teoria_mzhg_ekz (834407), страница 4
Текст из файла (страница 4)
Линией тока называется траектория движения частицы жидкости, в каждой точке которой вектор скорости в данный момент времени направлен по касательной к этой траектории. При установившемся течении линия тока совпадает с траекторией частицы и не изменяет своей формы с течением времени.
Трубкой тока называется бесконечно малый замкнутый контур, выделенный в данный момент времени в движущейся жидкости, через все точки которого проведены линии тока. Это условная трубчатая поверхность. Элементарной струйкой называется часть потока, заключенная внутри трубки тока.
Площадь сечения, проведенного нормально к линиям тока, называется живым сечением струйки δS.
Площадь сечения, проведенная нормально к оси потока, называется живым сечением потока S.
Линия соприкосновения жидкости в живом сечении с поверхностями, ограничивающими поток, называется смоченным периметром. В напорных потоках длина смоченного периметра χ равна длине всего периметра сечения. В безнапорных потоках смоченный периметр составляет часть полного периметра. Гидравлическим радиусом называется отношение площади живого сечения к смоченному периметру в этом сечении
R =ω/χ , где ω – живое сечение, χ – смоченный периметр.
Расходом называется количество жидкости, протекающее через живое сечение потока в единицу времени.
17. Материальный баланс потока. Уравнение неразрывности.
Если между двумя сечениями потока не произошло увеличения или уменьшения объема жидкости, то расход в сечениях остается постоянным.
Условия неразрывности потока следующие: 1) Закон сохранения вещества; 2) Допущение о непроницаемости трубки тока для внешних и внутренних потоков; 3) Предположение о сплошности (неразрывности) среды для установившегося течения несжимаемой жидкости.
При этих условиях можно утверждать, что объемный расход во всех сечениях элементарной струйки один и тот же.
Уравнение неразрывности для элементарной струйки (уравнение расхода для элементарной струйки).
где V1, V2 – мгновенные скорости в сечениях.
Уравнение неразрывности (расхода) для потока, ограниченного непроницаемыми стенками (уравнение расхода для потока).
где Vср1 , Vср2 - средние скорости.
Из уравнения расхода для потока следует, что средние скорости в потоке несжимаемой жидкости обратно пропорциональны площадям сечений:
Уравнение расхода является следствием закона сохранения вещества.
19. Уравнение Бернулли для элементарной струйки идеальной жидкости.
При выводе уравнения Бернулли рассматривается установившееся течение идеальной жидкости под действием только силы тяжести. Уравнение Бернулли связывает давление и скорость идеальной жидкости для установившегося течения.
Применим к массе жидкости в объеме элементарной струйки теорему об изменении кинетической энергии: работа сил, приложенных к телу, равна приращению кинетической энергии этого тела:
На жидкость действуют силы давления, нормальные к поверхностям сечений рассматриваемого участка струйки и силы тяжести.
Работа силы давления жидкости в первом сечении
Работа силы давления жидкости во втором сечении
Силы давления жидкости, действующие по поверхности струйки, работы не производят, так как они нормальны к перемещениям.
Работа сил давления
Работа силы тяжести равна изменению потенциальной энергии. По уравнению закон неразрывности элементарные объемы δW и силы тяжести заштрихованных элементов 1 -1’ и 2 - 2’ равны между собой:
Работа силы тяжести будет равна произведению силы тяжести δG на разность высот:
Приращение кинетической энергии участка струйки за время δt
исходное уравнение
Уравнение Бернулли для элементарной струйки идеальной несжимаемой жидкости (первая форма уравнения Бернулли), уравнение удельной энергии единицы веса жидкости
Это уравнение еще называется уравнением полного напора, его члены имеют размерность длины. z - геометрический напор, р/ρg - пьезометрический напор, V2/2g - скоростной напор.
Для идеальной жидкости, движущейся вдоль струйки тока, сумма трех напоров: геометрического, пьезометрического и скоростного есть величина постоянная.
В уравнении Бернулли суммарный напор постоянен и из уравнения неразрывности следует: при уменьшении площади поперечного сечения струйки, скорость течения жидкости увеличивается и увеличивается скоростной напор, а пьезометрический напор уменьшается; если площадь струйки увеличивается, скорость уменьшается, а пьезометрический напор возрастает.
Вторая форма уравнения Бернулли, уравнение удельной энергии единицы объема жидкости
Во второй форме члены уравнения Бернулли имеют размерность давления: ρzg — весовое давление, р — гидромеханическое давление, ρv2/2 — динамическое давление.
Третья форма уравнения Бернулли, уравнение удельной энергии
В этой форме члены уравнения Бернулли имеют размерность квадрата скорости. Сумма Hg = zg+P/ρ+ V2/2 называется полной удельной механической энергией движущейся идеальной жидкости. gz — удельная потенциальная энергия. Р/ρ - удельная энергия давления жидкости. V2/2 - удельная кинетическая энергия жидкости.
Энергетический смысл уравнения Бернулли для элементарной струйки идеальной жидкости заключается в постоянстве вдоль струйки полной удельной энергии жидкости. Механическая энергия жидкости может иметь три формы: потенциальная энергия, энергия давления и кинетическая энергия.
Динамика реальной (вязкой) жидкости. Основные понятия.
Модель несжимаемой реальной жидкости учитывает влияние вязкости в виде:
1) потерь энергии потока;
2) неравномерности распределения скоростей слоев жидкости по сечению трубопровода.
При выводе уравнения Бернулли для потока реальной вязкой жидкости делают следующие допущения.
1) Рассматривают средние скорости и средние значения удельной энергии жидкости в данном сечении, то есть проводят осреднение характеристик потока.
2) Принимают, что в пределах рассматриваемых поперечных сечений потока, справедлив основной закон гидростатики, считают гидростатический напор величиной постоянной для всех точек данного сечения.
Мощностью потока называется полная энергия, которую проносит поток через данное сечение в единицу времени.
Мощность элементарной струйки равна произведению δN = Н* δQG
Мощность потока – сумма мощностей элементарных струек в потоке
Учитывая, допущение о том, что гидростатический напор для всех элементарных струек в сечении потока есть величина постоянная, получим мощность потока
Мощность потока - основная энергетическая характеристика плоской модели потока вязкой несжимаемой жидкости.
Средний напор - это удельная механическая энергия потока единицы веса в данном сечении.
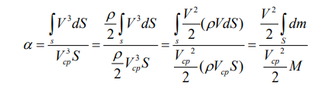
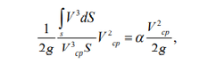
Умножив и разделив последний член на V2 ср , получим третью степень скорости в знаменателе
где α – безразмерный коэффициент Кориолиса, учитывающий неравномерность распределения скоростей и равный
Коэффициентом Кориолиса называется отношение удельной кинетической энергии потока в данном сечении, определенной по действительным скоростям, к кинетической энергии потока, определенной в том же сечения по усредненной при скорости и равномерном распределении скоростей.
Ур-ие баланса уд. энергий в потоке
2. Уравнение Бернулли для элементарной струйки вязкой жидкости.
От уравнения Бернулли для элементарной струйки идеальной жидкости это уравнение отличается четвертым членом в правой части - потерей полного напора и коэффициентами Кориолиса, учитывающим неравномерность распределения скоростей. Энергия, теряемая жидкостью на рассматриваемом участке течения, превращается в тепловую форму энергии. Это уравнение Бернулли применимо не только для жидкостей, но для газов при условии, что скорость их движения значительно меньше скорости звука.
4. Местные гидравлические сопротивления.
Поток жидкости, проходя, через сужение или расширение трубопровода деформируется. При деформации возникают завихрения струек жидкости, из-за трения жидкости образуются вихри и создается гидравлическое сопротивление.
Местными сопротивлениями называются короткие участки трубопроводов, на которых происходит деформация потока, изменение скорости или направления движения жидкости. К местным сопротивлениям в трубопроводах и гидромашинах относят:
- внезапные расширения,
- постепенные расширения,
- внезапные сужения,
- постепенные сужения,
- поворот потока на некоторый угол,
- разветвления потока.
Потери энергии в местных сопротивлениях могут быть вычислены по скоростному напору по формуле Вейсбаха-Дарси:
Коэффициентом местного сопротивления называется отношение величины потерь к скоростному напору
где V – средняя скорость потока в сечении S. Коэффициент ζ(дзета) безразмерный, это доля потерь напора в скоростном напоре.
Величина коэффициента зависит: от числа Рейнольдса, формы и размеров местного сопротивления, шероховатости его поверхностей, для запорных устройств от степени их открытости.
Постоянство коэффициентов и пропорциональность потерь напора квадрату скорости называется турбулентной автомодельностью.
Потеря напора при внезапном расширении равна разности скоростных напоров в сечениях для турбулентного режима движения при α1=α2. Эту формулу называют формулой Борда в честь французского ученого, который вывел ее в 1766 г.
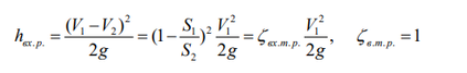
Потери энергии при входе жидкости из трубы в резервуар(вх.р.)
Местное сопротивление, при котором труба постепенно расширяется, называется диффузором.
Диффузор уменьшает потери, возникающие при внезапном расширении.
а) при 0 <α < 8-10º на всем протяжении диффузора наблюдается безотрывное движение жидкости;















