128079 (718989), страница 10
Текст из файла (страница 10)
в нашем примере
где rSB — коэффициент с учетом поправки, а — коэффициент, вычисленный при коррелировании двух половинок методики. Если этот последний равен 0,88, то после поправки Спирмена—Брауна коэффициент будет равен 0,94.
Поправочную формулу Спирмена—Брауна можно применять только в тех случаях, когда методика делится на половинки (расщепление). Если же в методике в процессе обработки не меняют число заданий, то поправочная формула не применяется.
Величина коэффициента надежности-гомогенности зависит от социально-психологических особенностей той выборки, по результатам испытания которой этот коэффициент устанавливался. Поэтому при опубликовании методики, приводя ее основные характеристики, автору следует указать, на каком контингенте проводилась проверка надежности.
При вычислении коэффициента надежности методики, характеризующего стабильность данных, получаемых с помощью этой методики, первый коррелируемый ряд представляет собой результаты первого, а второй — повторного испытания: его рекомендуют проводить примерно через шесть недель после первого. При необходимости этот срок может изменяться. Эти два ряда коррелируют между собой. Корреляция проводится по обычным правилам, о них сообщалось выше. Это прием «тест-ретест».
Для установления надежности методики существуют и некоторые другие приемы. Так, для получения коэффициента надежности практикуется прием параллельных форм. Авторы, конструирующие методику, создают две ее формы; условно назовем их формой А и формой Б. Обе формы должны быть однородны по психологической направленности, по доступности содержания заданий и по их трудности. В одном варианте формы Л и Б предъявляются испытуемым одна за другой, причем в одной половине выборки испытуемым сначала предлагается форма А, а за ней форма Б, а в другой половине выборки, наоборот, сначала форма Б, а затем А. Результаты, полученные по той и другой форме, коррелируют между собой, и полученный коэффициент трактуется как коэффициент надежности. Нетрудно заметить, что этот прием близок приему расщепления с той разницей, что методика как бы удвоена и сравниваются не четные и нечетные задания, а две половины этой удвоенной методики. Это дает право трактовать получаемый коэффициент скорее как коэффициент надежности-гомогенности, а не надежности-стабильности. Поскольку проверке подвергается набор заданий в целом, поправочную формулу Спирмена—Брауна применять не следует.
Другой вариант использования приема параллельных форм состоит- в том, что одна из форм предлагается испытуемым через какой-то интервал времени после другой, что сближает этот прием с приемом «тест-ретест». При проведении этого приема необходимо убедиться в том, что обе формы высоко коррелируют между собой, согласно только что изложенному приему по надежности-Гомогенности. Результаты обоих испытаний затем коррелируют. Полученный коэффициент может трактоваться как коэффициент надежности-стабильности. Выше указывалось, что в приеме «тест-ретест» рекомендуется интервал между испытаниями шесть недель. Для этого варианта приема параллельных форм этот интервал может быть уменьшен, так как испытуемый при выполнении заданий не сможет опираться на память.
Из предшествующего изложения явствует, что в приемах установления надежности главную роль играет статистический метод корреляций. Несколько по-иному обстоят дела при проверке валидности методики.
Если показатели того критерия, который взят для получения коэффициента внешней валидности, имеют примерно ту же меру рассеяния, меру вариативности, что и мера рассеяния показателей самой методики, то применение корреляции правомерно. Допустим, автор методики намерен установить ее валидность, сравнивая успешность выполнения методики с учебной деятельностью. Валидность устанавливается на выборке школьников. В этом случае, как показывает практика, суммарные оценки за одну учебную четверть или за полугодие покажут примерно тот же размах колебаний, что и размах колебаний по методике; методика состоит из 20 заданий, и при ее выполнении показан размах колебаний от 3 до 20. Суммарные оценки успеваемости, после того как они подсчитаны за полгода, имеют размах колебаний порядка от 14 до 36. Такие ряды вполне возможно коррелировать.
Но в некоторых случаях для получения коэффициента валидности приходится сравнивать успешность выполнения диагностической методики, допустим, в тех же пределах колебаний — от 3 до 20, и производственные достижения, которые имеют всего три ступени оценок: ниже средних, средние и выше средних. Корреляцией в этом случае воспользоваться нельзя, если иметь в виду линейную корреляцию, о которой идет речь в этой главе. Однако могут быть использованы некоторые другие статистические методы, показывающие существование или отсутствие связи между распределением двух рядов численностей. Простейший способ получения коэффициента валидности в описываемом случае и в других подобных случаях — метод «хи-квадрат». Всех испытуемых, прошедших диагностический эксперимент, делят на три равные группы — их и сопоставляют с тремя группами, на которые были поделены испытуемые при оценке их профессиональной успеваемости.
В изучаемой выборке — 90 человек. Они делятся по профессиональным достижениям на три группы: первая — в ней 30 испытуемых — лица с профессиональными достижениями ниже среднего уровня; вторая — 40 испытуемых — это лица со средними достижениями, и третья — 20 испытуемых, их достижения выше среднего уровня. Первая группа составляет 33,3% выборки, вторая — 44,4 и третья — 22,2%.
Приводим технику вычисления (табл. 9).
Таблица 9
| Психологическая оценка | Оценка профессиональных достижений | Всего | ||
| Ниже среднего | Средняя | Выше среднего | ||
| Ниже среднего | А 20 (10) | В 5 (13,3) | С 5 (6,7) | 30 |
| Средняя | D 5 (10) | Е 15 (13,3) | F 10 (6,7) | 30 |
| Выше среднего | G 5 (10) | Н 20 (13,3) | J 5 (6,7) | 30 |
| Итого: | 30 | 40 | 20 | 90 |
Эксперимент, данные которого представлены в табл. 8, предпринимался, чтобы установить валидность психологической оценки. Нуль-гипотеза формулируется так: психологическая оценка не имеет никакого значения для профессиональных достижений; поэтому она никак не скажется на распределении численностей в таблице-графике «хи-квадрат»;
Принятие нуль-гипотезы может произойти в том случае, если в каждой из групп по профессиональной успешности испытуемые будут распределены независимо от их психологической оценки. Тогда испытуемые, получившие психологическую оценку «ниже среднего», распределятся по всем трем группам в тех же процентных отношениях, в каких они распределились и по профессиональным достижениям. Напомним эти отношения: 33,3 — 44,4 — 22,2. Психологическую оценку «ниже среднего» получили всего 30 испытуемых. 33,3% этого числа (10 человек) должны были бы попасть в группу с профессиональными достижениями ниже среднего уровня, с достижениями среднего уровня — 44,4% (в среднем 13,3), с достижениями выше среднего уровня — 22,2% (6,7).
Те же рассуждения повторяются и относительно испытуемых, имеющих психологические оценки «среднюю» и «выше среднего». Однако наблюдается иное распределение. Возникает вопрос: можно ли, учитывая фактическое распределение, отвергнуть нуль-гипотезу и признать, что психологическая оценка влияет на профессиональные достижения? Это раскроет методика «хи-квадрат».
В клетках таблицы представлены как фактически наблюдаемые численности, так и предполагаемые согласно нуль-гипотезе; они заключены в скобки.
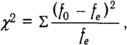
Как известно, формула хи-квадрат такова:
где f0 — фактически наблюденные численности, fe — предполагаемые численности.
Для получения значения хи-квадрат нужно суммировать по клеткам:
Клетки
x2 = 10 + 5,2 + 0,4 + 2,5 + 0,2 + 1,6 + 2,5 + 3,7 + 0,4 = 26,5, fd — число степеней свободы.
В этом примереc = (к - 1)(с - 1) = (3 - 1)(3 - 1) = 4.
x20,99 при 4 степенях свободы равно 11,34.
Сравнивая полученную в эксперименте величину x2 с величиной x20,99, указанной в таблице значимостей, можно заключить: полученная в эксперименте величина (x2 = 26,5) свидетельствует о валидности примененной психологической методики.
Величина хи-квадрат с указанием ее значимости служит в подобных случаях показателем или коэффициентом валидности. Этот же метод применяется, если оценка дается не по трем ступеням, как в рассмотренном примере, а по пяти (значительно ниже средней, ниже средней, средняя, выше средней, значительно выше средней и т.д.). Техника вычислений при такой дифференциации оценок аналогична показанной выше.
Были изложены четыре типа задач и показаны статистические методы, применяемые для каждого типа. В современной диагностике применяются не только перечисленные в этой главе статистические методы, но и многие другие. Однако можно полагать, что, ограничив свою цель изложением простейших статистических методов, нет необходимости обращаться к сложным и сложнейшим. Читатели, заинтересовавшиеся проблемами статистических методов в диагностике, могут обратиться к другим пособиям и источникам.
Элементы планирования в психологических исследованиях. Нельзя начинать исследование, не уяснив его цель. Это аксиома. Однако наблюдения показывают, что не все ее принимают. Нередко можно обнаружить смешение двух категорий целей: цель исследования и цель исследователя. Но полное доминирование цели исследователя и безразличное отношение к цели исследования не должны иметь места. Планирование должно исходить из цели исследования.
Есть два главных источника, стимулирующих возникновение исследований: либо они отвечают на запросы, выдвигаемые практикой, которую обслуживает данная наука, либо они возникают из нужд самой науки и имеют целью совершенствовать познание тех сфер жизни, которым посвящена данная наука. Стоит отметить, что детальное планирование необходимо и в том, и в другом случае. Мнение, будто практические исследования могут проводиться без заранее продуманного плана, безусловно, ошибочно; только правильно спланированное исследование может в своих выводах дать ответ на те вопросы, ради решения которых оно и задумывалось.















