125772 (717650), страница 3
Текст из файла (страница 3)
Почнемо розгляд з простого випадку (рис.1а), коли демпфований об'єкт моделюється зосередженою масою m, прикріпленою до основи лінійною пружиною з жорсткістю с. Коливання об'єкту збуджуються або періодичною силою
, що діє на об'єкт, або вібраціями основи згідно із законом
За допомогою
співвідношення
можна здійснити еквівалентну заміну кінематичного збудження силовим збудженням.
Рисунок 1 - Динамічне гасіння коливань пружинним гасителем: а, б - подовжніх; 1 - демпфований об'єкт; 2 – гаситель
Під дією прикладеного збудження об'єкт здійснює одновимірні коливання з амплітудою
де
- власна частота демпфованого об'єкта.
При коливання об'єкта істотно зростають. Для їх зменшення до нього приєднується динамічний гаситель 2 (рис.1б), що має зосереджену масу mг, пружину з жорсткістю Сг і в'язкий демпфер з коефіцієнтом тертя bг.
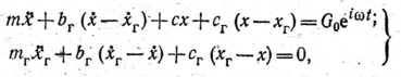
Диференціальні рівняння коливань системи з гасителем мають такий вигляд:
де х, хг - абсолютні координати переміщень мас.
Визначаючи розв’язок системи рівнянь (1) у формі
де а, аг - комплексні числа, після перетворень отримаємо такі вирази для
амплітуд коливань об'єкта гасителя:
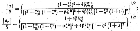
При цьому введені позначення
Тут
- критичне демпфірування парціальних коливань динамічного гасителя.
З (3) випливає, що при
тобто при настроюванні парціальної частоти пружних коливань гасителя ωг на частоту зовнішнього збудження ω "залишкові" коливання об'єкта виявляються пропорційними втратам в гасителеві:
(5)
Таким чином, при вказаній настройці при величина
тобто коливання демпфованої системи повністю усуваються. Згідно з (4) реакція гасителя при цьому дорівнює по величині зовнішньому збудженню:
(6)
і, як легко показати, протилежна йому за знаком, що і забезпечує відмічену компенсацію коливань.
На рис.2 наведені амплітудно-частотні характеристики даної системи з гасителем (див. рис.1б), побудовані при. Для порівняння
на рис.2а штрихованою лінією нанесена амплітудно-частотна характеристика об'єкта (див. рис.1 а). При вибраній настройці приєднання гасителя утворює таку результуючу систему з двома ступенями вільності, у якої на частоту
збудження припадає антирезонанс. При цьому частота антирезонансу збігається також з резонансною частотою початкової системи. Остання обставина не є обов'язковою, оскільки настройка забезпечує антирезонанс на будь-якій фіксованій частоті збудження, проте ефект динамічного гасіння виявляється найсильніше саме при
,
оскільки при коливання демпфованого об'єкту за відсутності гасителя не такі значні.
При правильній настройці інерційного пружинного гасителя (ωг=ω) співвідношення (6) забезпечується при будь-якій амплітуді G0 зовнішнього збудження, тобто даний інерційний гаситель здійснює стеження за інтенсивністю збудження, змінюючи відповідним чином амплітуду своїх коливань | аг |.
Якщо розмах коливань гасителя лімітується міцністними або габаритними обмеженнями, то його зменшення згідно з (6) може бути досягнуте збільшенням маси гасителя mг.
Рисунок 2 - Амплітудно-частотні характеристики системи з одним ступенем вільності, забезпеченої лінійним пружинним гасителем: а - демпфований об'єкт; б – гаситель
С
пецифіка інерційного динамічного гасіння, пов'язана із здійсненням умов антирезонансу, приводить до того, що по обидва боки від настроювальної частоти пружинного гасителя виникають резонансні частоти (рис.2), тому розлад системи з гасителем, викликаний, наприклад, зміною частоти збудження або параметрів системи, може повністю змінити ситуацію, привівши до небезпечного розгойдування.
Чутливість системи до вказаного розладу визначається залежністю власних частот системи з гасителем від параметрів системи. З виразу для власних частот випливає, якщо прирівняти до нуля знаменник в (4) при і розв’язати отримане рівняння відносно ω, позначив ω через ωj.
На рис.3 наведена ця залежність. Із збільшенням параметра μ відмічена чутливість може бути декілька знижена. Проте практична область застосування простого інерційного пружинного гасителя - пригнічення коливань постійної частоти, що виникають, наприклад, при роботі синхронних електродвигунів, генераторів змін струму і так далі. Згідно з (5) ефективність його роботи при правильній настройці (4) досягається мінімізацією дисипативних втрат в гасителеві.
Рисунок 3 - Вплив відношення μ мас гасителя і об'єкта на власні частоти системи з гасителем
Конструктивне збільшення μ може бути здійснено, наприклад, установкою на об'єкті декількох гасителів, налаштованих однаково на частоту збудження.
4. Характеристика віброізоляторів
Класифікація віброізоляторів. Компонування підвісу здійснюється, як правило, з віброізоляторів, що випускаються серійно, розрізняються упругодемпфірувальними характеристиками, різним поєднанням віброізолючих і ударозахисних властивостей, довговічністю, здатністю функціонувати в тих або інших кліматичних умовах, а також чисто конструктивними особливостями - габаритами, способом монтажу і так далі. Всі перелічені властивості певною мірою зберігаються для віброізоляторів одного і того ж виду всіх типорозмірів.
Сучасні віброізолятори прийнято класифікувати в основному за виглядом або способом введення демпфірування або за матеріалом пружного елемента. Розрізняють гумометалеві, пружинні і суцільнометалеві віброізолятори з повітряним або сухим тертям, а також недемпфовані. До останніх відносять віброізолятори, демпфірвальні властивості яких визначаються внутрішнім тертям в матеріалі пружного елемента.
Гумометалеві віброізолятори. Пружним елементом віброізоляторів цього типу є фасонний гумовий масив, сполучений з деталями металевої арматури за допомогою вулканізації. Переваги резинометалічних віброізоляторів полягають в простоті їх конструкції, в широкому діапазоні зміни їх пружних характеристик, що визначаються як властивостями використовуваної гуми, так і конфігурацією пружного елементу, в можливості довільного орієнтування віброізоляторів щодо основи. Особливі властивості гуми визначають, проте, і їх недоліки; зміна динамічних властивостей при тривалій експлуатації, пов'язана з так званим "старінням" гуми; недостатня надійність з'єднання гумового масиву з металевою арматурою; погіршення віброзахисних властивостей в умовах, що відрізняються від нормальних (наприклад, при підвищеній або зниженій температурі і вологості); недостатнє в окремих випадках демпфірування; неможливість використання в атмосфері, що містить пари бензину, масла і тому подібне.
Віброізолятори типу AM. Гумометалеві віброізолятори AM використовують для віброзахисту порівняно великовантажного устаткування. Їх гумовий масив, що працює на зрушення, привулканізований до металевої арматури, що складається з двох кутів (для кріплення до основи) і скоби таврового профілю (для з'єднання з об'єктом). Креслення, основні розміри і параметри віброїзоляторів цієї серії, названі також скобовими, зображені на рис.1, статичні характеристики в осьовому напрямі - в табл.1. Конструкція забезпечує задовільну роботу і в бічному напрямі.
Рисунок 1 - Віброізолятор типу AM
Таблиця 1 - Статичні характеристики в осьовому напрямі
віброізолятор типу АМ
Віброізолятори типу АКСС. Ці віброізолятори призначені для захисту достатньо масивного устаткування; їх пружний елемент виконаний з маслостійкої гуми і допускає тривалу експлуатацію в умовах зміни температури від - 5 °С до +70 °С. Підвищена жорсткість віброізоляторів типу АКСС робить їх ефективними при захисті від інтенсивних ударних дій. Креслення і розміри віброізоляторів наведені на рис.2, параметри, що характеризують їх віброзахисні властивості - в табл.2. і на рис.3.
Рисунок 2 - Віброізолятор типу АКСС
Таблиця 2 - Статичні і динамічні характеристики віброізоляторів
типу АКСС
Рисунок 3 - Статичні характеристики віброізоляторів: 1 - АМ-120; 2 - AМ-80; 3 - АМ-60; 4 - АМ-40; 5 - АМ-27; 6 - AМ-18
5. Балансування роторів машин
5.1 Основні поняття
Типи роторів. Ротором є тіло, що утримується при обертанні своїми несучими поверхнями в опорах. Несучими є поверхні цапф або поверхні, що їх замінюють. Пряма, що сполучає центри тяжіння контурів поперечних перетинів середин несучих поверхонь, називається віссю ротора. За числом опор ротори бувають дво- і багатоопорними. Ротор може бути міжопорним, якщо значна частина його маси (М) розміщена між опорами, консольним, якщо істотна частина його маси знаходиться за однією з крайніх опор, і двоконсольним при розміщенні істотної частини його маси за двома крайніми опорами.
Рисунок 1 - Схема сил, що діють на ротор
Рисунок 2 - Еквівалентна система з двох дисбалансів
Умови динамічної рівноваги. Не схильне до дії зовнішніх сил тіло, що обертається з постійною кутовою швидкістю навколо однієї зі своїх головних центральних осей інерції, знаходиться в стані динамічної рівноваги, що характеризується рівністю нулю головного вектора і моменту неврівноважених сил (рис.1):
Тут
- відповідно неврівноважена точкова маса, її
ексцентриситет і дисбаланс;
- маса і ексцентриситет ротора;
D, MD - головний вектор і головний момент дисбалансів.















