125772 (717650)
Текст из файла
40
Содержание
1. Принципи віброізоляції
1.1 Віброзахисні системи з однією мірою свободи
2. Пружний підвіс твердого тіла
2.1 Схеми пружних підвісів і їх розрахунок
3. Динамічне гасіння коливань
3.1 Принципи динамічного гасіння коливань
3.2 Пружинний інерційний динамічний гаситель однієї маси
4. Характеристика віброізоляторів
5. Балансування роторів машин
5.1 Основні поняття
1. Принципи віброізоляції
1.1 Віброзахисні системи з однією мірою свободи
Елементи розрахункової моделі і їх характеристика. У розрахунковій моделі віброзахисної системи можна виділити три основні частини: джерело обурень (або стисло джерело), об'єкт захисту (об'єкт) і віброізолюючий пристрій (ВП). У простому випадку джерело і об'єкт вважаються твердими тілами, які рухаються поступально уздовж деякої осі X (рис.1а). Прикладені до системи зовнішні сили F (збудження), а також внутрішні сили R і R', з якими віброізолюючий пристрій, розташований між джерелом і об'єктом, впливає на них, вважаються спрямованнимі уздовж осі X; тим самим вісь X служить віссю даного віброізолюючого пристрою.
У більшості випадків маса одного з тіл системи - джерела або об'єкта - істотно перевищує масу іншого тіла - відповідно об'єкта або джерела. Тоді рух тіла "великої" маси може вважатися незалежним від руху тіла "малої" маси.
Якщо, зокрема, "велику" масу має об'єкт, то його, як правило, вважають нерухомим; рух системи викликається в цьому випадку прикладеними до джерела зовнішніми силами, що становлять силове збудження F = F (t) (рис.1б).
Якщо "велику" масу має джерело, то закон його руху ζ=ζ (t) можна вважати заданим; цей рух грає роль кінематичного збудження системи (точніше - об'єкта; рис.1в). У обох випадках тіло "великої" маси називають таким, що несе, або підставою, тіло "малої" маси - несомим.
Схему, наведену на рис.1б, як правило, використовують тоді, коли мова йде про захисти будівель, споруд, перекриттів або фундаментів від динамічних дій, що порушуються встановленими на них машинами з неврівноваженими рухомими частинами або іншим віброактивним устаткуванням.
Схему, зображену на рис.1в, використовують у завданнях віброзахисту приладів, апаратів, точних механізмів або верстатів, тобто устаткування, чутливого до вібрацій і встановлюваного на основах, що коливаються, або на рухомих об'єктах.
Віброізолюючий пристрій становить найважливішу частину віброзахисної системи; його призначення полягає у створенні такого режиму руху, що ініціюється заданими збудженнями, при якому реалізується мета захисту об'єкта. У багатьох випадках це виявляється досяжним при використанні безінерційного віброізолюючого пристрою, який для схем, зображених на рис.1, становлять одноосьовий віброізолятор. Для такого віброізолятора реакції R і R' збігаються за величиною (R = R'), причому в простому випадку, що розглядається нижче, реакцію R можна вважати пропорційною деформації
і швидкості деформації віброізолятора
:
Залежність (1) описує лінійну характеристику простого безінерційного віброізолятора; коефіцієнти с і b називаються відповідно жорсткістю і коефіцієнтом демпфірування. При b = 0 (1) описує характеристику лінійного ідеально пружного елемента (пружини); при c = 0 - характеристику лінійного в'язкого демпфера.
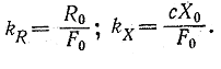
Таким чином, модель віброізолятора з характеристикою (1) можна подати у вигляді паралельного з'єднання пружини і демпфера (рис.2).
Рисунок 1 - Принципова схема віброзахисної системи: а - загальний випадок; б - силове збудження F = F (t); в - кінематичне збудження ζ=ζ (t)
Коефіцієнт жорсткості с віброізолятора з лінійною характеристикою (1) визначає власну частоту системи
Демпфірувальні властивості системи, зображеної представленої на рис. 2, характеризуються коефіцієнтом демпфірування
і відносним демпфіруванням
Рисунок 2 - Розрахункова модель простої віброзахисної системи з однією мірою вільностісвободи: m, x - відповідно маса і координата несомого тіла; F-сила, прикладена до несомого тіла; ζ - координата основи; с,b - відповідно жорсткість і коефіцієнт демпфірування віброізолятора
Ефективність віброзахисту. Коефіцієнти ефективності при гармонійному збудженні
Під ефективністю віброзахисту розуміється ступінь реалізації віброзахисним пристроєм цілей віброзахисту.
При силовому гармонійному збудженні
де F0 і ω - відповідно амплітуда і частота сили, що збуджує коливання; мета захисту може полягати у зменшенні амплітуди R0 сили, яка передається на нерухомий об'єкт
або в зменшенні амплітуди Х0 сталих вимушених коливань джерела:
При кінематичному гармонійному збудженні
мета захисту може полягати у зменшенні амплітуди абсолютного прискорення (перевантаження) об'єкта
а також у зменшенні амплітуди його коливань щодо підстави:
(9)
Кількісно ступінь реалізації мети віброзахисту можна охарактеризувати значеннями безрозмірних коефіцієнтів ефективності. Для розрахункової моделі, зображеної на рис.2, при силовому збудженні вводять коефіцієнти
(10)
У разі кінематичного збудження розглядають коефіцієнти
Величини kR і k X називають відповідно коефіцієнтом віброізоляції і коефіцієнтом динамічності.
Залежність kR, kX і kX’ від безрозмірних параметрів
і ν має вигляд
Умови ефективності віброзахисту за критеріями kR, kX, kX’.
Умови ефективності віброзахисту за критеріями kR, kX, kX’ формулюють у вигляді нерівностей
Оскільки вказані коефіцієнти залежать від частоти, можна говорити про ефективність віброзахисту на даній частоті z або в заданому частотному діапазоні
Аналіз співвідношень (13) приводить до таких висновків.
1
. Ефективність віброзахисту за критерієм забезпечується при будь-якому рівні демпфірування в частотному діапазоні
При будь-якому z з діапазону (14) ефективність тим вища, чим слабкіше демпфірування; найкращу ефективність має ідеально пружний віброізолятор (ν=0).
2. Ефективність віброзахисту за критерієм також забезпечується в діапазоні (14) при будь-яких значеннях ν.
При віброзахист ефективний у всьому
діапазоні частот
при ефектівність має місце в діапазоні
П
ри фіксованій величині z ефективність підвищується із зростанням демпфірування.
3. Виброзахист за критерієм ефективний в усьому частотному діапазоні,
(16) якщо, а при - в діапазоні
Ступінь ефективності на фіксованій частоті підвищується із зростанням демпфірування; у найгіршому випадку (при ν = 0) діапазон ефективності відповідає смузі
(17)
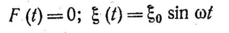
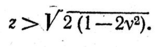
фіксованих ν наведені на рис.3-5. Ці залежності можна розглядати як амплітудно-частотні характеристики даної системи, відповідно при кінематичному і силовому збудженні коливань об'єкта віброзахисту. На Рис.6 і 7 зображені фазочастотні характеристики віброзахисної системи
, (18)
що становлять залежність фазових зрушень процесів відповідно
[формула (18)] і [формула (19)] відносно збуджень F (t) і ζ (t).
Рисунок 3 - Залежність коефіцієнта віброізоляції kR від відносної частоти z
Рисунок 4 - Залежність коефіцієнта ефективності kХ від відносної частоти z
Рисунок 5 - Залежність коефіцієнта ефективності kX’ від відносної частоти z
Рисунок 6 - Залежність фазового зрушення ε від відносної частоти z
Рисунок 7 - Залежність фазового зрушення η від відносної частоти z
2. Пружний підвіс твердого тіла
2.1 Схеми пружних підвісів і їх розрахунок
Загальні положення. Віброізоляцію як принцип захисту устаткування, чутливого до динамічних навантажень, широко застосовують у різних галузях техніки. При цьому в одних випадках системи віброізоляції можна конструювати в комплексі з об'єктом, що захищається, як його невід'ємну частину (наприклад, підвіси залізничних вагонів і автомобілів, корабельних дизельних установок і т.п.); у інших випадках, наприклад при захисті від вібрації радіоелектронної апаратури, де одні і ті ж прилади і устаткування залежно від місць установки піддаються абсолютно різним за формою або інтенсивністю збудженням, проектування віброзахисних систем має індивідуальний характер і виконують його за наслідками статичного і динамічного розрахунків.
У простій моделі віброзахисної системи, що дозволяє вивчити просторовий рух джерела і об'єкта, обидва ці тіла вважаються абсолютно твердими. Сукупність віброізоляторів, що їх сполучають, утворює пружний підвіс несомого тіла. Підвіси розрізняються схемами, тобто числом віброізоляторів, орієнтуванням їх осей, прихильністю точок кріплення до джерела і об'єкта.
Розрахунок підвісу, як правило, складається з двох частин: статичного, який полягає в обчисленні статичних реакцій і статичних деформацій віброізоляторів, і динамічного, такого, що полягає у визначенні власних частот пружно-підвішеного несомого тіла і обчисленні характерних параметрів його руху.
Статичні і динамічні реакції віброізоляторів. Характеристикою віброізолятора називається залежність його реакції від деформації пружного елемента. Якщо деформація обумовлена дією статичних сил, то відповідна характеристика буде статичною. У разі динамічних навантажень розрізняють динамічні і ударні характеристики.
Характеристики
Тип файла документ
Документы такого типа открываются такими программами, как Microsoft Office Word на компьютерах Windows, Apple Pages на компьютерах Mac, Open Office - бесплатная альтернатива на различных платформах, в том числе Linux. Наиболее простым и современным решением будут Google документы, так как открываются онлайн без скачивания прямо в браузере на любой платформе. Существуют российские качественные аналоги, например от Яндекса.
Будьте внимательны на мобильных устройствах, так как там используются упрощённый функционал даже в официальном приложении от Microsoft, поэтому для просмотра скачивайте PDF-версию. А если нужно редактировать файл, то используйте оригинальный файл.
Файлы такого типа обычно разбиты на страницы, а текст может быть форматированным (жирный, курсив, выбор шрифта, таблицы и т.п.), а также в него можно добавлять изображения. Формат идеально подходит для рефератов, докладов и РПЗ курсовых проектов, которые необходимо распечатать. Кстати перед печатью также сохраняйте файл в PDF, так как принтер может начудить со шрифтами.















