146117 (729227), страница 7
Текст из файла (страница 7)
Составляющие нагрузки Q:
- от давления грунтов:
где: krp - принимается по таблице 8;
-
от собственного веса газопровода:
Q2 = l,l . qq, (н/м);
-
от выталкивающей силы воды на обводненных участках трассы:
О3 = l,2 . qwi, (н/м);
-
от равномерно распределенной нагрузки на поверхности засыпки:
Q4 = l,4 . qy . de . kн, (н/м);
Где: qq-собственный вес единицы длинны газопровода ,н/м
qq= M*g= 15.8*9.81=155 н/м;
qwi = п/4*рw*g*de2=3.14/4*1000*9.81*0.05=389.85 н/м
qwi -выталкивающая сила на единицу длинны газопровода
qy -интенсивность равномерной распределённой нагрузки на поверхности грунта , н/м
qy= р*g*de*hw;
- от подвижных транспортных средств:
Qs = γт . qт . qe, (н/м);
где γт = 1,1 - коэффициент для нагрузки от гусеничного транспорта
qт - принимается по рисунку 5
При меженном уровне воды в реке для сечения на ГКО +38:
условие соблюдается.
При высоком уровне воды в реке для сечения на ГКО + 38:
При высоком уровне воды в реке для сечения на ГК1+20:
Таким образом, допустимая овализация поперечного сечения трубы обеспечена.
Обеспечение устойчивости круглой формы поперечного сечения газопровода
Устойчивость круглой формы поперечного сечения газопровода проверяется условием:
В качестве критической величины внешнего давления принимается меньшее из двух значений:
|
|
При меженном уровне воды в реке:
При высоком уровне воды в реке:
Таким образом, устойчивость круглой формы сечения газопровода обеспечена.
MRS = 10,0 МПа
Модуль ползучести материала труб Е (te) принимается по графику в зависимости от температуры эксплуатации газопровода te и напряжения в стенке трубы σ
Tэ-tф=0-0=0 OC
где SDR - стандартное размерное отношение;
Р- рабочее давление , МПа;
Коэффициент линейного теплового расширения материала труб
(α =2,2.10-4,(OC)-1
Коэффициент Пуассона материала труб μ = 0,43
Предел текучести при растяжении σТ =21 МПа
Характеристики грунтов на переходе даны в таблице 2.1.
ПРОВЕРКА ПРОЧНОСТИ ПРИНЯТОГО КОНСТРУКТИВНОГО РЕШЕНИЯ.
Проверка прочности газопровода от действия всех нагрузок силового нагружения:
0,4 MRS =0,4 . 10,0 = 4Мпа где,MRS-минимальная длительная прочность
= 0,8 МПа m< 4MПa - условие соблюдено
Проверка прочности газопровода от совместного действия всех нагрузок силового и деформационного нагружения:
Где: Е(t) – модуль ползучести материала труб при температуре эксплуатации , Мпа
d-наружный диаметр газопровода , м;.
ρ = 200 м – радиус упругого изгиба газопровода на русловом участке;
ρ = 40 м - радиус упругого изгиба газопровода на береговых участках;
σоу = 6,35 МПа — максимальные продольные напряжения в трубопроводе при его укладке методом ННБ на русловом участке (см. п.5.3) Определение σпps для руслового участка перехода:
σпрs = 7,34 МПа < 0,9 MRS = 9 МПа - условие соблюдено
Определение σпps для береговых участков перехода:
σпps = 0.995 МПа < 0,9 MRS = 9 МПа - условие соблюдено.
Прочность газопровода обеспечена.
РАСЧЕТ ДОПУСТИМОЙ ОВАЛИЗАЦИИ И УСТОЙЧИВОСТИ КРУГЛОЙ ФОРМЫ ПОПЕРЕЧНОГО СЕЧЕНИЯ ГАЗОПРОВОДА
Обеспечение допустимой овализации поперечного сечения газопровода определяется соблюдением условия:
где:
ζ = 1,3 - коэффициент, принимаемый при укладке на плоское основание;
(н/м) – полная погонная эквивалентная нагрузка,
где: βi – коэффициенты приведения нагрузок,
Qi - составляющие полной эквивалентной нагрузки.
(МПа) - параметр жесткости сечения газопровода;
Егр - модуль деформации грунта засыпки, (МПа);
Ре - внешнее радиальное давление принимается равным:
- для необводненных участков - нулю,
- для обводненных участков - гидростатическому давлению воды Pw, (МПа).
Составляющие нагрузки Q:
- от давления грунтов:
где: krp - принимается по таблице 8;
-
от собственного веса газопровода:
Q2 = l,l . qq, (н/м);
-
от выталкивающей силы воды на обводненных участках трассы:
О3 = l,2 . qwi, (н/м);
-
от равномерно распределенной нагрузки на поверхности засыпки:
Q4 = l,4 . qy . de . kн, (н/м);
Где: qq-собственный вес единицы длинны газопровода ,н/м
qq= M*g= 15.8*9.81=155 н/м;
qwi = п/4*рw*g*de2=3.14/4*1000*9.81*0.05=389.85 н/м
qwi -выталкивающая сила на единицу длинны газопровода
qy -интенсивность равномерной распределённой нагрузки на поверхности грунта , н/м
qy= р*g*de*hw;
- от подвижных транспортных средств:
Qs = γт . qт . qe, (н/м);
где γт = 1,1 - коэффициент для нагрузки от гусеничного транспорта
qт - принимается по рисунку 5
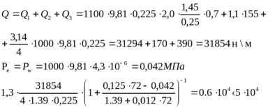
При меженном уровне воды в реке для сечения на ГКО +38:
условие соблюдается.
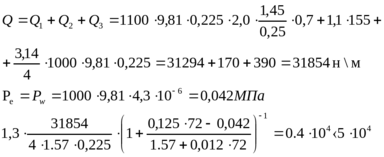
При высоком уровне воды в реке для сечения на ГКО + 38:
При высоком уровне воды в реке для сечения на ГК1+20:
Таким образом, допустимая овализация поперечного сечения трубы обеспечена.
Обеспечение устойчивости круглой формы поперечного сечения газопровода
Устойчивость круглой формы поперечного сечения газопровода проверяется условием:
В качестве критической величины внешнего давления принимается меньшее из двух значений:
|
|
При меженном уровне воды в реке:
При высоком уровне воды в реке:
Таким образом, устойчивость круглой формы сечения газопровода обеспечена.
6.2. РАСЧЕТ УСИЛИЯ ПРОХОДКИ ПИЛОТНОЙ СКВАЖИНЫ
6.2.1. Исходя из закона равновесия сил взаимодействия – усилие проходки пилотной скважины определяют, как сумму всех видов сил сопротивления движению буровой головки и буровых штанг в пилотной скважине:
где:
- лобовое сопротивление бурению (сопротивление движению буровой головки в грунте) с учетом искривления пилотной скважины;
- сила трения от веса буровых штанг (в скважине);
- увеличение силы трения от силы тяжести грунта зоны естественного свода равновесия (по М.М. Протодьяконову);
- увеличение силы трения от наличия на буровых штангах выступов за пределы наружного диаметра;
- дополнительные силы трения от опорных реакций;
- сопротивление перемещению буровых штанг в зоне забуривания за счет смятия стенки скважины;
- сопротивление на выходе при переходе от криволинейного движения к прямолинейному.
Расчет усилия проходки пилотной скважины выполняется для двух пограничных состояний:
-
при благоприятных условиях: при наличии качественного бурового раствора, отсутствие фильтрации раствора в грунт при хорошо сформированной и стабильной пилотной скважине;
-
при неблагоприятных условиях: при обрушении грунта по длине пилотной скважины и фильтрации бурового раствора в грунт.
6.2.2. Лобовое сопротивление бурению
рассчитывается по формуле:
где:
- сила сопротивления бурению, Н;
Ii – текущая длина пилотной скважины при бурении от точки забуривания до выхода пилотной скважины из земли (от 0 до I), м;
R – радиус кривизны пилотной скважины, м;
- условный коэффициент трения вращающегося резца о грунт рассчитывается по формуле:
где: fp – коэффициент трения резца о грунт;
dr – диаметр буровой головки, м;
h – подача на оборот рассчитывается по формуле:
где: - скорость бурения, м/мин;
- угловая скорость бурения, об./мин.
Сила сопротивления бурению
при разрушении грунта вращающейся буровой головкой рассчитывается по формуле:
где: С0 – коэффициент сцепления грунта, Н/м2 (Па);
ер – глубина врезания (вылет резца), м;
- угол внутреннего трения грунта, радиан.
6.2.3. Сила трения от веса буровых штанг в пилотной скважине
рассчитывают по формуле:
где: qш – погонный вес буровых штанг за вычетом выталкивающей силы бурового раствора, Н/м;
R – радиус кривизны бурового канала, м;
I – длина пилотной скважины, м;
Ii – текущая длина пилотной скважины, м.
- углы в радианах (1 радиан – 57,30)
- условный коэффициент трения вращающихся буровых штанг о грунт, смоченный буровым раствором рассчитывается по формуле:
где: dш – наружный диаметр буровых штанг, м;
fш – коэффициент трения штанг о грунт, смоченный буровым раствором.
Погонный вес штанг qш (за вычетом выталкивающей силы бурового раствора) рассчитывается по формуле:
где: ш – удельный вес материала штанг, Н/м3;
ж – удельный вес бурового раствора, Н/м3;
ш – толщина стенки штанги, м.
6.2.4. Для наиболее точного расчёта разбиваем кривую на прямолинейные и криволинейные участки по прохождению участок газопровода на разных слоях грунта.















