165402 (739634), страница 8
Текст из файла (страница 8)
Однако предположения о том, что адгезионные свойства эпоксидных смол обусловлены главным образом наличием эпоксидных групп, разделяются не всеми исследованиями. Имеются эксперименты по зависимости смачиваемости полярных поверхностей эпоксидными смолами от содержания в смоле гидроксильных групп. Сопротивление сдвигу склеенных эпоксидными смолами алюминиевых образцов прямо пропорционально содержанию гидроксильных групп в эпоксидных смолах, отвержденных фталевым ангидридом. Зависимость приведена на рис. 16.
Рис. 16. Зависимость сопротивления сдвигу клеевых соединений алюминия от содержания гидроксильных групп в эпоксидной смоле (отвердитель – фталевый ангидрид).
Эпоксидная, и гидроксильная группы, будучи весьма полярными и реакционноспособными, играют большую роль в адгезии эпоксидных смол к различным субстратам, в том числе к металлам. Роль какой из этих групп является главнее, однозначно ответить нельзя. Всё зависит от конкретных условий — вида и количества отвердителя, природы поверхности субстрата и других факторов.
При адгезии полимера к металлу роль химической природы адгезива оказывается решающей. Важно чтобы адгезив не просто содержал в определенном количестве полярные группы, а чтобы эти группы обладали способностью вступать в интенсивное взаимодействие с поверхностными группами субстрата, например выполняли роль доноров электронов. Чем более четко выражены электронодонорные свойства функциональных групп, тем выше их адгезия к металлу. Между атомами металла и углеводородами в системе адгезив—субстрат возможны химические связи. Между углеводородом и металлом может возникнуть ковалентная связь[6].
Несмотря на возможность химического взаимодействия между металлом и углеводородами, значительно больший интерес для адгезионных систем представляет механизм взаимодействия полимерных адгезивов с окисной пленкой, образующейся практически на любой металлической поверхности. Благодаря этому во многих случаях на границе полимер—металл могут возникать ионные связи. Чаще всего этот тип связей реализуется при контакте металлов с карбоксилсодержащими и гидроксилсодержащими полимерами. Между поверхностью металла, покрытой гидратированной окисной пленкой, и функциональными группами полимеров могут возникать различные химические связи. Эпоксидные смолы с поверхностью металла реагируют по схеме:
Известно что окисные пленки на таких металлах, как алюминий, цинк и олово весьма компактны, прочны, имеют небольшую толщину, отличаются хорошими защитными свойствами и хорошей сцепляемостью с металлом. Окисные пленки на меди, наоборот, отличаются большой толщиной, значительным количеством дефектов и слабой связью с металлом. Поэтому влияние окисных пленок на металлах приводит к разным результатам адгезии. В связи с эти применяют различные способы химической обработки поверхности металлов.
Эксперименты по склеиванию металлов полимерными адгезивами, нанесению на металлы лакокрасочных, электроизоляционных и других покрытий свидетельствует о том, что долговечность связи полимер — металл зависит во многих случаях от таких свойств полимеров, как термостойкость, коэффициент теплового расширения, влагостойкость, озоностойкость, морозостойкость, прочность, модуль упругости и др. Чем меньше различие коэффициентов теплового расширения полимера и металла, тем устойчивее оказывается адгезионное соединение полимер — металл к воздействию высоких температур. Напряжения, возникающие в процессе формирования клеевых соединений и покрытий, также влияют на долговечность связи полимер—субстрат[6].
4.2. Адгезия эпоксидных смол к стеклу
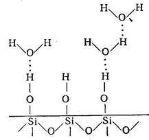
В разделе будет рассмотрена адгезия эпоксидных смол к силикатному стеклу, основным компонентом которого является SiO2. Тетрайдеры кремнийкислородной сетки силикатного стекла содержат также окислы одно-, двух- и трёхвалентных металлов. С тетрайдерами кремнийкислородной сетки структурно связаны поверхностные гидроксильные группы. Кроме гидроксильных групп на поверхности стекла имеется слой сорбированной влаги, достигающий большой величины – порядка сотен ангстрем. Эта влага с трудом удаляется в вакууме при нагревании до 400-500 оС. Схематически поверхность стекла может быть изображена следующим образом:
Учитывая эти особенности, следует ожидать, что высокой адгезией к стеклу обладают полимеры содержащие полярные группы, способные к образованию водородных связей с поверхностными гидроксилами, а также к ион-дипольному, и особенно химическому взаимодействию. Эпоксидные группы взаимодействуют с поверхностью стекла по следующей схеме:
Вследствие этого у эпоксидных смол к силикатному стеклу наблюдается высокая адгезия 300-370 кГ/см2 при сдвиге[6].
4.3. Адгезия эпоксидных смол к волокнам
При определении адгезионной прочности системы волокно - полимер из всех видов механических испытаний можно осуществить только сдвиг или кручение. Использовать для определения адгезионной прочности в подобных системах метод отрыва не удается, так как определить адгезионную прочность при отрыве волокон, склеенных в торец, практически невозможно, а при отрыве волокон, склеенных крест-накрест, невозможно с достаточной точностью определить площадь контакта. Измерение адгезионной прочности при кручении распространения не получило. Для определения прочности соединений полимеров с волокнами практически всегда используют образцы, изображенные на рис.17.
Рис. 17. Образцы для определения сдвиговой адгезионной прочности в соединениях полимеров с волокнами: 1 - волокно диаметром d; 2 - слой полимер толщиной l
Адгезионное соединение возникает на поверхности волокна, погруженного в слой адгезива. Геометрия соединения характеризуется длиной l, определяемой толщиной слоя полимера, и площадью S = dl, где d - диаметр волокна. (Величину S можно называть также площадью контакта). При разрушении образцов измеряют силу F, необходимую для выдергивания волокна из слоя адгезива, т. е. определяют сдвиговую адгезионную прочность. Адгезионную прочность каждого испытанного образца рассчитывают по формуле
Весьма важным является вопрос о том, каков смысл определяемого с помощью этой формулы значения адгезионной прочности. Для строгого выполнения формулы (2) и соответственно, для получения «безусловного» значения необходимо, чтобы: 1)сечение волокна было круглым; 2) диаметр погруженного в матрицу участка волокна — постоянным; 3) волокно равномерно (без нарушения сплошности) было покрыто полимером; 4) видимая и истинная площади соприкосновения волокна и полимера были одинаковы; 5) касательные напряжения на границе раздела между связующим и волокном были распределены равномерно[7]. Предположение о равномерном распределении напряжений в соединениях полимеров с волокнами, как правило, не выполняется, и уже поэтому значение адгезионной прочности, определяемое делением силы на площадь, характеризует некоторое усредненное значение и по этой причине является величиной условной, как и большинство величин, используемых для оценки прочности.
Адгезия эпоксидных матриц к углеродным волокнам
Углепластики — полимерные композиционные материалы на основе углеродных волокон. Обладают комплексом ценных свойств: сочетанием очень высокой жесткости, прочности и термостойкости с малой плотностью. В то же время известно, что углепластики обладают низкой прочностью при сдвиге. Часто это связывают с плохой адгезией связующих к поверхности углеродных волокон, поэтому определение прочности сцепления полимеров с поверхностью этих волокон представляет особый интерес.
Проведение таких опытов сопряжено с большими трудностями, прежде всего из-за малого диаметра волокон и их повышенной хрупкости. При этом сложно получить соединения таких размеров, чтобы разрушение было адгезионным. В опытах с углеродными волокнами наряду с адгезионно разрушившимся образцами имеется большое число образцов, которые при приложении внешней нагрузки разрушаются по волокну, т. е. когезионно. Однако при тщательно проведенном эксперименте и для этих очень хрупких волокон можно добиться хорошей воспроизводимости результатов[7].
В измерениях подложкой служили английские углеродные волокна Модмор-2 и отечественные на основе полиакрилонитрила. Сечение этих волокон практически круглое, что значительно упрощает расчет адгезионной прочности и вносит меньшую погрешность в определение значения 0. Механические характеристики волокон приведены ниже:
| dcр мкм | ГПа | E ГПа | |
| Углеродное (Модмор-2) Борное ВНИИВЛОН SiC | 9 100 13 100 | 3,0 2,0 4,0 2,3 | 250 400 130 550 |
При производстве углепластиков широко используются различные эпоксидные матрицы, а также связующие с повышенной теплостойкостью. Ниже приведены данные об адгезионной прочности (0, МПа) при взаимодействии термореактивных связующих с углеродными волокнами Модмор-2 и (для сравнения) с бесщелочными стеклянными диаметром 9 мкм (S = 610-3 мм2):
| Углеродное волокно | Стеклянное волокно | |
| Эпоксидиановое ЭДТ-10 Эпоксифенольное 5-211 Эпокситрифенольное ЭТФ Эпоксидные циклоалифатические | 41,5 41,0 43,0 40,5-43,0 | 40,0 41,0 |
Видно, что исследованные связующие обладают высокой адгезией к углеродным волокнам и значения адгезионной прочности близки. Поверхность волокон Модмор-2 обычно покрыта замасливателем. Поэтому кажется весьма вероятным, что разрушение происходит не по границе раздела, а по слою нанесенного замасливателя. При этом естественно, что значения адгезионной прочности для различных композиций практически не различаются.
Косвенным подтверждением такого предположения служат результаты изучения адгезии тех же олигомеров к чистой огнеполированной поверхности непосредственно вытянутых из печи стеклянных волокон и к волокнам бора: в этом случае величина t0 существенно меняется.
Известно, что для увеличения прочности углепластика при межслоевом сдвиге часто используют различные способы окислительной обработки наполнителя: окисление горячим воздухом, обработка озоном, электрохимическая активация методом анодного окисления. Кроме того, поверхность углеродных волокон обрабатывают специальными аппретами[7].
Рассмотрим влияние обработки поверхности углеродных волокон на межфазное взаимодействие для волокон на основе полиакрилонитрила. Адгезионная прочность при взаимодействии связующих с этими волокнами, если их поверхность не подвергнута химической обработке, невысока:
| n | n | 0 МПа | |
| Эпоксидиановое ЭДТ-10 | 32 | 54 | 44,3 |
| Эпоксиноволачная | 31 | 44 | 39,0 |
| Хлорсодержащее Эпоксидное | 59 | 35 | 27,5 |
Адгезионная прочность в этом случае существенно ниже, чем при взаимодействии со стеклянными волокнами. Например, для связующего ЭДТ-10 значение о при взаимодействии со стеклянными волокнами (при одной и той же геометрии соединения) равно 55 МПа.
Активирование поверхности волокон окислительной электрохимической обработкой приводит к существенному повышению прочности на границе раздела. Это, прежде всего, проявляется в том, что при сохранении геометрии соединения резко возрастает число образцов, разрушающихся по волокну. Поэтому требуется значительно уменьшить среднюю площадь; успешно определить значение о удается лишь при Scp=(1,5-2)10-3 мм2. Влияние обработки поверхности на адгезионную прочность (S = 210-3 мм2) иллюстрируют следующие данные:
| Прочность волокон, Мпа | 0 МПа | |
| Исходное волокно | 3000 | 71/52 |
| Озонирование | 2780 | -/78 |
| Электрохимическая обработка | 2800 | 91/- |
В числителе—для эпоксидианового связующего, в знаменателе—для эпоксиноволачного.















