165402 (739634)
Текст из файла
46
ВКР “МАТИ—РГТУ Живых Виктор В. 2001 г.Структура и адгезионные свойства отверждённых
эпоксидных смол
СОДЕРЖАНИЕ
| Введение…………………………….……………………………… ………….….…. | 2 |
| 1. Структура и свойства эпоксидных смол…………………………….……….…. | 3 |
| 3 |
| 7 |
| 2. Отверждение эпоксидных смол, их структура и свойства в отверждённом состоянии……………………………………………………………………………. | 10 |
| 2.1. Оверждение эпоксидных смол………………………………………………... | 10 |
| 2.2. Структура и свойства отверждённых эпоксидных смол……………………. | 16 |
| 3. Теоретические основы адгезии и экспериментальные методы определения адгезионной порочности……….……………………………......……….….…….. | 19 |
| 3.1. Теории адгезии……….………………………………...……….……….…….. | 19 |
| 3.2. Методы измерения адгезионной прочности………………………….……… | 23 |
| 3.3. Характер разрушения адгезионных соединений……………………………. | 30 |
| 4. Адгезионные свойства эпоксидных смол к субстратам различной природы | 32 |
| 4.1. Адгезия эпоксидных смол к металлам……………………………………….. | 32 |
| 4.2. Адгезия эпоксидных смол к стеклу…………………………………………... | 33 |
| 4.3. Адгезия эпоксидных смол к различным волокнам………………………….. | 34 |
| 5. Растровая электронная микроскопия как метод исследования поверхностей адгезионного контакта и разрушения……….…………………. | 42 |
| 5.1. Теоретические основы метода……….……………………………….…….… | 42 |
| 5.2. Устройство и работа растрового электронного микроскопа……………….. | 43 |
адгезионных соединений……………………………………………………… | 45 |
| Заключение ………………………………………………………………………….. | 47 |
| Литература…………………………………………………………………………… | 49 |
ВВЕДЕНИЕ
Целью данной работы- изучить структуру и адгезионные свойства отверждённых эпоксидных смол.
Эпоксидные смолы обладают высокой адгезией к различным материалам и поэтому используются в качестве клеёв, связующих в композиционных материалах и в качестве различных покрытий. Поэтому задача этой работы заключается в том, чтобы изучить получение эпоксидных смол, процесс их отверждения и адгезионные свойства к конкретным материалам различной природы.
Работа состоит из пяти основных разделов. В первом будут рассмотрены вопросы получения эпоксидных смол, их структура и свойства в неотверждённом состоянии.
Во втором разделе речь идёт о механизмах отверждения смол, структуре и свойствах после отверждения.
В третьем разделе рассмотрены основные теории адгезии полимеров, методы которые используются для измерения адгезионной прочности на практике, а также возможный характер разрушения адгезионной системы.
Эпоксидные смолы обладают разными адгезионными свойствами к материалам различной природы. Об этом и рассказывается в четвёртом разделе.
Пятый раздел рассказывает о растровой электронной микроскопии, о её роли при исследовании адгезии.
-
Структура и свойства эпоксидных смол
1.1. Получение эпоксидиановых смол
Эпоксидиановые смолы получаются при взаимодействии дифенилпропана с веществами, содержащими эпоксидную группу
. Основным сырьём для производства смол являются эпихлоргидрин и 4,4' дигидроксидифенилпропан (диан).
Эпихлоргидрин (3-хлор-1,2-эпоксипропан) представляет собой бесцветную жидкость с запахом хлороформа и кипит при 110 0С, плотность d=1,1807 г/см3. Получают его из аллихлорида по хлоргидринному методу:
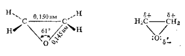
Молекула эпихлоргидрина содержит две активные группировки- эпоксидную и связь С-Сl. Эпоксидный цикл представляет собой почти правильный треугольник со значительно деформированными валентными углами (600). Поэтому происходит только частичное перекрывание атомных орбиталей и энергия связей уменьшается:
Эпоксидная группировка полярна и имеет дипольный момент =6,28 10 -30 Кл м (1,88 D). Причинами этого являются полярность связей С—О и небольшой угол СОС, тогда как в обычных простых эфирах угол СОС равен 109 - 1120 и ==4-10-30...4,3-10-30 Кл м (1,2. . .1,3D).
Химические превращения эпоксидов определяются тем, что в молекуле имеются полярные связи С—О и атом кислорода с неподелёнными парами электронов. Связь С—О в эпоксидах разрывается легко, особенно в условиях кислотного катализа.
Дигидроксидифенилпропан (диан) представляет собой кристаллическое вещество с температурой плавления 156-157 оС:
Его получают из фенола и ацетона в присутствии кислого катализатора.
Эпихлоргидрин взаимодействует по эпоксидной группе с активным атомом водорода. Образующийся хлоргидрин под действием основания подвергается дегидрохлорированию с образованием новой эпоксидной группы в глицидиловом производном, которая реагирует с активным атомом водорода другой молекулы и так далее; при дегидрохлорировании HCl связывается основанием (например, NaOH, давая в этом случае NaCl+H2O):
(Кат.- катализатор, в качестве которого используют основания, кислоты, соли металлов: n=0-3). Если реакцию проводят в присутствии кислот, то на концах молекул остаются хлоргидриновые группы; поэтому для осуществления дегидрохлорирования добавляют щёлочь.
Молекулярная масса эпоксидиановых смол определяется соотношением исходных соединений. Из-за протекания побочных реакций (гидролиз эпихлоргидрина до глицерина и эпоксигрупп глицидиловых производных до -гликолевых групп, изомеризация эпоксидных групп в карбонильные и взаимодействие первых с образующимися гидроксильными, образование концевых 1,3-хлоргидриновых групп
, не замыкающихся в эпоксидный цикл) и из-за обратимости дегидрохлорирования, обуславливающей наличие 1,2-хлоргидриновых групп, количество эпоксидных групп в молекуле эпоксидиановой (или эпоксидной) смолы всегда меньше теоретического (например, в случае бифункциональных исходных соединений 1,5 - 1,9).
При взаимодействии дифенилпропана с эпихлоргидрином образуется полимер с прямой цепью, характеризующийся двумя функциональными группами- эпоксидной и гидроксильной. Строение неотверждённых ароматических эпоксидиановых смол может быть выражено следующей формулой :
Она содержит две конечные эпоксидные группы, и поэтому её рассматривают как диэпоксид.
Вдоль цепи имеются гидроксильные группы, число которых зависит от молекулярного веса смолы. Изменяя соотношение между количеством эпихлоргидрина и дифенилпропана, можно получить смолы с цепью различной длины и с различным процентным соотношением эпоксидных и гидроксильных групп. В зависимости от молекулярного веса и процентного содержания функциональных групп эти смолы могут быть как жидкими, так и твёрдыми продуктами. Чем выше молекулярный вес и меньше процентное содержание эпоксидных групп, тем выше температура плавления этих смол. Растворимость смол также обусловлена величиной их молекулярного веса. Характеристики некоторых эпоксидных смол отечественных и зарубежных марок приведены в таблице 1.
Таблица 1
Характеристики эпоксидиановых смол [3].
| Техническое наименование | Температура размягчения оС | Молекулярный вес | Содержание эпоксидных групп % |
ОТЕЧЕСТВЕННЫЕ МАРКИ | |||
| ЭД-5 | 5-7 | 400 | 25 |
| ЭД-6 | 3-5 | 550 | 18 |
| ЭД-13 | 50-55 | 1500 | 8-10 |
| ЭД-15 | 60-70 | 2200 | 5-7 |
ЗАРУБЕЖНЫЕ МАРКИ | |||
| Эпон 1064 | 40-45 | ----- | 12,5 |
| Эпон 1001 | 64-76 | 900 | 8,6 |
| Эпон 1004 | 97-103 | 1400 | 5,2 |
| Эпон 1007 | 127-133 | 2900 | 2,0 |
| Эпон 1009 | 145-155 | 3750 | 1,3 |
При синтезе низкомолекулярных диановых эпоксидных смол ( мол. масса 350-450) обычно раствор дифенилолпропана (1 моль) в эпихлоргидрине (8-10 моль) нагревают до кипения и постепенно (5-8 часов) добавляют к нему 40%-ный водный раствор NaOH (2,2 моль). При этом непрерывно отгоняют воду в виде азеотропной смеси с эпихлоргидрином, который после отделения воды возвращают в реактор. После окончания процесса непрореагированный эпихлоргидрин отгоняют под вакуумом, эпоксидиановую смолу растворяют в толуоле, толуольный раствор промывают водой для удаления NaCl. Затем толуол отгоняют, сначала при атмосферном давлении, потом под вакуумом при температуре до 140-150 оС.
Смолы с молекулярной массой 500-1000 получают аналогичным способом, но при молярном соотношении дифенилолпропан : эпихлоргидрин, равном 1: (1,5-1,9), причём процесс ведут в среде растворителя (ксиол, толуол, их смеси с бутиловым спиртом или циклогексаном).
Смолы с молекулярной массой 1000-3500 синтезируют взаимодействием низкомолекулярной эпоксидиановой смолы с дифенилолпропаном в расплаве при 140-210 оС (катализаторы- третичные амины, мочевина, Na2CO3) или дифенилпропана с эпихлоргидрином в присутствии щёлочи в гетерогенных условиях в системах вода – органический растворитель (обычно изопропанол или бутанол) при 70-80 оС. Во втором случае в меньшей степени протекают побочные реакции, получаемые эпоксидиановые смолы имеют более узкое молекулярно-массовое распределение, сравнительно узкий интервал эпоксидных чисел, отличаются более светлым цветом.
Характеристики
Тип файла документ
Документы такого типа открываются такими программами, как Microsoft Office Word на компьютерах Windows, Apple Pages на компьютерах Mac, Open Office - бесплатная альтернатива на различных платформах, в том числе Linux. Наиболее простым и современным решением будут Google документы, так как открываются онлайн без скачивания прямо в браузере на любой платформе. Существуют российские качественные аналоги, например от Яндекса.
Будьте внимательны на мобильных устройствах, так как там используются упрощённый функционал даже в официальном приложении от Microsoft, поэтому для просмотра скачивайте PDF-версию. А если нужно редактировать файл, то используйте оригинальный файл.
Файлы такого типа обычно разбиты на страницы, а текст может быть форматированным (жирный, курсив, выбор шрифта, таблицы и т.п.), а также в него можно добавлять изображения. Формат идеально подходит для рефератов, докладов и РПЗ курсовых проектов, которые необходимо распечатать. Кстати перед печатью также сохраняйте файл в PDF, так как принтер может начудить со шрифтами.
















