DMZ | Есть | Нет | есть |
| SPI | Есть | Нет | нет |
| Гарантия | 12 | 18 | 12 |
| Документация | Отлично | Отлично | хорошо |
Для выбора наилучшего варианта воспользуемся критерием взвешенной суммы. Для этого нормализуем данные и введем весовые коэффициенты (α).
Таблица 11. Шкала перевода качественных характеристик в количественные
| Качественная оценка | Отлично | Очень хорошо | Хорошо | Удовлетворительно |
| Количественная оценка | 1 | 0,9 | 0,8 | 0,6 |
В таблице 12 представлены нормализованные данные и весовые коэффициенты (α), а также значения взвешенных сумм для каждого варианта:
Таблица 12. Характеристики сравниваемых величин
| Параметр сравнения | α | D-link DSL-2540U | Zyxel P-660RU EE | ASUS AM604 |
| Стоимость | 0,2 | 1 | 0,69 | 0,84 |
| DMZ | 0,2 | 1 | 0 | 0 |
| SPI | 0,1 | 1 | 0 | 0 |
| Гарантия | 0,2 | 0,67 | 1 | 0,67 |
| Документация | 0,3 | 1 | 1 | 0,8 |
| ∑ | 0,93 | 0,64 | 0,74 |
Выбираем модем D-link DSL-2540U.
-
Выбор оборудования сети
-
Выбор сервера
-
Выбор оборудования сети методом взвешанных сумм
Выбор оборудования сети проводим на примере выбора сервера ЛВС. Сравнение многопроцессорных серверных решений на базе процессора Intel Pentium 4 будем производить из следующих моделей:
-
Сервер Dell PowerEdge SC420 (фирма Dell)
-
Сервер Compaq Proliant 5200 (фирма Compaq)
-
Сервер HP ProLiant ML310 T0 (фирма HP )
. Таблица 13. Характеристики сравниваемых серверов на базе процессора Pentium 4.
| Параметры сравнения | Сервер DELL eServer p690 | Сервер Compaq Proliant 5200 | Сервер HP ProLiant ML310 T0 |
| Поддерживаемые процессоры | До 2-х | До 2-х | До 2-х |
| Тактовая частота ЦП ( Мгц) | 2,8 | 3,2 | 3,2 |
| Частота шины ( Мгц ) | 800 | 800 | 800 |
| Кэш второго уровня (Мбайт) | 1 | 1 | 1 |
| Объем рабочей ОП (Мбайт) | 512 | 512 | 256 |
| Объем поддерживаемой ОП (Гбайт) | До 8 Гб | до 8 Гб | до 8 Гб |
| Количество портов PCI | 14 | 16 | 12 |
| Емкость диска (Гбайт) | 160 | 160 | 160 |
| Скорость вращения диска (об/мин) | 7200 | 10000 | 7200 |
| Удобство горячей замены дисков, надежность дисков | Отлично | Отлично | Оч. Хорощо |
| Электропитание (Вт) | 310 | 320 | 350 |
| Гарантия (лет) | 5 | 5 | 5 |
| Стоимость ($ тысяч) | . 2300 | 2500 | 2100 |
Таблица 14. Шкала перевода качественных характеристик в количественные.
| Качественная оценка | Отлично | Очень хорошо | Хорошо | Удовлетворительно |
| Количественная оценка | 1 | 0,9 | 0,8 | 0,6 |
Таблица 15. Нормированные характеристики сравниваемых серверов
| Параметры сравнения | Весовой коэфф | Сервер DELL PowerEdge 700 | Сервер Compaq Proliant 5200. | Сервер HP ProLiant DL140 |
| Тактовая частота ЦП и шин | 0,2 | 0,88 | 1 | 1 |
| Объем рабочей ОП и КЭШ -2 | 0,1 | 1 | 1 | 0,5 |
| Количество портов PCI | 0,15 | 0,88 | 1 | 0,75 |
| Удобство горячей замены дисков, надежность | 0,15 | 1 | 1 | 0,9 |
| Скорость дисков | 0,1 | 0,72 | 1 | 0,72 |
| Электропитание | 0,1 | 1 | 0,95 | 0,9 |
| Гарантия (лет) | 0,1 | 1 | 1 | 1 |
| Стоимость | 0,1 | . 0,9 | 0,8 | 1 |
| Итоговый результат | 0,91 | 0,97 | 0,85 |
Следовательно выбираем сервер Compaq Proliant 5200
Выбор оборудования сети методом анализа иерархий
Был произведён анализ 3 серверов (Таблица 15) .
-
Сервер Dell PowerEdge SC420 (фирма Dell)
-
Сервер Compaq Proliant 5200 (фирма Compaq)
-
Сервер HP ProLiant ML310 T0 (фирма HP )
Для сравнения были выбраны 8 критериев:
-
Тактовая частота ЦП и шин
-
Объем рабочей ОП и КЭШ -2
-
Количество портов PCI
-
Удобство горячей замены дисков, надежность
-
Скорость дисков
-
Электропитание
-
Гарантия (лет)
-
Стоимость
Выбор сервера методом анализа иерархи произведем по 3 серверам: Сервер Dell PowerEdge SC420, Сервер Compaq, Сервер HP ProLiant ML310 T0
Выбор оптимального сервера из предложенных на основе числовой шкалы требует предварительного формирования рангов важности. Воспользуемся местодом попарных сравнений. Построим матрицу попарных сравнений основываясь на шкале сравнения альтернатив.
Шкала сравнения альтернатив
| Балл | Определение | Пояснение |
| 1 | Одинаковая значимость | Оба сравниваемых элемента имеют одинаковуюзначимость для элемента более высокого уровня |
| 3 | Чуть более высокая значимость | Опыт и оценка говорят о немного большейзначимости одного элемента по сравнению с другим |
| 5 | Более высокая значимость | Опыт и оценка говорят о более высоко йзначимости одного элемента по сравнению с другим |
| 7 | Очень высокая значимость | Очень высокая значимость элемента явно проявилась в прошлом |
| 9 | Абсолютно доминирующая значимость | Речь идет о максимально возможном различиимежду двумя элементами |
| 2, 4, 6, 8 | Промежуточные значения | Значения попадают в интервал междуопределенными выше баллами значимости |
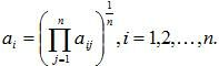
НВ = нормализованный собственный вектор
Попарное сравнение критериев.
| Критерий № | 1 | 2 | 3 | 4 | 5 | 6 | 7 | 8 | ai | Н.В.(Кi) |
| 1 | 1 | 5 | 2 | 7 | 4 | 3 | 5 | 3 | 3,255 | 0,320 |
| 2 | 0,20 | 1 | 0,5 | 5 | 3 | 1 | 5 | 2 | 1,403 | 0,138 |
| 3 | 0,50 | 2 | 1 | 5 | 3 | 3 | 4 | 2 | 2,087 | 0,205 |
| 4 | 0,14 | 0,2 | 0,2 | 1 | 0,25 | 0,33 | 1 | 0,5 | 0,352 | 0,035 |
| 5 | 0,25 | 0,33 | 0,3 | 4 | 1 | 1 | 4 | 1 | 0,901 | 0,089 |
| 6 | 0,33 | 1 | 0,3 | 3 | 1 | 1 | 2 | 2 | 1,035 | 0,102 |
| 7 | 0,20 | 0,2 | 0,3 | 1 | 0,25 | 0,5 | 1 | 2 | 0,473 | 0,046 |
| 8 | 0,33 | 0,5 | 0,5 | 2 | 1 | 0,5 | 0,5 | 1 | 0,672 | 0,066 |
| ∑ | 2,96 | 10,23 | 5,11 | 28,00 | 13,50 | 10,33 | 22,50 | 13,50 | 10,179 | 1,000 |
















