teoria_mzhg_ekz (834407), страница 9
Текст из файла (страница 9)
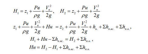
Напор насоса
где Н1 и Н2 — полные напоры потока в начальном 1 и конечном 2 сечениях трубопровода, Σhвс., Σhн.- сумма потерь напора во всасывающем и напорном трубопроводе.
Энергия, сообщенная жидкости насосом, отнесенная к весу перекачиваемой жидкости, называется напором насоса. Напор насоса затрачивается на преодоление геометрического, пьезометрического, скоростного напора в гидросистеме и гидравлических сопротивлений во всасывающем и напорном трубопроводах. В уравнении баланса напоров с насосом обычно не учитываются внутренние потери в самом насосе.
Статический напор установки
Трубопроводы и входящие в него элементы, включая исполнительные механизмы, называют трубопроводной сетью или установкой. Это сеть трубопроводов без насоса.
Статическим напором установки называют разность гидростатических напоров жидкости в напорном и приемном резервуарах. (без напора насоса). Если давление на свободных поверхностях жидкости в резервуарах равно атмосферному давлению, статический напор представляет собой разность уровней жидкости в резервуарах.
Характеристика установки - сумма статического напора и потерь в трубопроводе от расхода.
где Нст- статический напор, Σh – сумма потерь во всасывающем и нагнетающем трубопроводах.
Если давление в резервуарах при работе насоса не равно атмосферному, например, на рис. 14.2 в питающем резервуаре имеется разряжение (Рв1), а в напорном резервуаре - избыточное давление больше атмосферного (Ри1), статический напор равен разности геометрического и пьезометрических уровней в резервуарах (рис.14.2). При этом пьезометрические напоры (Ри2+Рв1) – складываются. Если давление в питающем резервуаре давление избыточное, пьезометрические напоры вычитаются (Ри2-Ри1).
Потребным напором установки, называют энергию, которую необходимо придать единице веса жидкости для ее перемещения из питающего в приемный резервуар по трубопроводу при заданном расходе. При работе насоса на длинный трубопровод, пренебрегают малыми скоростными напорами в резервуарах и скоростным напором на выходе и потребный напор равен
где ∑hп.н— сумма потерь напора, Σhвс. – сумма потерь во всасывающей линии, включая потерю на входе во всасывающую трубу, Σhн. – сумма потерь в напорной линии, включая потери при входе в трубу и при выходе из трубы в напорный резервуар, если они соизмеримы с потерями по длине.
При работе насоса на трубопровод с концевым насадком (рис. 14.3), если скоростной напор на выходе из насадка сравним с потерями по длине в трубах, он должен учитываться в уравнении потребного напора.
Потребный напор при учете скоростного напора равен
где V2/2g - скоростной напор на выходе из напорной трубы при турбулентном режиме и α = 1.
При установившемся режиме работы установки, когда расход в системе трубопроводов не изменяется со временем, напор насоса равен потребному напору установки
Рабочей точкой называется точка совместной работы насоса и установки. Установкой называется сеть трубопроводов без насоса, ее характеристика зависит от расхода и является суммой статического напора и потерь в трубопроводе.
где ∑hп - зависимость суммарных потерь напора в трубопроводе от расхода, включающая потери во всасывающем и напорном трубопроводе. Характеристика установки зависит от режима движения жидкости в трубопроводе.
При турбулентном режиме характеристика - квадратичная зависимость
где коэффициент сопротивления трубопровода kТ равен сумме коэффициентов kвс всасывающей и kн напорной линий k = kвс + kн, каждый из которых выражается формулой k= 0,0827 l(L /d5).
Если движение в трубопроводе является ламинарным, характеристику трубопровода выражают формулой
где коэффициент kл равен
22. Гидравлические машины для перемещения жидкости. Основные параметры насосов, лопастные и объемные гидромашины.
Насосами называются гидравлическими машины, передающие через жидкость, механическую энергию от приводных двигателей потребителю. Работа насоса характеризуется его подачей, напором, потребляемой мощностью, полезной мощностью, КПД и частотой вращения.
Подачей насоса называется количество жидкости, подаваемое насосом в единицу времени через напорный патрубок.
Напором насоса называется разность удельных энергий единицы веса жидкости между напорным и всасывающим патрубком.
1) Разместим насос в баке (рис1а), так чтобы его всасывающий и напорный патрубки были на одинаковой высоте и имели одинаковый диаметр, насос перекачивает жидкость из бака в бак. Скоростные напоры будут равны, и напор насоса будет затрачиваться только на преодоление внутренних потерь насоса.
2) Если диаметры всасывающего и напорного патрубков разные, скорости в напорном и всасывающем патрубке разные, в правую часть уравнения добавится разность скоростных напоров.
3) Если имеются давления на нагнетании (избыточное) и на всасывании (избыточное давление или вакуум) потребуется преодолевать разность пьезометрических напоров, она добавится в правую часть.
4) Если к насосу подсоединить трубопроводы, разместить его на высоте (z2 -z1), насос будет преодолевать потери в напорном и всасывающем трубопроводах и разность геометрический напоров.
Напор насоса в уравнении Бернулли включается в левую часть, это энергия, которой мы располагаем. Напор насоса равен разности напоров в напорном и всасывающем патрубках.
где Рв, Рн, Vв, Vн –давления и скорости в напорном и всасывающем патрубках, hн. – потери в насосе, Σhп.в. – потери во всасывающем трубопроводе, Σhп.н. – потери в нагнетающем трубопроводе, z2, z1 – положение входного и выходного сечения всасывающего и напорного трубопроводов.
Потребляемой мощностью насоса - NД называется энергия, подводимая к насосу от двигателя за единицу времени. Это мощность двигателя, который приводит насос. Единица веса жидкости приобретает удельную энергию в количестве Н в метрах, за единицу времени через насос проходит жидкость весом G=Qρg.
Полезной мощностью насоса называется энергия, приобретенная весом жидкости за единицу времени
Nп= Н*Qρg. Потребляемая мощность Nд больше полезной мощности Nп на величину потерь в насосе. Эти потери мощности оцениваются КПД насоса - η.
КПД насоса равен отношению полезной мощности насоса к потребляемой насосом мощности двигателя.
η= Nп/Nд
Рабочий процесс лопастного насоса
На рис.15.2 изображена схема центробежного насоса. Насос имеет подвод – 1(сторона всасывания), рабочее колесо - 2 и отвод – 3 (диффузор). По подводу жидкость подается в рабочее колесо. Рабочее колесо крепится на валу и состоит из дисков, между которыми находятся лопатки, изогнутые в сторону противоположную направлению вращения колеса, такое направление позволяет придать частицам жидкости скорость и ускорение в направлении отвода. Назначением рабочего колеса является сообщение энергии двигателя жидкости. Направление движения жидкости через колесо от центральной части к периферии. По отводу жидкость от рабочего колеса движется к напорному патрубку.
Жидкость под действием лопаток получает скорость, скорость от всасывания к нагнетанию увеличивается и формируется скоростной напор, статическое давление также увеличивается, момент от двигателя преобразуется в разность статических напоров на входе и выходе. В диффузоре кинетическая энергия потока преобразуется в потенциальную энергию давления (скорость – давление в уравнении Бернулли). Потенциальная энергия растет в направлении от рабочего колеса к напорному патрубку (диаметр увеличивается, скорость - меньше, давление - больше по уравнению Бернулли). Энергия передается жидкости путем динамического воздействия лопаток на поток. Поэтому одно из названий центробежных насосов – динамические насосы. Момент сил сопротивления движению жидкости направлен противоположно направлению вращению рабочего колеса, поэтому лопатки профилируют, учитывая величину подачи, частоту вращения, направление движения жидкости. Преодолевая момент, рабочее колесо совершает работу. Основная часть энергии, подведенной к рабочему колесу, передается жидкости, часть энергии теряется на преодолении сопротивлений.
Теоретическим напором - НТ называется удельная энергия, передаваемая единице веса жидкости рабочим колесом насоса.
U1=R1ω — переносная (окружная) скорость частицы на входе, U2 = R2 ω — скорость частицы на выходе, проекции абсолютных скоростей V2 ,V1 на направления U2 и U1 равны Vu2 = V2Cosα2 и Vu1 = V1Cosα1 - проекции векторов (абсолютных скоростей на направления переносных скоростей, перпендикулярных к радиусам R1 и R2 , получим теоретический напор
На рис. 15.5 изображен баланс энергии в лопастном насосе. К насосу подводится мощность Nд двигателя. Для насоса это приводная мощность, часть этой мощности при преобразовании в энергию жидкости теряется
В механические потери входят:
- потери на трение в подшипниках;
- в уплотнениях вала;
- на трение наружной поверхности рабочих колес о жидкость, т.н. «дисковое трение».
В гидравлические потери входят:
- потери мощности, вызванные вязкостью жидкости, потери на трение слоев жидкости друг о друга, это аналог потерь напора в гидролиниях.
В объемные потери входят:
- потери, связанные с утечками жидкости через зазоры и уплотнения.
Объемные гидропередачи и гидромашины.
В объемном насосе преобразование осуществляется в процессе попеременного заполнения рабочей камеры жидкостью и ее вытеснения из этой камеры.
Рабочая камера пространство, ограниченное поверхностями рабочих органов, которое периодически изменяет свой объем и попеременно сообщается с полостями всасывания и нагнетания. По форме рабочих органов, образующих рабочие камеры, гидромашины, которые нашли наибольшее применение в технике, можно разделить на поршневые, пластинчатые, зубчатые и винтовые.














