128079 (718989), страница 5
Текст из файла (страница 5)
fd (число степеней свободы) =n1-n2 -2=6+6-2= 10. По таблице уровней значимости t Стьюдента находим t0,95 = 2,223. Существенность различия не доказана, хотя полученное значение t = 1,9 очень близко к требуемому уровню. Принимается Но. Нельзя утверждать, что выборки существенно различаются.
Для вычисления t существует несколько формул, различающихся только техникой расчетов.
Сравниваемые выборки могут быть неодинаковыми по объему. Применять параметрические методы можно лишь к материалу, обладающему определенными свойствами, о которых говорилось ранее. В других случаях следует обращаться к непараметрическим методам.
Ниже будет рассмотрена техника применения критерия Манна— Уитни, непараметрического метода, часто используемого в психологических исследованиях.
Предположим, что психологу нужно решить такую задачу. Есть ли различия между выборками школьников одного и того же класса, если одна выборка включает школьников, которые после контрольной работы проходили дополнительное обучение по коррекционным программам, другая — школьников, такого обучения не проходивших? Обе выборки малы, поэтому для проверки гипотез о существовании различий между выборками следует взять мощный критерий. Мощность критерия — это вероятность принятия при его применении правильного решения для отклонения ho; чем выше эта вероятность, тем больше мощность критерия. Мощность любого критерия увеличивается вместе с увеличением объема сравниваемых выборок, а также со снижением того уровня значимости, на который ориентируется исследователь. Другими словами, если выборки велики, то принятие правильного решения относительно ho увеличивается. Ориентация на высокий уровень значимости, например 0,990 или 0,999, предполагает применение достаточно мощного критерия. В рассматриваемом примере выборки малы, а при установлении существенной разницы между ними, т.е. при отказе от ho желательно, чтобы уровень значимости был как можно выше, но не ниже 0,95.
Формула вычисления критерия Манна—Уитни такова:
или:
В примере сравнению подлежат результаты контрольной работы выборки A из 4 школьников, проходивших обучение по коррекционным программам, и выборки Б, состоящей из 7 школьников, никакого коррекционного обучения не проходивших. Последовательность действий, предусматриваемых вычислением всех нужных для решения задачи величин, такова.
1. Выписать в любом порядке число успешно решенных заданий школьниками сначала выборки А, затем выборки Б.
2. Проранжировать число успешно решенных заданий, объединив обе выборки.
3. Найти сумму рангов выборок А и Б раздельно.
Эти три действия дадут все необходимые для вычисления критерия данные.
Для проверки расчетов вычисляется:
RA + RB = N/2(1 + N); т.е. 37 + 29 = 11/2(1 + 11), т.е. 66 = 66.
Имея величины U1 и U2, следует обратиться к таблице уровня значимости. На совмещение строки четвертой со столбцом седьмым находим 3/25. По условиям таблицы, U1 должно быть меньше верхней, a U2 — больше нижней величины. Полученные величины показывают, что ho отвергается. Можно утверждать, что между выборками имеется существенное различие: результаты свидетельствуют о преимуществе выборки A.
Попарное сравнение. В предыдущем материале исследователь имел дело с двумя выборками. В обработку они поступают как два ряда чисел; каждый ряд есть результат экспериментов, проведенных с данной выборкой. Однако часто приходится встречаться с материалом, в котором даны два числовых ряда, но оба они получены на одной выборке; сюда относятся исследования, когда эксперименты проводятся до и после какого-то специального воздействия. Цель такого исследования состоит в том, чтобы установить, есть ли достаточно существенные изменения и можно ли утверждать, что специальное воздействие имело существенное значение.
Например, психологу было предложено ответить на такой вопрос:
влияют ли занятия физкультурой на общее самочувствие занимающихся школьников? Исследование он построил так: школьников просили отмечать на линейной шкале свое самочувствие до занятий физкультурой и после них.
Статистической обработке подлежат попарные сравнения показания одного и того же испытуемого до и после воздействия:
| до воздействия | после него | разность рядов «до» и «после» | |
| х | х2 | ||
| 3,2 | 3,8 | +0,6 | 0,36 |
| 1,6 | 1,0 | -0,6 | 0,36 |
| 5,7 | 8,4 | +2,7 | 7,29 |
| 2,8 | 3,6 | +0,8 | 0,64 |
| 5,5 | 5,0 | -0,5 | 0,25 |
| 1,2 | 3,5 | +2,3 | 5,29 |
| 6,1 | 7,3 | +1,2 | 1,44 |
| 2,9 | 4,8 | +1,9 | 3,61 |
| x = 8,4; | x2 = 19,24 | ||
| (x)2 = 70,56 | |||
Нуль-гипотеза формулируется так: сравнение рядов до и после воздействия не дает оснований утверждать, что по измеряемому признаку произошли существенные изменения.
Выборка, подвергнутая изучению, состояла из 8 человек. Начнем с параметрического метода. Будет применен критерий t Стьюдента, его формула для попарного сравнения такова:
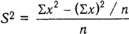
Нужно вычислить все величины, входящие в эту формулу. Для получения S используется формула:
Извлекая корень из полученной величины, узнаем значение S. Остается произвести по формуле все вычисления.
Ниже приводятся ряды, полученные в эксперименте (числа заимствованы из кн.: Бейли Н. Статистические методы в биологии. М., 1964).
При вычислении t при попарном сравнении число степеней свободы равно п -1. По таблице уровней значимости для t находим, что для 7 степеней свободы t0,95 должно быть не менее 2,36. Поскольку получена большая величина, следует признать, что налицо статистически значимое влияние занятий физкультурой на самочувствие школьников.
Из непараметрических методов для попарного сравнения удобен для пользования критерий Уилкоксона, правда, на небольших выборках этот критерий оказывается недостаточно мощным; его лучше применять на выборках объемом от 12 и более элементов.
Небольшие по объему выборки, однако, удобны для наглядного последовательного изложения техники расчетов.
Для использования этого критерия (его называют также знаково-ранговым) следует проранжировать, сначала не обращая внимания на знаки, весь перечень разностей между рядами «до» и «после». Если разность у отдельных испытуемых и в отдельных случаях нулевая, то она из ранжирования исключается и не входит в сумму рангов. В этом примере таких разностей (равных нулю) не встречается.
Далее нужно суммировать раздельно ранги разностей с положительным знаком и ранги разностей с отрицательным знаком. Значение критерия Т равно меньшей по абсолютной величине сумме рангов.
В этом примере Т = 3,5.
| Ряд разностей | +0,6 | -0,6 | +2,7 | +0,8 | -0,5 | +2,3 | +1,2 | +1,9 |
| Ранги | 2,5 | (2.5) | 8 | 4 | (1) | 7 | 5 | 6 |
Скобками указаны ранги разностей с отрицательными значениями. Но прежде чем отыскивать уровень значимости Т, нужно обратить внимание на то, что в данном случае критерий Уилкоксона — это двусторонний критерий. Как это понимать? Различают односторонние и двусторонние критерии. Отвергая нуль-гипотезу, выдвигают альтернативную ей гипотезу. При этом возникает вопрос: в какую сторону направлено отличие альтернативной гипотезы от Ho — в положительную или отрицательную. Если исследование предполагает равно возможными и ту, и другую направленности, следует принять двусторонний критерий. Возможна вместе с тем такая постановка исследования, когда учитывается лишь одна направленность результатов. Так, сравнивая две выборки учащихся по освоении ими научных химических понятий, исследователь ставит ограниченную задачу — рассмотреть только возможность преобладания в этом освоении одной выборки над другой. В этом исследовании применим односторонний критерий.
При описании статистических методов всегда указывается, какого рода критерий подлежит применению — односторонний или двусторонний. В таблицах уровней значимости обычно значения для одностороннего и для двустороннего критериев даются либо в особых столбцах, либо в таблице указывается, какому значению одностороннего критерия соответствует значение двустороннего, и наоборот.
Возвращаясь к рассматриваемому примеру, следует признать, что для него при обработке с помощью критерия Уилкоксона применим двусторонний критерий: различия между показателями «до» и «после» в одних строках положительные, в других отрицательные, учитываются те и другие.
В таблице уровней значимости для критерия Т, имея в виду, что критерий двусторонний, находим, что для 0,95 уровня значение Т должно быть не более 3. Поскольку получено значение Т = 3,5, ho не следует отклонять.
Следовательно, критерий t Стьюдента свидетельствует о том, что Ho подлежит отклонению, а T-критерий Уилкоксона свидетельствует о том, что нуль-гипотезу отвергать не следует. Такого рода расхождения, особенно при работе с небольшими выборками, вполне возможны. То, что критерий Уилкоксона Т всего на 0,5 превысил установленный уровень значимости, говорит о том, что при увеличении объема выборки в 1,5 или в 2 раза критерий Т также окажется значимым. В параграфе, где пойдет речь о планировании эксперимента, еще предстоит рассмотреть вопрос об объеме выборок.















