146117 (729227), страница 9
Текст из файла (страница 9)
Увеличение силы трения_ от силы тяжести грунта зоны естественного свода равновесия
при благоприятных условиях:
- для криволинейных участков газопровода
- для прямолинейных участков газопровода
Увеличение силы трения_ от силы тяжести грунта зоны естественного свода равновесия
при неблагоприятных условиях:
- для криволинейных участков газопровода
- для прямолинейных участков газопровода
Дополнительные силы трения от опорных реакций на криволинейных участках Р5 (н):
В - плечо опорных реакций рассчитывается по формуле:
Примечание: усилием Р5 можно пренебречь из-за его незначительной величины.
Увеличением сопротивления при переходе от прямолинейного движения к криволинейному (Р7) можно пренебречь из-за его незначительной величины (Р7 < Р5)
Сила трения от веса полиэтиленовой трубы P8, находящейся вне бурового канала, определяется по формуле:
Р8 = fгп x qгр x 1 = 0,3х155х213=0,99.104 н
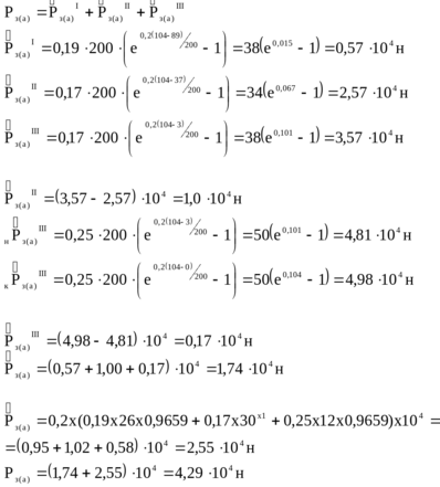
Общее наибольшее продольное усилие в полиэтиленовой трубе при благоприятных условиях Р(а) (Н):
Р (а) = Р2 + Рз(а) = (1,29 + 4,29)104 = 5,58 .104 н
Общее наибольшее продольное усилие в полиэтиленовой трубе при неблагоприятных условиях составит Р(б) (Н):
Р(б) = Р2 + Рз(б) = (1,29 + 8,74)104 = 10,03 .104 н
Наибольшие продольные усилия в полиэтиленовой трубе составят:
при благоприятных условиях
в начале протаскивания:
Р (а) = Р8 = 0,99.104 н
в конце протаскивания:
Р (а) = Р2 + Рз(а) = 1,29х104 + 4,29х104 = 5,58х104 н
при неблагоприятных условиях:
в начале протаскивания:
Р (б) = Р8 = 0,99.104 н
в конце протаскивания:
Р (б) = Р2 + Рз(б) = 1,29х104 + 8,74х104 = 10,03х104 н
Фактическое максимальное продольное усилие в полиэтиленовой трубе находится между 5,5 8.104 ни 10,03.104 н и не превышает силы протяжки буровой установки, равной 10,8. 104 н.
Максимальное допускаемое усилие в полиэтиленовой трубе составляет:
[Р] = 0,5 . σт . F = 0,5 . 21.106 . 0,0158= 16,59 .104 н
Максимальное продольное напряжение в трубе находится между σ(а) = 3,53 МПа и σ(б) = 6,35 МПа.
6.3.4. Расчет усилия протаскивания газопровода по буровому каналу.
а) усилие протаскивания газопровода "Ргп(а)" при благоприятных условиях рассчитывается по формуле:
б) усилие протаскивания газопровода "Ргп(б)" при неблагоприятных условиях (обрушении грунта по всей длине бурового канала и при полной фильтрации бурового раствора в грунт) рассчитывается по формуле:
Фактическое усилие протаскивания газопровода Ргп.факт будет находиться между
и
.
6.3.5. Усилие перемещения буровых штанг
представляет собой суммарное усилие, рассчитанное для проходки пилотной скважины за вычетом усилия "
" (лобового сопротивления бурению).
а) для благоприятных условий:
б) для неблагоприятных условий:
6.3.6. Расчет общего усилия протаскивания "Р".
а) при благоприятных условиях общее усилие протаскивания рассчитывается по формуле:
б) при неблагоприятных условиях (обрушении грунта по длине бурового канала и фильтрации бурового раствора в грунт) общее усилие протаскивания рассчитывается по формуле;
Фактическое общее усилье протаскивания "Рфакт." в реальных условиях будет находиться между пограничными значениями "Р(а)" и "Р(б)".
По максимальной величина усилия "Р(б)" уточняется правильность выбора бурильной установки. Максимальное значение "Р(б)" всегда должно быть меньше тягового усилия выбранной бурильной установки.
6.4. Суммарный крутящий момент для вращения буровой головки
Суммарный крутящий момент для вращения буровой головки и штанг при прокладке пилотной скважины рассчитывается по формуле:
Ш*=Мк*+Мкб*+Мкр*, (92)
где - крутящий момент на преодоление осевых сопротивлений;
-
крутящий момент на проворачивание буртов;
-
крутящий момент на разрушение забоя.
6.4.1. Крутящий момент на преодоление осевых сопротивлений
рассчитывается по формуле:
-
при благоприятных условиях;
- при неблагоприятных условиях;
где - суммарное осевое усилие при благоприятных условиях, которое рассчитывается по формуле:
-
суммарное осевое усилие при неблагоприятных условиях, которое
рассчитывается по формуле:
где:
условное обозначение величин см. п.З.2
б)
условное обозначение величин см. п.З.3
в) при благоприятных условиях
-при неблагоприятных условиях.
Условное обозначение величин см. п. 3.4
г) - при благоприятных условиях
-
при неблагоприятных условиях
Условное обозначение величин см.. п. 3.5.
д) - условное обозначение величин см. п. 3.6.
е) условное обозначение см. п.3.7
4.15 Крутящий момент на проворачивание буртов рассчитывается по
формуле:
-
при благоприятных условиях
-
при неблагоприятных условиях.
В данном расчете применяется коэффициент «f».
Обозначение величин см. п. 3.2.
6.4.2. Крутящий момент на разрушение забоя Мкр* при механическом разрушении забоя вращающейся буровой головкой рассчитывается по формуле:
, где
Кр - удельное сопротивление резанию грунта при прямолинейном движении резца, которое принимается согласно таблице 3.
Таблица 3
| Песок, Н/м2 | Суглинок, Н/м2 | Глина, Н/м2 |
| (0,05-0,08)106 | (0,1 -0,15)106 | (0,13 - 0,25}106 |
Обозначение прочих величин см п. 5.1.1.
6.4.3. Суммарный крутящий момент для вращения расширителя и штанг при протаскивании газопровода по буровому каналу.
М = Мк + Мкб + Мкр,
где: Мк - крутящий момент на преодоление осевых сопротивлений;
Мкб - крутящий момент на проворачивание буртов;
Мкр - крутящий момент на разрушение забоя.
6.4.4. Крутящий момент на преодоление осевых сопротивлений Мк* рассчитывается по формуле:
-
при благоприятных условиях;
-
при неблагоприятных условиях,
где: - суммарное осевое усилие при благоприятных условиях, которое рассчитывается по формуле:
- суммарное осевое усилие при неблагоприятных условиях, которое рассчитывается по формуле:
гдe: a)
условное обозначение величин см. п. 4.2
б)
- условное обозначение величин см.п. 3.3_
в) - при благоприятных условиях.
-
при неблагоприятных условиях.
Условное обозначение величин см. п. 3.4.
г) - при благоприятных условиях.
-
при неблагоприятных условиях.
Условное обозначение величин см. п. 3.5.
д)
Условное обозначение величин см. п.3.6
е)
Условное обозначение см. п.3.7.
6.4.5. Крутящий момент на проворачивание буртов Мкб рассчитывается по формуле:
-
при благоприятных условиях.
-
при неблагоприятных условиях.
В данном расчете применяется коэффициент «f».
Условное обозначение величин см. п. 4.5.
6.4.6. Крутящий момент на разрушение забоя Мкр (при механическом разрушении забоя вращающейся буровой головкой) рассчитывается по формуле:
где: Кр - удельное сопротивление резанию грунта при прямолинейном движении резца, которое принимается согласно таблицы 3.
Условное обозначение величин см. п. 4.2.
По максимальному значению уточняют выбор бурильной установки по крутящему моменту.
6.4.7. Перед протаскиванием газопроводов из полиэтиленовых труб по буровому каналу необходимо рассчитать эксплуатационные нагрузки на трубу газопровода по двум критериям:
- по предельной величине внешнего равномерного радиального давления;
- по условию предельной "овализации" поперечного сечения трубы.
6.4.8. Несущую способность подземного газопровода из полиэтиленовых труб по предельной величине внешнего равномерного радиального давления следует проверять соблюдением неравенства:
где; Ркр. - предельная величина внешнего равномерного радиального давления, при которой обеспечена устойчивости круглой формы стенки трубы, Н/м2.
dн - наружный диаметр газопровода, м.
k2 - коэффициент условий работы трубопровода на устойчивость, принимаемый < 0,6.
Рг - давление грунта свода обрушения;
Ргв - гидростатическое давление грунтовых вод;
Ртп - давление от веса транспортных потоков.
- коэффициенты перегрузки, принимаемые согласно таблицы 4.
Таблица 4
| № п/п | Характер нагрузки | Наименование нагрузки. | Коэффициент перегрузки |
| 1 | Постоянная | Масса трубопровода | 1,1 |
| 2 | Постоянная | Давление грунта | 1,2 |
| 3 | Постоянная | Гидростатическое давление грунтовых вод | 1,2 |
Примечания: 1. Нагрузкой создаваемой весом трубы газопровода пренебрегаем, из-за ее незначительности.
2. Давление газа в газопроводе не учитываем, так как оно разгружает стенку трубы.
6.4.8. За критическую величину "Ркр." предельного внешнего радиального давления следует принимать меньшее из значений, вычисленных по формулам:
где: Рл - параметр, характеризующий жесткость трубопровода, Н/м2, который вычисляется по формуле:
где: - толщина стенки, м















