128079 (718989), страница 3
Текст из файла (страница 3)
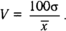
Таблица 1
| Группы | Средние значения | Результат разноски | Итоги разноски | f•x | x | ( | f |
| 83—91 | 87 | 1 | 87 | 36 | 1296 | 1296 | |
| 92—100 | 96 | u | 3 | 288 | 27 | 729 | 2187 |
| 101—109 | 105 | LJ | 3 | 315 | 18 | 324 | 972 |
| 110—118 | 114 | | 10 | 1140 | 9 | 81 | 810 |
| 119—127 | 123 | 1300/ | 16 | 1968 | 0 | 0 | 0 |
| 128—136 | 132 | Ш | 9 | 1188 | 9 | 81 | 729 |
| 137—145 | 141 | Я | 5 | 705 | 18 | 324 | 1620 |
| 146—154 | 150 | L | 2 | 300 | 27 | 729 | 1458 |
| 155—163 | 159 | / | 1 | 159 | 36 | 1296 | 1296 |
| n = 50 | Σf•x= 6150 | Σ |
1-й столбец — группы, полученные после разбиения изучаемого ряда.
2-й столбец — средние значения каждой группы; этот столбец показывает, в каком диапазоне варьируют величины изучаемого ряда, т.е. х.
3-й столбец показывает результаты «ручной» разноски величин ряда или иксов: каждая величина занесена в соответствующую ее значению группу в виде черточки.
4-й столбец — это итог подсчета результатов разноски.
5-й столбец показывает, сколько раз встречалась каждая величина ряда — это произведение величин второго столбца на величины 4-го столбца по строчкам. Итоги 4-го и 5-го столбцов дают суммы, необходимые для вычисления среднего арифметического.
6
-й столбец показывает разность среднего арифметического и значения x по каждой группе.
7-й столбец — квадрат этих разностей.
8-й столбец показывает, сколько раз встречался каждый квадрат разности; суммирование величин этого столбца дает итог, необходимый для вычисления среднего квадратического отклонения.
В заголовках 5-го и 8-го столбцов указывается, насколько часто встречается та или другая величина. Частота обозначается буквой f (от английского слова frequency).
Включение буквы f, означающей, насколько часто встречалась та или другая величина, ничего не изменяет в формулах среднего арифметического и среднего квадратического отклонения.
Поэтому формулы
вполне тождественны.
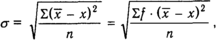
Рис.2
Остается показать, как вычисляются по формулам среднее арифметическое и среднее квадратическое отклонение. Обратимся к величинам, полученным в таблице:
x
= 6150 : 50 = 123. При составлении таблицы это число было заранее вычислено, без него нельзя было бы получить числовые значения 6, 7, 8-го столбцов таблицы.
При обработке изучаемого ряда оказалось возможным применение параметрического метода, так как визуально в этом ряду распределение численностей приближается к нормальному. Это подтверждается и графиком (рис. 2, с. 251).
Н
ормальное распределение обладает некоторыми весьма полезными для исследователя свойствами. Так, в границах x ± находится примерно 68% всего ряда или всей выборки, в границах х ± 2 — примерно 95%, а в границах x ± 3 — 97,7% выборки. В практике исследований часто берут границы — x ±2/3. В этих границах при нормальном распределении будут находиться 50% выборки; распределение это симметрично, поэтому 25% окажутся ниже, а 25% выше границ x ±2/3. Все эти расчеты не требуют никакой дополнительной проверки при условии, что изучаемый ряд имеет нормальное распределение, а число элементов в нем велико, порядка нескольких сотен или тысяч. Для рядов, которые распределены нормально или имеют распределение, мало отличающееся от нормального, вычисляется коэффициент вариации по такой формуле:
В примере, который был рассмотрен выше,
V= (100-14,4)/123 = 11,7.
Выполнив все эти вычисления, психолог может представить информацию об изучении двигательной скорости с помощью примененной методики в 6-х классах. Согласно результатам изучения в 6-х классах получены: среднее арифметическое — 123; среднее квадратическое отклонение — 14,4; коэффициент вариативности — 11,7.
Непараметрические методы. Ранжирование, медиана, квартиль. Далеко не все материалы, получаемые в психологических исследованиях, подлежат обработке параметрическими методами. Если после ознакомления с изучаемым рядом исследователь убеждается в том, что этот ряд не имеет свойств нормального распределения, ему остается перейти на методы непараметрической статистики. С их помощью могут быть получены и центральная тенденция изучаемого ряда — медиана — и величина, позволяющая судить о диапазоне варьирования и о строении изучаемого ряда — квартильное отклонение.
Вот пример. После диагностических испытаний уровня умственного развития учеников 6-го класса полученные данные были упорядочены, т.е. расположены в последовательности от меньшей величины к большей. Испытания проходили 18 учащихся (табл. 2).
Таблица 2
| Учащиеся | Баллы | Ранги (R) | Учащиеся | Баллы | Ранги (R) |
| А | 25 | 1 | К | 68 | 10 |
| Б | 28 | 2 | Л | 69 | 11,5 |
| В | 39 | 4 | М | 69 | 11,5 |
| Г | 39 | 4 | Н | 70 | 14,5 |
| Д | 39 | 4 | О | 70 | 14,5 |
| Е | 45 | 6 | П | 70 | 14,5 |
| Ж | 50 | 7 | Р | 70 | 14,5 |
| 3 | 52 | 8,5 | С | 74 | 17,5 |
| И | 52 | 8,5 | Т | 74 | 17,5 |
Примечание. Буквами обозначены учащиеся, числами — полученные ими баллы по тесту.
Процедура ранжирования состоит в следующем. Все числа ряда в их последовательности получают по своим. порядковым местам присваиваемые им ранги. Если какие-нибудь числа повторяются, то всем повторяющимся числам присваивается один и тот же ранг — средний из общей суммы занятых ими ранговых мест. Так, числу 28 в изучаемом ряду присвоен ранг 2. Затем следуют трижды повторяющиеся числа 39. На них приходятся занятые ими ранговые места 3, 4, 5. Поэтому этим числам присваивается один и тот же средний ранг, в данном случае — 4. Поскольку места до 5-го включительно заняты, то следующее число получает ранг 6 и т.д.
При обработке ряда, не имеющего признаков нормального распределения — непараметрического ряда, — для величины, которая выражала бы его центральную тенденцию, более всего пригодна медиана, т.е. величина, расположенная в середине ряда. Ее определяют по срединному рангу по формуле Me = (п + 1)/2, где Me — означает медиану, п — как в ранее приводившихся формулах — число членов ряда. При нечетном числе членов ряда ранговая медиана — целое число, при нечетном число — с 0,5. Заметим, что числовое значение медианы может и не быть в составе самого обрабатываемого ряда.
Возьмем к примеру ряд в семь членов: 3—5—6—7—9—10—11.
Проранжировав его, имеем: 1—2—3—4—5—6—7.
Ранговая медиана в таком ряду равна: Me = (7 + 1)/2 = 4, этот ранг приходится на величину 7.
Возьмем ряд в восемь членов: 3—5—6—7—9—10—11—12.
Проранжировав его, имеем: 1—2—3—4—5—6—7—8.
Ранговая медиана в этом ряду равна: Me = (8 + 1)/2 = 4,5.















