ответы на билеты (928559), страница 16
Текст из файла (страница 16)
При этом, реакции связей определяются из известных уравнений равновесия статики твердого тела:
|
| (2) |
|
|
|
|
|
|
где х0, у0, z0 — базовая система координат осей.
Мысленное разрезание бруса на две части произвольным сечением А (рис.1 a), приводит к условиям равновесия каждой из двух отсеченных частей (рис.1 б,в). Здесь {S’} и {S"}- внутренние усилия, возникающих соответственно в левой и правой отсеченных частях вследствие действия внешних усилий.
При составлении мысленно отсеченных частей, условие равновесия тела обеспечивается соотношением:
Так как исходная система внешних сил (1) эквивалентна нулю, получаем:
{S’} = – {S”} (3)
Это условие соответствует четвертой аксиоме статики о равенстве сил действия и противодействия.
Используя общую методологию теоремы Пуансо о приведении произвольной системы сил к заданному центру и выбрав за полюс приведения центр масс, сечения А', точку С', систему внутренних усилий для левой части {S’} сводим к главному вектору
и главному моменту
внутренних усилий. Аналогично делается для правой отсеченной части, где положение центра масс сечения А”; определяется, соответственно, точкой С" (рис.1 б,в).
| {S’} ~ {R’,L’0}; {S"} ~ { R”,L”0}, | (4) |
Здесь в соответствие с четвертой аксиомой статики по-прежнему имеют место следующие соотношения:
| R’ = – R” | (5) |
| L’0 = – L”0 |
|
Таким образом главный вектор и главный момент системы внутренних усилий, возникающие в левой, условно отсеченной части бруса, равны по величине и противоположны по направлению главному вектору и главному моменту системы внутренних усилий, возникающих в правой условно отсеченной части.
График (эпюра) распределения численных значений главного вектора и главного момента вдоль продольной оси бруса и предопределяют, прежде всего, конкретные вопросы прочности, жесткости и надежности конструкций.
Определим механизм формирования компонент внутренних усилий, которые характеризуют простые виды сопротивлений: растяжение-сжатие, сдвиг, кручение и изгиб.
В центрах масс исследуемых сечений С' или С" зададимся соответственно левой (с', х', у', z') или правой (с", х", у", z”) системами координатных осей (рис.1 б, в), которые в отличие от базовой системы координат x, у, z будем называть "следящими". Термин обусловлен их функциональным назначением. А именно: отслеживание изменения положения сечения А (рис.1 а) при условном смещении его вдоль продольной оси бруса, например при: 0
х’1
а, а
x’2
b и т.д., где а и b — линейные размеры границ исследуемых участков бруса.
Зададимся положительными направлениями проекций главного вектора
или
и главного момента
или
на координатные оси следящей системы (рис.1 б, в):
|
| (6) |
|
|
|
При этом положительные направления проекций главного вектора и главного момента внутренних усилий на оси следящей системы координат соответствуют правилам статики в теоретической механике: для силы — вдоль положительного направления оси, для момента — против вращения часовой стрелки при наблюдении со стороны конца оси. Они классифицируются следующим образом:
Nx — нормальная сила, признак центрального растяжения или сжатия;
Мx — внутренний крутящий момент, возникает при кручении;
Qz, Qу — поперечные или перерезывающие силы – признак сдвиговых деформаций,
Му, Мz — внутренние изгибающие моменты, соответствуют изгибу.
Соединение левой и правой мысленно отсеченных частей бруса приводит к известному (3) принципу равенства по модулю и противоположной направленности всех одноименных компонент внутренних усилий, а условие равновесии бруса определяется в виде:
| {P1, P2, P3, …, N’, N”, Q’y, Q”y, Q’z, Q”z, M’x, M”x, |
|
| M’y, M”y, M’z, M”z, …, Pn-1, Pn} ~ 0 | (7) |
С учетом эквивалентности нулю исходной системы сил (1) имеет место:
| {N’, N”, Q’y, Q”y, Q’z, Q”z, М’x, M”x, M’y, M”y, М’z, M”z}~0 | (8) |
Как естественное следствие из соотношений 3,4,5 полученное условие является необходимым для того, чтобы одноименные компоненты внутренних усилий попарно образовали подсистемы сил эквивалентные нулю:
| 1. {N’, N”} ~ 0 > N’ = – N” | (9) |
| 2. {Q’y, Q”y} ~ 0 > Q’y = – Q”y |
|
| 3. {Q’z, Q”z} ~ 0 > Q’z = – Q”z |
|
| 4. {М’x, M”x} ~ 0 > М’x = – M”x |
|
| 5. {M’y, M”y} ~ 0 > M’y = – M”y |
|
| 6. {М’z, M”z} ~ 0 > М’z = – M”z |
|
Общее число внутренних усилий (шесть) в статически определимых задачах совпадает с количеством уравнений равновесия для пространственной системы сил и связано с числом возможных взаимных перемещений одной условно отсеченной части тела по отношению к другой.
Искомые усилия определяются из соответствующих уравнений для любой из отсеченных частей в следящей системе координатных осей. Так, для любой отсеченной части соответствующие уравнения равновесия приобретают вид;
| 1. | (10) |
| 2. |
|
| 3. |
|
| 4. |
|
| 5. |
|
| 6. |
|
Здесь для простоты обозначений системы координат с' х' у' z' и с" х" у" т" заменены единой оxуz.
Напряжения
В окрестности произвольной точки К, принадлежащей сечению А некоторого нагруженного тела, выделим элементарную площадку F, в пределах которой действует внутреннее усилие
(рис. 1.4, а). Векторная величина
(
1.5) называется полным напряжением в точке К. Проекция вектора полного напряжения
на нормаль к данной площадке обозначается через и называется нормальным напряжением.
Проекции вектора
на перпендикулярные оси в плоскости площадки (рис. 1.4, б) называются касательными напряжениями по направлению соответствующих осей и обозначаются ´ и ´´. Если через ту же самую точку К провести другую площадку, то, в общем случае будем иметь другое полное напряжение. Совокупность напр-й для множества площадок, проходящих через данную точку, образует напряженное состояние в этой точке.
Совокупность напряжений, возникающих во всех секущих плоскостях, проходящих через эту точку наз. напряжённым состоянием.
Билет 27
1) Косой изгиб. Определение напряжений
| КОСОЙ ИЗГИБ |
|
|
| Косым изгибом называется такой вид изгиба, при котором плоскость нагрузки (силовая линия) изгибающего момента не совпадает ни с одной из главных осей инерции поперечного сечения стержня X, Y (рис. 7.1, а, б). |
| При косом изгибе действующие внешние силы (моменты) представляют их проекциями на главные оси поперечного сечения (рис. 7.1, б), тем самым сводят задачу к случаю поперечного изгиба в двух главных плоскостях. Из рис. 7.1, а, б видно, что: |
|
|
| Изгибающие моменты в расчетном сечении: |
|
|
| При выбранном направлении главных центральных осей инерции положительным октантом будет первый октант (на рис. 7.1, а, б заштрихован). |
|
|
|
|
| Рис. 7.1 |
| Правило знаков. Изгибающие моменты в расчетном поперечном сечении считаются положительными, если они вызывают в первом (заштрихованном) октанте напряжения растяжения. |
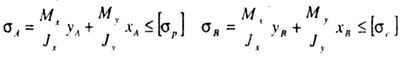
| Нормальные напряжения в точках поперечного сечения с текущими координатами х, у определяются алгебраической суммой напряжений, вызываемых изгибающими моментами Мx и Мy: |
|
|
| где Jx и Jy — моменты инерции поперечного сечения относительно главных, центральных осей инерции сечения X, Y, т. е. изменяются по линейному закону. Уравнение нейтральной (нулевой) линии в сечении найдем, приравняв |
| Ответы совпали. |
|
|
| При х = 0 значение у = 0, т. е. прямая с угловым коэффициентом k проходит через центр тяжести поперечного сечения. |
| При косом изгибе нейтральная линия представляет собой прямую, которая не перпендикулярна к плоскости изгибающего момента , или, что одно и то же, к силовой линии. |
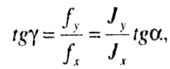
| Силовая линия наклонена к оси X под углом а, следовательно, ее угловой коэффициент равен: |
|
|
| Угловой коэффициент нейтральной линии: |
|
|
| Так как в общем случае Jx не равно Jy, то и k1 не равно — 1/k, следовательно, нулевая длина не перпендикулярна силовой линии, а повернута в сторону главной оси минимального момента инерции. |
| Нейтральная линия разделяет поперечное сечение на две зоны: |
|
| Максимальные по величине напряжения растяжения возникают в точке А с координатами Xa, Yл, а максимальные напряжения сжатия возникают в точке В с координатами XВ, YВ (рис. 7.1, в): |
|
|
| Получим эпюру нормальных напряжений в расчетном сечении (7.1, в). |
| Условие прочности. Если материал стержня одинаково работает на растяжение и на сжатие, то условие прочности записывается в виде: |
|
|
| Если материал стержня работает на растяжение и на сжатие не одинаково, то расчет проводится раздельно, т. е. проверяются условия прочности: |
|
|
| Для поперечных сечений, имеющих две оси симметрии: |
|
|
| где Wx, Wy — момент сопротивления поперечного сечения относительно главных, центральных осей инерции X, Y. |
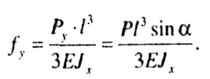
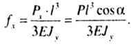
| Прогибы при косом изгибе. Прогиб конца консоли от действия Рx направлен по оси X и равен: |
|
|
| Прогиб от действия Рy направлен по оси Y и равен: |
|
|
| Модуль полного прогиба конца консоли |
|
|
| Угол наклона вектора f к оси X |
|
|
| т. е. угловой коэффициент |
|
|
| перемножив k на k2 получим: |
|
|
| что свидетельствует о том, что нулевая линия и направление полного прогиба взаимно |
2)Чистый сдвиг. Главные напряжения. Закон Гука.
















