teoria_mzhg_ekz (834407), страница 6
Текст из файла (страница 6)
Истечением жидкости в резервуар, заполненный жидкостью, называется истечением под уровень.
ζ≈0,04…0,06 – коэффициент сопротивления отверстия принимаем таким же, как при истечении в атмосферу, α =1- коэффициент Кориолиса.
Уравнение Бернулли для сечений 1-1 и 3-3. В уравнении Бернулли учитывается скоростной напор на выходе из отверстия!
Разность гидростатических напоров по обе стороны стенки равна напору истечения.
Скорость и расход через отверстие
где S0 – площадь отверстия, ζо=0,04-0,06- коэффициент потерь от сечения 1-1 до сечения 3-3, φ=μ=0,94…0,97, μ=0,6…0,67.
Истечение через насадки. Безотрывный и отрывной режимы истечения. Разряжение в насадках.
Внешним цилиндрическим насадком называется короткая трубка длиной l = (1÷5)d с острой входной кромкой. Истечение через насадок в атмосферу может происходить в двух режимах.
а) безотрывной режим истечения, при котором струя после входа в насадок сначала сжимается, потом затем сжатая часть струи расширяется до размеров выходного диаметра и выходит сечением равным сечению насадка.
б) отрывной режим истечения, при котором струя проходит через насадок, как при истечении из отверстия с острой кромкой. Отрыв струи происходит при увеличении напора истечения.
При истечении жидкости из резервуаров через насадки скорость истечения и расход определяются по тем же формулам, что и для отверстий с острой кромкой, площадь отверстия s0 заменяется выходной площадью насадка sн.
Для внешнего цилиндрического насадка потерю напора можно представить в виде суммы потерь на двух участках от отверстия 1-1 до сжатого сечения 2-2 и от сжатого сечения 2-2 до сечения 3-3 на выходе из насадка.
потери на входе в насадок – потери на острой кромке от сечения 1-1 до сечения 2-2.
потери от сжатого сечения 2-2 до сечения на выходе из насадка 3-3, формула для определения потерь напора при внезапном расширении потока.
Скорость истечения и расход из насадка
При истечении из большого резервуара сжатие струи в сечении х является совершенным, в этом случае средние значения коэффициента всего насадка ζ1-3 =0,45…0,5, ε = 0,62(для отверстия с острой кромкой). Коэффициенты расхода и скорости ϕ= µ=0.82.
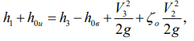
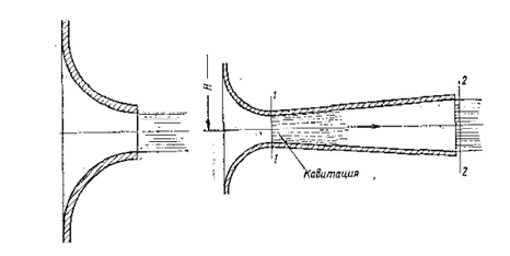
В сжатом сечении при безотрывном течении скорость жидкости больше, чем скорость на выходе из насадка. При истечении в атмосферу в сжатом сечении возникает разряжение, давление меньше атмосферного и пьезометрическая линия проходит в этих местах ниже оси насадка, если плоскость сравнения взята по оси.
Разряжение, возникающее внутри цилиндрического насадка в сжатом сечении струи при Р=Ратм.
Разность давлений Р – Рх растет пропорционально напору Н. Если на выходе из насадка давление постоянно и равно Р, поскольку в сужении скорость больше, чем на выходе, давление Рх должно уменьшаться. Чем больше напор, под которым происходит и расход, тем меньше давление в сжатом сечении Рх.
Если истечение происходит в среду, где давление равно атмосферному Ратм, увеличение напора может понизить давление в сжатом сечении до давления насыщенных паров.
Истечение через насадок в атмосферу с заполнением выходного сечения насадка возможно при напорах, меньших предельного Hпр, который соответствует падению абсолютного давления в сжатом сечении до давления насыщенных паров жидкости рх = рН.П.
По этой формуле при увеличении напора Н > Hпр и при истечении в атмосферу, где Р=Ратм - постоянно, разность давлений в правой части также должна расти. Но давление Рх не может быть меньше давления насыщенных паров, поэтому режим безотрывного истечения при Н > Hпр невозможен, жидкость срывается, течение переходит к отрывному режиму и жидкость течет через насадок, как через отверстие с острой кромкой.
Отрывной режим истечения характеризуется тем, что струя после сжатия уже не расширяется, сохраняя цилиндрическую форму, и внутри насадка не соприкасается с его стенками. Течение становится таким же, как из отверстия в тонкой стенке, с теми же значениями коэффициентов. При переходе от безотрывного к отрывному скорость возрастает, а расход уменьшается из-за сжатия струи.
Коноидальный насадок выполняется по форме естественно сжимающейся струи, обеспечивает безотрывность течения внутри насадка, параллельность струй в выходном сечении, устойчивый режим течения без кавитации. Этот насадок имеет коэффициент расхода μ =φ= 0,99÷0,96 близкий к единице, малые потери, коэффициент сопротивления около ξ= 0,03, коэффициент сжатия ε = 1.
Диффузорный насадок представляет собой комбинацию сопла и диффузора. Приставка диффузора к соплу влечет за собой снижение давления в узком месте насадка, увеличение скорости и расхода жидкости через него. При одинаковых диаметрах узкого сечения у сопла и диффузора и одинаковом напоре, диффузор может дать расход до 2,5 раза больше, чем сопло.
10. Ламинарное течение жидкости в трубах и зазорах.
При ламинарном режиме движения слои жидкости скользят один по другому не перемешиваясь. В жидкости преобладают силы вязкости, поэтому силы инерции и силы тяжести при выводах, связанных с ламинарным движением могут не учитываться.
Уравнение Бернулли для выбранных сечений 1-1 и 2-2
При z1=z2, V1=V2 можно записать
Равновесие выделенного объема рассматривается под действием сил давления и сил трения в слоях окружающей жидкости. Касательные напряжения в поперечном сечении трубы изменяются линейному закону в функции радиуса. Эпюры касательного напряжения показаны на рис.10.2 в начале трубы. На стенке трубы касательное напряжение максимально на оси равно нулю.
Закон распределения скоростей по сечению круглой трубы при ламинарном течении
Максимальная скорость в центре сечения при r = 0 равна
Расход определяем по движению жидкости через элементарную площадку δS= 2πrdr, которая берется в виде кольца радиусом r, и шириной δr
Закон Пуазейля (формула Пуазейля) при ламинарном течении в трубе круглого сечения (определение потерь)
где μ=νρ – динамическая вязкость, ν – кинематическая вязкость
Формула Вейсбаха-Дарси для определения потерь на трение при ламинарном режиме движения жидкости
Коэффициент Кориолиса для ламинарного режима движения
. Действительная кинетическая энергия ламинарного потока с параболическим распределением скоростей в два раза превышает кинетическую энергию того же потока, но при равномерном распределении скоростей.
Участок от начала трубы, на котором формируется параболический профиль скоростей, называется начальным участком, его длина обозначается - lнач.
Потеря напора на участке трубы, длина которого l ≤ lнач определяется по формулам с поправочным коэффициентом k>1
Скорость при ламинарном течении в плоском зазоре
Расход при ламинарном течении в плоском зазоре
Потери давления при течении в плоском зазоре
Если поршень расположен соосно
Если поршень расположен в цилиндре с эксцентриситетом
Из этого выражения следует, что при максимальном эксцентриситете (ε = 1) расход Q =2,5*Q0.
12. Турбулентное течение жидкости в трубах.
Для турбулентного режима течения характерны пульсации скоростей и давлений, перемешивание жидкости. В фиксированной точке потока величина скорости может быть измерена с помощью трубки полного напора или "трубки Пито".
Турбулентное течение является неустановившимся, так как траектории, местные скорости и давления частиц изменяются во времени, для расчетов и теоретических выкладок скорости и давления усредняют. Если усредненные значения скоростей и давлений потока мало изменяются во времени, турбулентное течение считают установившимся. Усредненные скорости при турбулентном режиме течения распределены по сечению трубопровода более равномерно в сравнении с ламинарным режимом.
При ламинарном режиме потери напора на трение возрастают пропорционально скорости в первой степени, а при переходе к турбулентному течению заметен скачок сопротивления и потери увеличиваются пропорционально квадрату скорости.
Основной расчетной формулой для потерь напора при течении в круглых трубах является эмпирическая формула Вейсбаха— Дарси
Шероховатость внутренней поверхности труб может быть различной. Помимо выступов с неодинаковыми размерами и формой может быть и регулярная шероховатость обусловленная технологией. В качестве характеристики шероховатости выбирают среднюю высоту выступов шероховатости Δ. Соотношение между высотой выступов шероховатости и толщиной вязкого подслоя определяет структуру потока.
Структура потока для турбулентного режима в зависимости от скорости жидкости разделяется на область гидравлически гладких, область шероховатых труб и переходную область, это разделение является условным, так как толщина δ ламинарного слоя зависит от числа Re
1. Δ <δ. Гидравлически гладкие трубы. Если средняя высота шероховатости Δ меньше высоты вязкого подслоя δ, все неровности погружены в этот подслой и жидкость в пределах подслоя плавно обтекает выступы. Шероховатость не влияет на характер движения, потери на трение не зависят от шероховатости, зависят только от числа Re.














