128079 (718989), страница 8
Текст из файла (страница 8)
Техника вычисления хи-квадрата довольно проста. Рассмотрим пример со сдачей экзаменов в вузы выпускниками первой и второй школ. В условии сказано, что всего намерены были сдавать экзамены 187 человек: 100 учащихся (53,5%) из первой школы и 87 (46,5%) из второй. Предположим, что выпускники обеих школ подготовлены одинаково, тогда и доли сдавших и не сдавших будут такие же, как доли их представленности в общем числе сдающих. Всего сдало экзамены 126 выпускников (82 + 44). Согласно высказанному предположению, 53,5% от этого числа должны бы были прийтись на 1-ю школу — это составит 66,9 от 126 — и 46,5% на 2-ю школу, что составит 58,9 от 126. Такое же рассуждение повторяем и относительно несдавших. Их всего 61 человек (18 + 43). На 1-ю школу, как нам известно, должно, по предположению, прийтись 53,5% от этого числа, т.е. 33,0 от 61, а на долю 2-й школы — 46,5%, т.е. 28,1 от 61. Нуль-гипотеза, имеющая в данном раскладе тот смысл, что между выпускниками нет различия, при таком соотношении сдавших и несдавших подтвердилась бы. Однако в условиях этого исследования показано другое распределение. Количество выпускников 1-й школы, сдавших экзамены, составляет 82, а не 66,9, как можно было бы предположить, исходя из нуль-гипотезы. Соответственно количество выпускников 2-й школы, сдавших экзамены, составляет в действительности всего 44, а не 58,9. Точно также, сравнивая количество несдавших (по условию с предполагаемым распределением) найдем по 1-й школе 18, а не 33, а по 2-й школе — 43, а не 28,1.
Расхождения между действительными распределениями и распределениями, которые могли бы иметь место, если исходить из нуль-гипотез, налицо. Они-то и учитываются при вычислении x2. Все сказанное удобно представить в виде таблицы-графика распределения численностей (табл. 7). Количества, которые были бы получены при принятии нуль-гипотезы, заключены в скобки. В правом углу буквенное обозначение клетки.
Таблица 7
| Школа | Число сдавших | Число несдавших | Всего | Долевые отношения, % |
| Первая | 82 А (66,9) | 18 В (33,0) | 100 (100) | 53,5 |
| Вторая | 44 С (58,9) | 43 Д (28,1) | 87 (87) | 46,5 |
| Всего | 126 | 61 | 187 | 100 |
Получены разности по клеткам (знак разности несущественен). Клетки:
А fA = 82—66,9= 15,1;
В fB = 18 — 33 = 15,0;
С fC = 44 — 58,9 = 14,9;
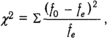
Д fD= 43—28,1= 14,9. Формула хи-квадрат:
где f0— наблюдаемые численности; fe — предполагаемые (теоретические) численности.
В рассмотренном материале x2 = 15,12/66,9 + 152/33 + 14,92/58,9 + 14,92/28,1= 288/66,9 + 225/33 + 222/58,9 + 222/28,1= 3,4 + 6,8 + 3,8 + 7,9 = 21,9
Для получения числа степеней свободы нужно воспользоваться формулой (только для хи-квадрат): fd = (k - 1)(с - 1) = (2 - 1) х (2 - 1) = 1 степень свободы, где k — число столбцов, с — число строк в таблице с анализируемым материалом.
Обратимся к таблице уровней значимости для одной степени свободы для хи-квадрат: x20,99 = 6,6. Следовательно, полученная величина вполне достаточна для отклонения h0. Есть все основания для содержательного вывода о различной степени подготовленности выпускников обеих школ к экзаменам в вузы.
Все вычисления, приводимые в этой главе, ведутся с точностью до первого знака, т.е. вычисляются целые и десятые. Этим объясняется та, в общем-то, несущественная разница при вычислениях одной и той же величины разными способами. Никакого практического значения встречающиеся расхождения в величинах не имеют.
Полезно знать, что коэффициент хи-квадрат и коэффициент четырехпольной корреляции взаимосвязаны и, поскольку известна численность и распределение сопоставляемых выборок, указанные коэффициенты могут быть определены один через другой.
Как показывает само название этого метода, числовой материал, подлежащий статистическому анализу, может быть распределен в таблице-графике, имеющей четыре поля. Такое расположение материала облегчает все последующие действия с ним. Чтобы рассмотреть технику вычисления коэффициента четырехпольной корреляции — он обозначается символом (фи), — можно воспользоваться тем примером, где речь шла о вычислении коэффициента x2. Выпускники двух школ сравнивались между собой по подготовленности к вузовским экзаменам.
| Школы | Сдали | Не сдали | Всего |
| Первая | 82 a | 18 b | 100 a + b |
| Вторая | 44 c | 43 d | 87 c + d |
| Итого: | 126 а + с | 61 b + d | 187 |
Заменив буквенные обозначения числами, получим:
Для получения коэффициента х2 нужно воспользоваться формулой х2 = 2 · n. В данном примере х2 = 0,342 · 187 = 0,1156 · 187 = = 21,7. Этот же коэффициент х2 вычислялся другим приемом. Получено значение 21,9. Расхождение вызвано разницей в технике вычислений.
Коэффициент четырехпольной корреляции может принимать значения от 0 до 1, причем знак получаемого не принимается во внимание.
Психологу, намеренному воспользоваться для статистического анализа своих материалов методом хи-квадрат, нужно знать о некоторых обязательных требованиях этого метода; о них не упоминалось в приведенных примерах. При вычислении коэффициента х2 необходимо брать для анализа только абсолютные численности выборок, но не относительные, в частности, не проценты. Необходимость учитывать это свойство объясняется тем, что значение коэффициента х2 зависит от абсолютных величин рассматриваемых распределений. Так, сравнение выборок с численностями 60 и 40 даст совершенно не тот результат, что сравнение выборок с численностями 6 и 4, хотя процентное отношение распределений в обоих случаях одинаково (60 и 40%).
Далее, для вычисления коэффициента х2 нужно, чтобы в каждой клетке таблицы-графика было не менее пяти наблюдений. Наконец, нужно со вниманием относиться к определению числа степеней свободы; неверное определение этого числа повлечет за собой неверное определение уровня значимости коэффициента по таблице.
Этим заканчивается рассмотрение статистических методов, относящихся ко второму типу задач.
В этих задачах независимо от того, будут ли они практического или теоретического содержания, психолог сопоставляет, сравнивает между собой несколько выборок. При этом не следует забывать, что цель исследования не всегда состоит в том, чтобы при сопоставлении отвергнуть нуль-гипотезу. Иногда конечная или промежуточная цель исследования состоит в том, чтобы, допустим, сравнивая выборки, подтвердить нуль-гипотезу. Самый простой пример: исследователь желает составить большую выборку, для чего необходимо объединить в ней учащихся нескольких школ. Естественно, решающее значение имеет доказательство того, что группы учащихся из разных школ относятся к одной совокупности, нужно, чтобы примененные критерии подтвердили это, а значит, статистика должна подтвердить при сравнении групп нуль-гипотезу. Подтвердить или отвергнуть нуль-гипотезу при сопоставлении выборок — в этом и состоит назначение статистических критериев; наиболее простые из них были изложены в предшествующем тексте. Конечно, информация, которую выявят статистические методы, может быть противоречива утверждениям, которые намерен защищать исследователь. В таком случае ему придется внести поправки в свои утверждения или отказаться от них.
Переходим к задачам третьего типа — задачам, рассматривающим динамические, временные ряды.
Недели эксперимента
Рис. 4
редположим, что психологу дано задание собрать информацию о состоянии умственной работоспособности школьников 8-х классов, начиная со второй недели учебного года и до девятой недели включительно. Одной из методик, с помощью которых можно фиксировать состояние умственной работоспособности, считается тест Крепелина. Он состоит из большого количества примеров, в каждом из них нужно складывать два двузначных числа; учитывается общее число правильно решенных примеров. Каждые 3 минуты испытуемые по сигналу экспериментатора отмечают черточкой сделанное. Общая длительность эксперимента в зависимости от возраста составит 9, 12 или 15 минут. Этой методикой и воспользовался психолог. Он начал с того, что сформировал из учащихся, средние успехи которых оценивались за предыдущее полугодие баллами 4 и 5, выборку из 10 человек. Все они изъявили желание участвовать в эксперименте. С этими учащимися психолог в течение первой недели учебного года провел по 12 тренировочных занятий; это было необходимо, иначе рост продуктивности вследствие упражняемости замаскировал бы изменения в динамике работоспособности. Затем начался эксперимент: по субботам после уроков учащиеся этой выборки в течение 12 минут работали с тестом Крепелина. Эксперимент, как было сказано, продолжался 8 недель. Были получены следующие данные, средние по всей выборке (рис. 4).Визуальная оценка полученного динамического ряда свидетельствует о снижении умственной работоспособности, в чем, конечно, нет ничего удивительного. Однако снижение идет не вполне равномерно. Это ясно видно из графика.
| Недели эксперимента | I | II | III | IV | V | VI | VII | VIII |
| Средняя продуктивность по тесту Крепелина | 92 | 94 | 90 | 92 | 81 | 74 | 78 | 70 |
Основная тенденция изменения умственной работоспособности вполне ясна. Наблюдаемые, в общем, незначительные отклонения от этой тенденции могут быть на графике устранены методом сглаживания. В этом случае применим метод скользящей средней. Для сглаживания суммируются три показателя у — в данном примере это показатели продуктивности по тесту, — далее, опуская по одному показателю, суммируются одна за другой триады. Средняя каждой триады принимается за показатель сглаженной ломанной, если ориентироваться по графику. Смысл проводимого действия состоит в том, что основная тенденция выступает более отчетливо.
| 92 | 92 | 88 | 82 | 77 | 74 | — средние по триадам | |
| 92 | 94 | 90 | 92 | 81 | 74 | 78 | 70 |
В только что рассмотренном примере сглаживание имеет такой вид:
Результаты сглаживания приобретают большую наглядность при нанесении их на график. Выступает основная тенденция динамики умственной работоспособности. Судя по показателям, полученным после сглаживания, в течение первых трех экспериментальных недель значительного снижения работоспособности не наблюдается, а далее идет непрерывное и резкое ее снижение. Сглаживание, как видно на графике, устранило колебания в работоспособности, отмеченные на первичном графике после V недели. При сглаживании по триадам общее число точек уменьшается на 2.
Какое значение имеет выделение посредством сглаживания основной тенденции? Если условия, благодаря которым возникла основная тенденция, сохранятся, то и эта тенденция с высокой вероятностью сохранится и, таким образом, по основной тенденции может быть построен прогноз, как будут развиваться изучаемые явления. Но такой прогноз возможен только при стабильности определенных условий. Для его построения нужен не только формальный, но и содержательный анализ; он же позволяет раскрыть значение факторов, вызвавших отклонения в ту или другую сторону от основной тенденции.















