teoria_mzhg_ekz (834407), страница 8
Текст из файла (страница 8)
Определяем Re, чтобы проверить правильность выбора λ. Если не задан, λ определяется по формуле, соответствующей области шероховатых труб.
Для определения давления в опасном сечении С-С, составляется уравнение Бернулли для поверхностей 0-0 и сечения С-С, можно взять сечение С-С и поверхность 1-1 в избыточных давлениях
РвС - давление недостаточное до атмосферного в т.С.
Абсолютное давление в точке С РС=Ратм-РвС меньше атмосферного.
Следует сделать проверку. При Рн.п.≥ Рат – РвС происходит выделение воздуха из жидкости, при Рн.п.≤ Рат – РвС воздух не выделяется и обеспечивается нормальная работа трубопровода. Условие нормальной работы
где РвС - вакуум в точке С, Ратм – атмосферное давление, Рн.п. – давление насыщенных паров жидкости при данной температуре.
20. Расчет трубопроводов с параллельными ветвями, с концевой и непрерывной раздачей.
Трубопровод называется сложным, если он имеет параллельные соединения и разветвленные участки. Сложный трубопровод состоит из нескольких труб-ветвей, между которыми распределяется жидкость. Узлами сложного трубопровода называются его сечения, в которых несколько ветвей соединяются.
Типы сложных трубопроводов: а) с параллельными ветвями; б) с концевой раздачей жидкости; в) с непрерывной раздачей жидкости;
Уравнение сложного трубопровода сводится к уравнению простого трубопровода, и в таком уравнении обычно не учитываются скоростные напоры из-за того, что потери по длине бывают существенно больше, чем скоростные напоры.
Уравнение сложного трубопровода
где Н - напор, V- скорости, Q - расход, d,l - размеры трубопровода, Δ шероховатость стенок, λ - коэффициент сопротивления трению.
Задачи решаются с помощью системы двух уравнений:
1) уравнения баланса расходов для каждого узла;
2) уравнения баланса напоров (уравнений Бернулли) для каждой ветви трубопровода.
Система уравнений должна быть замкнутой, число неизвестных в ней должно быть равно числу уравнений.
Допущения при решении систем уравнений
1) Сложные трубопроводы являются длинными, поэтому пренебрегают скоростными напорами. Если трубопроводы оканчиваются насадками, открытыми в атмосферу, при составлении баланса напоров следует учитывать скоростные напоры, добавляя их в правую часть уравнения Бернулли, поскольку он соизмеримы с потерями по длине
2) В каждом расчетном сечении трубопровода полный напор потока принимают равным гидростатическому напору.
3) В сложных трубопроводах пренебрегают местными потерями напора в узлах.
4) Для упрощения расчетов напор в узле принимают одинаковым для сечениий всех труб, примыкающих к узлу.
Потери напора выражаются через скорость или расход
где Li = li +liэ - приведенная длина трубы, в которую входят эквивалентные длины liэ=Σk (ζkdi/ λi ), заменяющие местные сопротивления, li и di - длина и диаметр трубы, ζk—коэффициент местного сопротивления, Vi - средняя скорость потока в трубе, λi - коэффициент сопротивления трения.
Числовой множитель в формуле равен 0,0827=16/ (π2 *2g), где g =9,81 м/c2.
Сложный трубопровод с параллельными ветвями
Плоскость сравнения выбирается по уровню жидкости в приемнике z=0. На рис.13.1. приняты следующие обозначения
а) гидростатические напоры:
- в узле А ZA+ PA/ρg,
- в узле В ZВ+ PВ/ρg.
б) расходы:
- в подводящей трубе – Qп,
- в параллельных трубах: Q1, Q2, Q3,
- в отводящей трубе – Qо.
Потери напора в подводящей трубе - hп, на разветвленном участке – hi, в отводящей трубе – hо.
Потери в параллельных трубах разветвленного участка в соответствии с принятыми допущениями равны разности гидростатических напоров в узлах (не учитываются скоростные напоры)
Используя уравнения Бернулли и пренебрегая скоростными напорами, в соответствии с допущениями, получим:
1) уравнения баланса расходов:
- для узла А QП=Q1+Q2+Q3,
- для узла В Q1+Q2+Q3 = QО,
QП=QО.
2) уравнения баланса напоров (уравнения Бернулли) для каждой ветви трубопровода:
- баланс напоров в подводящей трубе Н – (ZA+ PA/ρg) = hп,
- баланс напоров в параллельных трубах (ZA+ PA/ρg) – (ZВ+ PВ/ρg) = h1 = h2 = … = hi,
- баланс напоров в отводящей трубе ZВ+ PВ/ρg = hо,
- баланс напоров в сложном трубопроводе с параллельными ветвями Н = hП +hi +hо
где Н - располагаемый напор трубопровода, т.е. перепад напоров между питателем и приемником, где ZА и ZВ – гидростатические напоры в узлах А и В, hП, hi,hо – потери напора в подводящем трубопроводе, на разветвленном участке, в отводящем трубопроводе.
Из этих равенств получаем систему уравнений для определения параметров сложного трубопровода с параллельными ветвями:
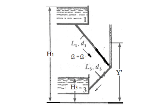
Трубопроводы с концевой раздачей. Задача о трех резервуарах
Трубопроводом с концевой раздачей называется трубопровод, в котором жидкость, поступающая к узлам из питателей, распределяется между несколькими ветвями, при этом в приемниках, к которым она направляется, имеются различные напоры жидкости.
Верхний резервуар 1 всегда является питателем, и жидкость от него поступает к узлу. Нижний резервуар 3 всегда является приемником, и жидкость поступает к нему от узла. Резервуар 2 может быть как приемником, так и питателем.
Направление потока в трубе 2 определяется соотношением между напором У в узле А и напором Н2 в среднем резервуаре. Возможны три случая распределения расходов в трубах и в соответствии с этим три различные системы расчетных уравнений.
А
налитический метод решения "задачи о трех резервуарах"
1. Напор в узле больше напора в резервуаре, УА > H2. Жидкость из резервуара 1 перетекает в резервуары 2 и 3 , система уравнений принимает вид.
2
. Напор У в узле меньше напора Н2 в резервуаре 2, У < Н2. Жидкость из резервуаров 1 и 2 перетекает в резервуар 3, система уравнений имеет вид
3. Напор в узле равен напору в резервуаре 2: У = Н2. Жидкость перетекает из резервуара 1 в резервуар 3, система уравнений
Прием «выключение ветви».
Для определения направления потока в трубе 2, ветвь 2 выключается.
1. Трубу 2 отсоединяют от узла А при выключенной трубе Q2 = 0, Q1=Q3, после чего находят напор в узле А. Его обозначают У' - напор в узле при выключенной трубе 2.
2. Составляем два уравнения Бернулли для поверхности в резервуаре 1 и сечения в узле и второе уравнение для узла и поверхности в резервуаре 3.
Суммируем уравнения (1) и (2) и подставляем полученное в (1)
3. Если это уравнение дает значение У’> Н2 при включении трубы 2 направление движения жидкости от узла к второму резервуару, работа соответствует первому случаю.
4. Если У’< Н2, при включении трубы 2 - второй случай: жидкость идет от резервуара 2 к узлу.
5. Если У’ = Н2, при включении трубы 2 расход в ней равен нулю, соответствует третьему случаю.
Трубопроводы с непрерывной раздачей.
Трубопроводом с непрерывной раздачей называется такой трубопровод, в котором на некоторой длине L часть расхода Qп (путевой расход) равномерно потребляется в большом числе пунктов, расположенных на одинаковых расстояниях друг от друга.
Остальная часть расхода Qт (транзитный расход) транспортируется через участок L в последующие участки трубопровода. Расчет трубопроводов с непрерывной раздачей выполняют в предположении, что жидкость отбирается из трубопровода непрерывно и равномерно с интенсивностью q (л/с)*м по всей длине L разветвленного участка. При этом путевой расход
Потерю напора на разветвленном участке L трубопровода можно подсчитать по формуле
21. Уравнение трубопровода с насосной подачей жидкости.
Насосы являются источниками энергии в гидравлических системах. Энергия, созданная насосом, передается потоку жидкости и расходуется на привод механизмов и на преодоление потерь энергии в насосе, соединительных линиях, механизмах.
Включение насоса в сеть изменяет баланс напоров. Без насоса источник энергии - разность уровней жидкости в питающем и приемном резервуарах. Источник энергии должен обеспечить подачу жидкости на высоту z2- z1, преодолеть разность пьезометрических и скоростных напоров и потери напора во всасывающей и напорной магистрали.
Полные напоры в конечных сечениях 1-1 и 2-2
Уравнение баланса напоров в трубопроводе с включением насоса















