146117 (729227), страница 6
Текст из файла (страница 6)
0,4 MRS =0,4 . 10,0 = 4Мпа где,MRS-минимальная длительная прочность
= 0,8 МПа m< 4MПa - условие соблюдено
3.2. Проверка прочности газопровода от совместного действия всех нагрузок силового и деформационного нагружения:
3.2.1.
Где: Е(t) – модуль ползучести материала труб при температуре эксплуатации , Мпа
d-наружный диаметр газопровода , м;.
ρ = 200 м – радиус упругого изгиба газопровода на русловом участке;
ρ = 40 м - радиус упругого изгиба газопровода на береговых участках;
σоу = 6,35 МПа — максимальные продольные напряжения в трубопроводе при его укладке методом ННБ на русловом участке (см. п.5.3) Определение σпps для руслового участка перехода:
σпрs = 7,22 МПа < 0,9 MRS = 9 МПа - условие соблюдено
Определение σпps для береговых участков перехода:
σпps = 0.89 МПа < 0,9 MRS = 9 МПа - условие соблюдено.
Прочность газопровода обеспечена.
РАСЧЕТ ДОПУСТИМОЙ ОВАЛИЗАЦИИ И УСТОЙЧИВОСТИ КРУГЛОЙ ФОРМЫ ПОПЕРЕЧНОГО СЕЧЕНИЯ ГАЗОПРОВОДА
Обеспечение допустимой овализации поперечного сечения газопровода определяется соблюдением условия:
где:
ζ = 1,3 - коэффициент, принимаемый при укладке на плоское основание;
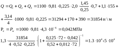
(н/м) – полная погонная эквивалентная нагрузка,
где: βi – коэффициенты приведения нагрузок,
Qi - составляющие полной эквивалентной нагрузки.
(МПа) - параметр жесткости сечения газопровода;
Егр - модуль деформации грунта засыпки, (МПа);
Ре - внешнее радиальное давление принимается равным:
- для необводненных участков - нулю,
- для обводненных участков - гидростатическому давлению воды Pw, (МПа).
Составляющие нагрузки Q:
- от давления грунтов:
где: krp - принимается по таблице 8;
-
от собственного веса газопровода:
Q2 = l,l . qq, (н/м);
-
от выталкивающей силы воды на обводненных участках трассы:
О3 = l,2 . qwi, (н/м);
-
от равномерно распределенной нагрузки на поверхности засыпки:
Q4 = l,4 . qy . de . kн, (н/м);
Где: qq-собственный вес единицы длинны газопровода ,н/м
qq= M*g= 15.8*9.81=155 н/м;
qwi = п/4*рw*g*de2=3.14/4*1000*9.81*0.05=389.85 н/м
qwi -выталкивающая сила на единицу длинны газопровода
qy -интенсивность равномерной распределённой нагрузки на поверхности грунта , н/м
qy= р*g*de*hw;
- от подвижных транспортных средств:
Qs = γт . qт . qe, (н/м);
где γт = 1,1 - коэффициент для нагрузки от гусеничного транспорта
qт - принимается по рисунку 5
При меженном уровне воды в реке для сечения на ГКО +38:
условие соблюдается.
При высоком уровне воды в реке для сечения на ГКО + 38:
При высоком уровне воды в реке для сечения на ГК1+20:
Расчётная схема ниток показана на листе 8.
Таким образом, допустимая овализация поперечного сечения трубы обеспечена.
Обеспечение устойчивости круглой формы поперечного сечения газопровода
Устойчивость круглой формы поперечного сечения газопровода проверяется условием:
В качестве критической величины внешнего давления принимается меньшее из двух значений:
|
|
При меженном уровне воды в реке:
При высоком уровне воды в реке:
Таким образом, устойчивость круглой формы сечения газопровода обеспечена.
2.1. MRS = 10,0 МПа
2.2. Модуль ползучести материала труб Е (te) принимается по графику в зависимости от температуры эксплуатации газопровода te и напряжения в стенке трубы σ
tэ-tф=0-20=20 OC
2.3. Коэффициент линейного теплового расширения материала труб
(α =2,2.10-4,(OC)-1
2.4. Коэффициент Пуассона материала труб μ = 0,43
2.5. Предел текучести при растяжении σТ =21 МПа
2.6. Характеристики грунтов на переходе даны в таблице 2.1.
ПРОВЕРКА ПРОЧНОСТИ ПРИНЯТОГО КОНСТРУКТИВНОГОРЕШЕНИЯ.
3.1. Проверка прочности газопровода от действия всех нагрузок силового нагружения:
0,4 MRS =0,4 . 10,0 = 4Мпа
= 0,8 МПа m< 4MПa - условие соблюдено
3.2. Проверка прочности газопровода от совместного действия всех нагрузок силового и деформационного нагружения:
3.2.1.
где: ρ = 200 м – радиус упругого изгиба газопровода на русловом участке;
ρ = 40 м - радиус упругого изгиба газопровода на береговых участках;
σоу = 6,35 МПа — максимальные продольные напряжения в трубопроводе при его укладке методом ННБ на русловом участке (см. п.5.3) Определение σпps для руслового участка перехода:
σпрs = 7,89 МПа < 0,9 MRS = 9 МПа - условие соблюдено
Определение σпps для береговых участков перехода:
σпps = 1,86 МПа < 0,9 MRS = 9 МПа - условие соблюдено.
Прочность газопровода обеспечена.
РАСЧЕТ ДОПУСТИМОЙ ОВАЛИЗАЦИИ И УСТОЙЧИВОСТИ КРУГЛОЙ ФОРМЫ ПОПЕРЕЧНОГО СЕЧЕНИЯ ГАЗОПРОВОДА
Обеспечение допустимой овализации поперечного сечения газопровода определяется соблюдением условия:
где: ζ = 1,3 - коэффициент, принимаемый при укладке на плоское основание;
(н/м) – полная погонная эквивалентная нагрузка,
где: βi – коэффициенты приведения нагрузок,
Qi - составляющие полной эквивалентной нагрузки.
(МПа) - параметр жесткости сечения газопровода;
Егр - модуль деформации грунта засыпки, (МПа);
Ре - внешнее радиальное давление принимается равным:
- для необводненных участков - нулю,
- для обводненных участков - гидростатическому давлению воды Pw, (МПа).
Составляющие нагрузки Q:
- от давления грунтов:
где: krp - принимается по таблице 8;
-
от собственного веса газопровода:
Q2 = l,l . qq, (н/м);
-
от выталкивающей силы воды на обводненных участках трассы:
О3 = l,2 . qwi, (н/м);
-
от равномерно распределенной нагрузки на поверхности засыпки:
Q4 = l,4 . qy . de . kн, (н/м);
- от подвижных транспортных средств:
Qs = γт . qт . qe, (н/м);
где γт = 1,1 - коэффициент для нагрузки от гусеничного транспорта
qт - принимается по рисунку 5
При меженном уровне воды в реке для сечения на ГКО +38:
условие соблюдается.
При высоком уровне воды в реке для сечения на ГКО + 38:
При высоком уровне воды в реке для сечения на ГК1+20:
Таким образом, допустимая овализация поперечного сечения трубы обеспечена.
Обеспечение устойчивости круглой формы поперечного сечения газопровода
Устойчивость круглой формы поперечного сечения газопровода проверяется условием:
В качестве критической величины внешнего давления принимается меньшее из двух значений:
При меженном уровне воды в реке:
При высоком уровне воды в реке:
Таким образом, устойчивость круглой формы сечения газопровода обеспечена.
MRS = 10,0 МПа
Модуль ползучести материала труб Е (te) принимается по графику в зависимости от температуры эксплуатации газопровода te и напряжения в стенке трубы σ
Tэ-tф=0-10=10 OC
где SDR - стандартное размерное отношение;
Р- рабочее давление , МПа;
Коэффициент линейного теплового расширения материала труб
(α =2,2.10-4,(OC)-1
Коэффициент Пуассона материала труб μ = 0,43
Предел текучести при растяжении σТ =21 МПа
Характеристики грунтов на переходе даны в таблице 2.1.
ПРОВЕРКА ПРОЧНОСТИ ПРИНЯТОГО КОНСТРУКТИВНОГО РЕШЕНИЯ.
Проверка прочности газопровода от действия всех нагрузок силового нагружения:
0,4 MRS =0,4 . 10,0 = 4Мпа где,MRS-минимальная длительная прочность
= 0,8 МПа m< 4MПa - условие соблюдено
Проверка прочности газопровода от совместного действия всех нагрузок силового и деформационного нагружения:
Где: Е(t) – модуль ползучести материала труб при температуре эксплуатации , Мпа
d-наружный диаметр газопровода , м;.
ρ = 200 м – радиус упругого изгиба газопровода на русловом участке;
ρ = 40 м - радиус упругого изгиба газопровода на береговых участках;
σоу = 6,35 МПа — максимальные продольные напряжения в трубопроводе при его укладке методом ННБ на русловом участке (см. п.5.3) Определение σпps для руслового участка перехода:
σпрs = 7,81 МПа < 0,9 MRS = 9 МПа - условие соблюдено
Определение σпps для береговых участков перехода:
σпps = 1.465 МПа < 0,9 MRS = 9 МПа - условие соблюдено.
Прочность газопровода обеспечена.
РАСЧЕТ ДОПУСТИМОЙ ОВАЛИЗАЦИИ И УСТОЙЧИВОСТИ КРУГЛОЙ ФОРМЫ ПОПЕРЕЧНОГО СЕЧЕНИЯ ГАЗОПРОВОДА
Обеспечение допустимой овализации поперечного сечения газопровода определяется соблюдением условия:
где:
ζ = 1,3 - коэффициент, принимаемый при укладке на плоское основание;
(н/м) – полная погонная эквивалентная нагрузка,
где: βi – коэффициенты приведения нагрузок,
Qi - составляющие полной эквивалентной нагрузки.
(МПа) - параметр жесткости сечения газопровода;
Егр - модуль деформации грунта засыпки, (МПа);
Ре - внешнее радиальное давление принимается равным:
- для необводненных участков - нулю,
- для обводненных участков - гидростатическому давлению воды Pw, (МПа).















