128079 (718989), страница 4
Текст из файла (страница 4)
Этому рангу соответствует середина между двумя величинами, имеющими ранг 4 и ранг 5, т.е. между 7 и 9. Медиана этого ряда равна: Me = (7 + 9)/2 = 8.
Следует обратить внимание на то, что величины 8 в составе ряда нет, но таково значение медианы этого ряда.
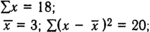
Вернемся к изучаемому ряду. Он состоит из 18 членов. Его ранговая медиана равна: Me = (18 + 1)/2 = 9,5.
Она расположится между 9-й и 10-й величиной ряда. 9-я величина — 52, 10-я — 68. Медиана занимает срединное место между ними, следовательно, Me = (52 + 68)/2 = 60.
По обе стороны от этой величины находится по 50% величин ряда.
Характеристику распределения численностей в непараметрическом ряду можно получить из отношения его квартилей. Квартилью называется величина, отграничивающая 1/4 всех величин ряда. Квартиль первая — ее обозначение Q1 — вычисляется по формуле:
Это полусумма первого и последнего рангов первой — левой от медианы половины ряда;
квартиль третья, обозначаемая Q3 вычисляется по формуле:
т.е. как полусумма первого и последнего рангов второй, правой от медианы, половины ряда. Берутся порядковые значения рангов по их последовательности в ряду. В обрабатываемом ряду Q1 = (1+9)/2 = 5, Q3 = (10 + 18)/2 = 14.
Рангу 5 в этом ряду соответствует величина 39, а рангу 14 — 70. Следовательно, в данном ряду Q1 = 39, а Q3 = 70.
Д
ля характеристики распределения в непараметрическом ряду вычисляется среднее квартильное отклонение, обозначаемое Q. Формула для Q такова: Q = (Q3 - Q1)/2. Для обрабатываемого ряда Q = (70 - 39)/2 = 15,5. Были рассмотрены статистическая обработка параметрического ряда (x и ), статистическая обработка непараметрического ряда (Mе и Q). Параметрический ряд относится к шкале интервалов, непараметрический — к шкале порядка. Но встречаются также ряды, относящиеся к шкале наименований. Наиболее краткая характеристика такого ряда может быть получена с помощью моды, величины, которая выражает наивысшее числовое значение величин данного ряда, при п — числе членов ряда. Следует заметить, что моду можно лишь условно считать выражением центральной тенденции в ряду, относящемуся к шкале наименований. Она выражает наиболее типичную величину ряда.
Рассмотрим подробнее пример, приведенный выше (С. 242). Там речь шла об участниках некой конференции; в их числе были 3 англичанина, 2 датчанина, 5 немцев, 3 русских и 1 француз. Мода в данном ряду приходится на участников конференции — немцев. Число членов ряда равно — 13, а мода — Mo = 5.
Итак, мы рассмотрели статистические методы, применяющиеся для задач первого типа.
Второй тип задач. Психологу в его повседневной практической и исследовательской работе приходится искать ответы на различные вопросы. Предположим, что проведены диагностические испытания умственного развития у школьников шестых классов городской и сельской школ: можно ли в дальнейшем рассматривать обе школьные выборки как принадлежащие одной совокупности? По поводу неодинаковых условий обучения в городской и сельской школах высказано немало противоречивых суждений. Психолог в данном случае намерен опираться на экспериментальные факты. Чтобы прийти к какому-то решению, целесообразно проанализировать полученный экспериментальный материал. Это достаточно часто встречающаяся задача, встречаются и такие, где приходится решать тот же вопрос относительно нескольких, а не двух выборок. Это и есть задачи второго типа.
Перед психологом два ряда численностей. Прежде всего нужно установить, на какие статистические методы опираться — на параметрические или непараметрические? Применять параметрические методы следует в том случае, если оба ряда имеют распределение, не отличающееся от нормального. Если же один из рядов не соответствует этому требованию, то применение параметрических методов противопоказано.
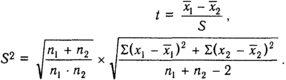
Положим, оба ряда показывают распределение, допускающее применение параметрических методов. Сравнение величин центральных тенденций — в данном случае их представляют средние арифметические — не даст ответа на вопрос о том, относятся ли выборки к одной совокупности. Почти безошибочно можно утверждать, что средние арифметические не будут тождественными, но этого явно недостаточно для ответа на поставленный вопрос, ответ не был бы получен, даже если бы средние арифметические оказались равными. Для данного случая более всего подходит сравнение выборок по критерию t Стьюдента.
Перед тем как ознакомиться с техникой вычислений и интерпретаций результатов, получаемых при работе с критерием t Стьюдента, необходимо остановиться на некоторых статистических терминах; они постоянно встречаются в прикладной статистике.
В том разделе статистики, где заходит речь о проверке гипотез, постоянно приходится иметь дело с нуль-гипотезой, или нулевой гипотезой. При сравнении двух выборок нуль-гипотеза формулируется следующим образом: между изучаемыми выборками нет различия или, иначе, различие между ними несущественно. Все дальнейшие расчеты направлены на то, чтобы прийти к заключению верна ли нуль-гипотеза или от нее нужно отказаться, и в действительности существенная разница между выборками имеется. В других случаях в зависимости от содержания материала меняются формулировки, но вычисления показывают, какова вероятность нуль-гипотезы. Для обозначения нуль-гипотезы используется символ h0.
Допустим, что разница между выборками имеется. Исследователь встает перед вопросом, насколько существенна эта разница, как часто будет обнаруживаться она в последующем, когда придется работать с подобными же выборками. Самые общие соображения при этом таковы: если разница получена на небольшом материале (числе случаев, охваченных той или другой выборкой), то при повторном изучении таких же выборок разницу, возможно, найти и не удастся. Другое дело, если изучаемые выборки не малы. Далее важно, оказалась ли обнаруженная разница значительной. Это рассуждение и следует иметь в виду, когда в статистике речь идет об уровне значимости полученного коэффициента, параметра и пр. Уровни значимости представлены в специальных таблицах, которые обычно даются в учебниках статистики, есть такие таблицы и в конце этой главы. Какой уровень значимости можно признать удовлетворительным? В психологии и педагогике минимально допустимым для отказа от Н0 уровнем значимости признается 0,95. Это значит, что расчеты, основанные на математической теории вероятности, дают основание утверждать, что при проведении таких же исследований, по крайней мере в 95% случаев, будет получен такой же результат, возможно, лишь с несущественными отклонениями. В некоторых работах удается получить и более высокие уровни значимости — 0,990 и даже 0,999 (эти же уровни значимости можно записать: 0,05; 0,01; 0,001. Записывая уровень 0,95, имеют в виду, что полученные параметры повторяются в 95% случаев, а записывая 0,05, что в 5% случаев они не повторятся; смысл в том и другом случае один и тот же).
А если не получен уровень значимости 0,95? Тогда нужно признать, что нуль-гипотезу не следует отвергать. Впрочем, иногда, по задачам исследования признается достаточным и более низкий уровень. В некоторых исследованиях цель состоит в том, чтобы прийти к утверждению нуль-гипотезы.
Обращаясь к таблицам уровней значимости, исследователь обнаруживает во многих из них специальный столбец с указанием степеней свободы, относящихся к полученному параметру или коэффициенту. Уровень значимости прямо зависит от того, каким числом степеней свободы обладает данный коэффициент или параметр. Число независимых величин, участвующих в образовании того или другого параметра, называется числом степеней свободы этого параметра. Оно равно общему числу величин, по которым вычисляется параметр, минус число условий, связывающих эти величины (Урбах В.Ю. Указ. соч. С. 161). Число степеней свободы и способы его определения всегда даются в окончательных формулах, которыми пользуется исследователь при статистической обработке своих материалов.
Рассмотрим пример с двумя выборками, которые, по мнению исследователя, можно рассматривать как подлежащие обработке параметрическим методом.
Двум группам шестиклассников по 6 человек было дано задание бросать мяч в корзину. Группы обучались по разным программам. Можно ли считать, что разница в программах сказалась на конечной результативности школьников? Для сравнения было взято число попаданий в корзину. Всего было дано по 10 проб.
Формула вычисления t:
Материал, подлежащий обработке:
первая выборка, п = 6
| Исп. | х | x | ( |
| А | 2 | -1 | 1 |
| Б | 4 | 1 | 1 |
| В | 6 | 3 | 9 |
| Г | 4 | 1 | 1 |
| Д | 1 | -2 | 4 |
| Е | 1 | -2 | 4 |
вторая выборка, п = 6
| Исп. | х | x | ( |
| Ж | 5 | — | — |
| 3 | 4 | -1 | 1 |
| И | 2 | -3 | 9 |
| К | 8 | 3 | 9 |
| Л | 6 | 1 | 1 |
| М | 5 | — | — |
Ход вычислений показывает:















